Review of the Riksbank's Monetary Policy 2010-2015
Rapport från riksdagen 2015/16:RFR7
Review of the Riksbank’s Monetary Policy
2010-2015
Marvin Goodfriend
Mervyn King
ISSN 1653-0942 978-91-87541-39-1 Riksdagstryckeriet, Stockholm, 2015
2015/16:RFR7
| Table of Contents | ||
| Foreword......................................................................................................... | 4 | |
| 1 | Executive Summary..................................................................................... | 5 |
| 2 | List of Recommendations.......................................................................... | 10 |
| 3 | Introduction ............................................................................................... | 13 |
| 4 | The Swedish Economy and Monetary Policy Prior to 2010...................... | 16 |
| 5 | The Evolution of Monetary Policy 2010-2015 .......................................... | 20 |
| 6 | Analysis of the Riksbank's Forecasting Performance................................ | 80 |
| 7 | Evaluation of Monetary Policy in Sweden 2010-2015 .............................. | 86 |
| 8 | The Mandate and Governance of the Riksbank......................................... | 96 |
| List of Tables and Figures .......................................................................... | 104 | |
| Tables and Figures...................................................................................... | 105 | |
| Annexes | ||
| Terms of Reference of the Review ............................................................. | 127 | |
| Key Events in Swedish Monetary Policy 2010-2015 ................................. | 132 | |
| Key Events in Swedish Financial Stability Policy 2010-2015.................... | 139 | |
| Individuals and Organizations interviewed by the Evaluators.................... | 142 | |
3
2015/16:RFR7
Foreword
As part of the follow-up and evaluation by the Riksdag, the Committee on Finance of the Riksdag commissions an external and independent review of Swedish monetary policy every four years. Two reviews have been carried out thus far. The first was performed by Professors Francesco Giavazzi and Frederic Mishkin and covered the period of 1995–2005 (2006/07:RFR1). The second was performed by Professors Charles Goodhart and Jean-Charles Rochet and covered the period of 2005–2010 (2010/11:RFR5).
In June 2014, the Committee on Finance decided to commission a new, third review of the monetary policy for the period of 2010–2014. In conjunction, the Committee appointed Mervyn King, former Governor of the Bank of England (2003–2013) and Professor Marvin Goodfriend of Carnegie Mellon University, to jointly carry out the evaluation. Mervyn King and Marvin Goodfriend have chosen to extend the period of evaluation to include the developments during most of 2015.
The focus of the new review is on reviewing and analysing the setting of Swedish monetary policy during the relevant period, the balancing of various risks against one another, the work of the Riksbank Executive Board, the formulation of the inflation target and the Riksbank’s forecasting activities (the directive is explained in greater detail in an annex to the report).
Mervyn King and Marvin Goodfriend began their work in January 2015 and have visited Sweden several times over the last year to gather information and discuss Swedish monetary policy and financial stability with various persons involved. Among others they have met with representatives of the Riksbank, the Riksbank General Council, the Riksdag, Riksrevisionen (the Swedish National Audit Office), the social partners in the labour market, Finansinspektionen (the Swedish Financial Supervisory Authority), academia and the banks. Economist Christian Nilsson acted as evaluation secretary for King and Goodfriend.
The results of the review are presented in this report from the Riksdag. The Committee on Finance hopes that the review will further stimulate the already lively debate on Swedish monetary policy and provide a valuable contribution to the future setting of the monetary policy. The Committee on Finance will be circulating the review to various consultation bodies during spring 2016 and will thereafter present a report on the evaluation and the consultation responses to the Chamber of the Riksdag.
| Stockholm, 19 January 2016 | |
| Fredrik Olovsson | Ulf Kristersson |
| Chair of the Committee on Finance | Deputy Chair of the Com- |
| mittee on Finance |
4
2015/16:RFR7
1 Executive Summary
In 2014 we were invited by the Committee on Finance of the Riksdag to conduct a Review of the performance of the Riksbank over the period 2010 through 2014. Our Review is wide-ranging, covering both monetary policy and financial stability, the structure, transparency and accountability of the Riksbank, and the relationship between the Riksbank and other official bodies concerned with economic policy, especially in the area of financial stability.
Following the global financial crisis in 2007-09, the Swedish economy started to recover rather quickly. Interest rates, having been cut sharply during the crisis, were raised slowly in 2010 and 2011. Subsequently, this tightening of monetary policy proved highly controversial. That debate is at the heart of our Review. When assessing the rights and wrongs of monetary policy decisions, it is important not to make judgements with the benefit of hindsight. Our Review sets out to analyse and discuss the decisions that were made in the light of the information available to participants at the time.
Following the traumatic experiences of the early 1990s, with the banking collapse and sharp depreciation of the krona, the subsequent period of monetary policy has been one of remarkable success under at times difficult circumstances. The Riksbank was asked to achieve stable prices, and in large part it has done exactly that. It is clearly a success compared with most previous policy regimes in Sweden. The fact that today small deviations of consumer price inflation from its 2% target are seen as a failure is testimony to earlier success and evidence of a misplaced degree of hubris in expectations of the ability of any central bank to control the economy.
During the period covered by our Review, there were serious divisions among the Executive Board of the Riksbank. We comment below on the positions taken and their respective merits. The issues that divided the Board were major intellectual challenges thrown up by the global financial crisis and its aftermath, albeit it is fair to say that the Riksbank was confronted with even bigger challenges than were faced by other central banks. Around the world, central banks are debating the appropriate objective of monetary policy and no international consensus has yet been reached. The experience of Sweden is of importance to the rest of the world as well as to its own citizens.
Prior to the global financial crisis of 2007-09, the Swedish economy appeared in good shape. Growth and inflation were performing satisfactorily, there was a sound banking system, the fiscal position was strong, and in terms of conventional macroeconomic indicators there seemed no obvious problem on the horizon. But underneath this apparently calm surface, as with other major economies, tensions were growing. House prices and mortgage debt were rising rapidly at double digit rates, there was a growing maturity and currency mismatch in the banking system, and the trade surplus was unsustainably high. When the crisis intensified in the fall of 2008, Sweden was
5
| 2015/16:RFR7 | 1 EXECUTIVE SUMMARY |
| strongly affected. GDP fell 6% from 2008/Q3 to 2009/Q3. But following the | |
| sharp downturn there was a strong rebound in 2010, more so in Sweden than | |
| in most other countries. | |
| Since the start of our Review period in February 2010, monetary policy in | |
| Sweden has come full circle – from a repo rate of close to zero, rates were | |
| gradually raised as recovery took hold, and then were cut again as recovery | |
| disappointed until today the repo rate is actually negative. | |
| Our evaluation of this journey and the monetary policy conducted by the | |
| Riksbank from 2010 onwards leads to six main conclusions: | |
| First, the response of the Riksbank to the rapid recovery of the Swedish | |
| economy from the global financial crisis – which entailed raising official in- | |
| terest rates from 0.25% to 2% between June 2010 and July 2011 – was broadly | |
| accepted by all members of the Executive Board, and appears not unreasona- | |
| ble in the light of all the information available to the Riksbank at the time. | |
| Nevertheless, the need to accommodate the consequences for domestic prices | |
| of the sharp fall in the exchange rate could have justified a temporary over- | |
| shooting of the inflation target. Although the downturn of the Swedish econ- | |
| omy in 2008-09 was similar to that in other industrialised countries, the re- | |
| bound in the Swedish economy, particularly marked in exports, was more | |
| rapid than elsewhere and led to a shared view that it was justified to begin the | |
| process of raising rates. Moreover, although there were differences of judge- | |
| ment on the Board – and it would in the circumstances have been very surpris- | |
| ing if there had not been – those differences were small. The differences of | |
| view expressed in the minutes were well within the bounds of reasonable dif- | |
| ferences of judgement about the outlook for the economy and for inflation, and | |
| the robust discussion helped to ensure that all possibilities were considered. | |
| Second, the situation started to change in late 2011 and 2012. During the | |
| second part of the period covered by our Review, the Riksbank was slow to | |
| realise the extent of the problems in the euro area and, especially during 2013, | |
| the majority was slow to cut interest rates. This problem was exacerbated not | |
| only by overoptimistic judgements about economic growth in the euro area but | |
| also by assumptions about the likely paths of interest rates overseas that were | |
| significantly out of line with expectations in financial markets. The result of | |
| those assumptions was that the forecasts for future inflation were much higher | |
| than actual outturns. By far the most serious problem, however, was the grow- | |
| ing discrepancy between the future path for the repo rate forecast by the Riks- | |
| bank itself and the future path implied by prices in financial markets. This | |
| divergence created problems for both the majority and minority positions on | |
| the Board. For the majority, the problem was that it was advocating a signifi- | |
| cant future rise in the repo rate and so a much tighter monetary stance than | |
| was actually being implemented, and yet inflation was falling below target. | |
| For the minority, there was a tension between the two different arguments that | |
| they deployed. On the one hand, their rather aggressive criticism of the ma- | |
| jority position was based on forecast simulations using the assumption that | |
| monetary policy was actually described by the published desired repo rate | |
| 6 |
| 1 EXECUTIVE SUMMARY | 2015/16:RFR7 |
path. On the other hand, the lack of market credibility in the Riksbank’s published repo rate path made it increasingly difficult to attribute bad outcomes to an overly tight monetary policy when market expectations were of a continuing lower repo rate. The one conclusion that can safely be drawn is that forecasts, and policy, should not be based solely on forecasts from a model that assumes full credibility in the stated policy path. There must be room for judgement about the credibility of the inflation target and the path of policy.
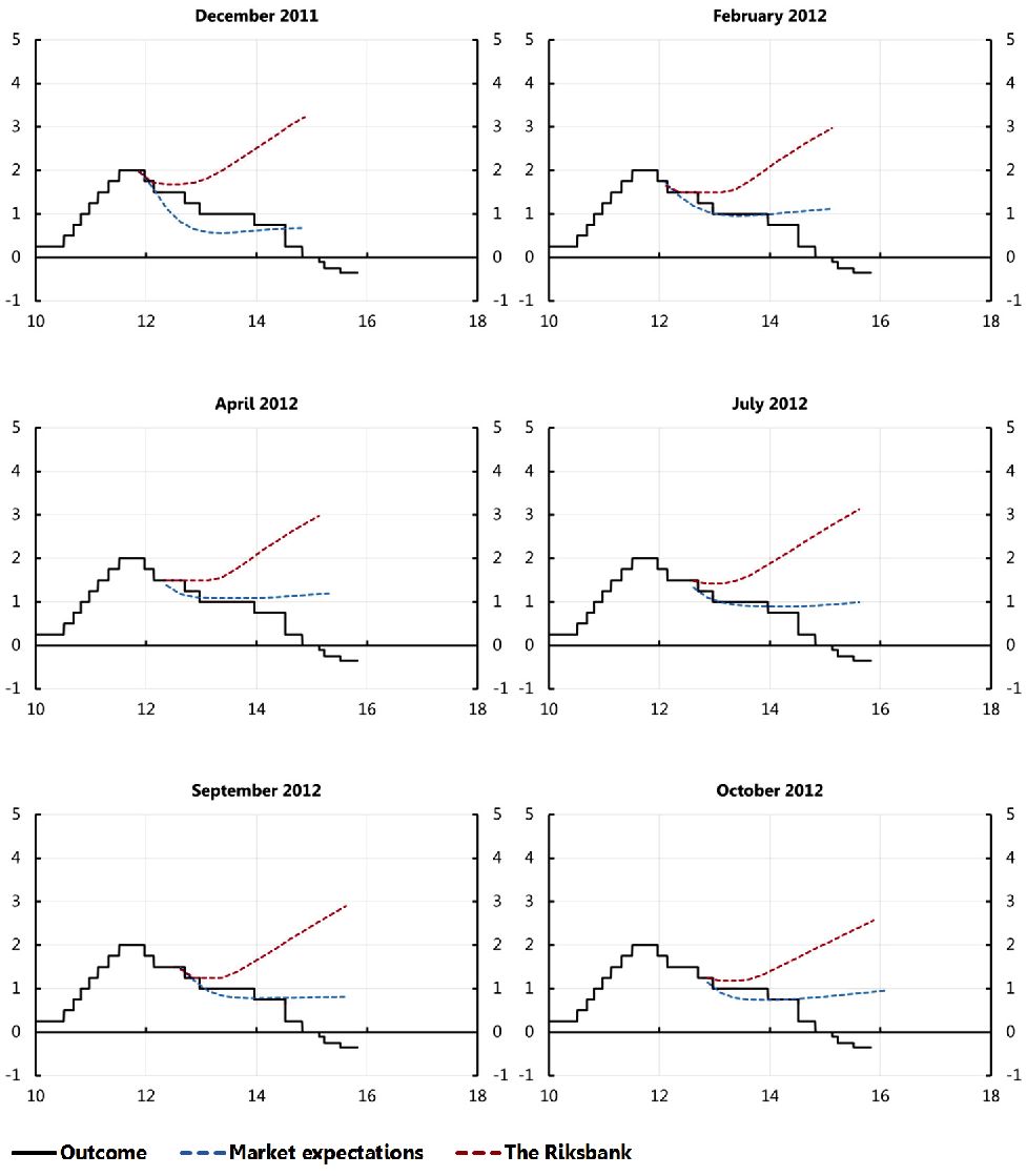
Third, it is striking that all members of the Executive Board devoted so much time to thinking about the future path of the repo rate and to providing guidance as to their views on how it should evolve over the following three years. There is something surreal about the precision of the guidance provided by individual board members as to the future path of the repo rate when contrasted with the sheer uncertainty about the future and the fact that markets took rather little notice of the published path in determining their own expectations. It became too easy to paper over major differences of view on the current stance of policy by expressing them in terms of differences of view about the likely future path of the policy rate. We recommend that the Riksbank should conduct and publish (i) a review of its experience with the announcement of a future path for the repo rate, and (ii) a post-mortem on the substantial deviation of market expectations from its published forecasts during the period covered by this Review.
Fourth, there was heavy reliance, among both the majority of the Board and the dissenters alike, on forecasts produced by models developed by Riksbank staff. Although such models are useful in putting together consistent quantitative forecasts, inevitably they are based on strong assumptions and can act as no more than a starting point for a discussion of the challenges facing monetary policy at any particular juncture. They cannot be used mechanically. At no time was this note of caution about the use of models more relevant than in the immediate aftermath of the global financial crisis. Models that not only didn’t, but couldn’t by their nature, predict the crisis were unlikely to tell the whole story of the difficulties facing economies during the recovery phase. A greater degree of humility about those models would have been appropriate. The minutes of the Monetary Policy Meetings reveal remarkably little challenge to the results from model simulations from either the majority or minority members of the Board. One important failing of the models used was the assumption of complete credibility in the willingness and ability of the Riksbank to hit the 2% inflation target. The forecast of inflation always returned to 2% over the medium term. The presumed credibility of the inflation target gave the Executive Board a false sense of confidence in its own strategy which encouraged a belief that persistent departures of inflation below 2% could not undermine credibility in the target. By 2015 that confidence was being sorely tested. An important role for members of the Executive Board is to challenge the assumptions of models used to generate quantitative forecasts so that there can be a full discussion of all relevant aspects of the outlook before members reach their policy judgements.
7
| 2015/16:RFR7 | 1 EXECUTIVE SUMMARY |
| Fifth, tensions among members of the Executive Board, while not leading | |
| to significant differences in policy judgements in 2010 and 2011, grew in 2012 | |
| and spilled over in 2013 into disagreements not only about the setting of inter- | |
| est rates but also, and significantly, about the objectives of policy. It is clear | |
| that by 2012 the majority on the Riksbank Board were sufficiently concerned | |
| about developments in house prices and the growth of household credit to set | |
| the repo rate at a level higher than was justified by a strict application of tar- | |
| geting inflation two years ahead. All central banks have struggled to reconcile | |
| the inflation targeting framework used before the crisis with the existence of | |
| economic and financial “imbalances” in the economy which both contributed | |
| to the crisis and also affected the recovery from it. From our conversations it | |
| is clear that the majority on the Executive Board were concerned about the | |
| impact of rising asset prices and indebtedness on the economy and felt that if | |
| no-one else was going to do something about it then they should. They felt | |
| that they would be damned if they did and damned if they didn’t. The Riks- | |
| bank, therefore, took it upon itself to allow concerns about financial stability | |
| to affect decisions on monetary policy. The dissenters on the Board took a | |
| much narrower view of the commitment to price stability which reflected a | |
| particular view of how the economy worked. They believed that policy should | |
| aim to set interest rates in order to meet the inflation target looking 18 months | |
| to 2 years ahead based on forecasts of inflation generated by a particular set of | |
| models. As a result, the two sides talked past each other. There was nothing | |
| particularly Swedish about this debate. At the international level, the two | |
| views represented in Sweden by the majority and minority on the Executive | |
| Board are reflected in the positions of the Bank for International Settlements | |
| (BIS) and the Federal Open Market Committee of the United States Federal | |
| Reserve, respectively. Neither side has a monopoly of wisdom. One of the | |
| difficulties that beset policy at the time was the failure of the Government to | |
| decide which body should have the responsibility for financial stability. The | |
| concerns of the Riksbank were reinforced when in the spring of 2015 Finansin- | |
| spektionen withdrew proposals to make households amortise their mortgages | |
| because, although accepting that such proposals were necessary, they felt they | |
| did not have a sufficiently clear legal mandate to proceed. The Riksbank’s | |
| task has been made much more difficult by the dithering of the Government | |
| in introducing a clear regime for macro-prudential policy. | |
| Sixth, the success of the decision-making process in the Riksbank is heav- | |
| ily dependent on the willingness of Board members to respect each other’s | |
| viewpoint and to use the Monetary Policy Meetings to further a collective un- | |
| derstanding of developments in the economy and the appropriate response of | |
| monetary policy. Differences of view and judgement are an important part of | |
| this process, but they must be expressed in a manner conducive to the collec- | |
| tive venture on which the Riksbank is embarked. A key part of the structure | |
| of the Board of the Riksbank is that each individual has one vote and is enti- | |
| tled, indeed required, to express clearly their own view on the stance of mon- | |
| etary policy. This is a strength of the process. A healthy debate benefits from | |
| 8 |
| 1 EXECUTIVE SUMMARY | 2015/16:RFR7 |
such differences of view. Explanations of those differences are essential to the promotion of greater understanding among the wider public of the challenges facing monetary policy. It is evident from the minutes and public comments made by members of the Board that respect for others’ viewpoints was not always present during the period covered by our Review. The extent of divisions, and in particular the way they were expressed, was damaging to the reputation of the Riksbank. Members of the Board must remember that their role is to present coherent arguments in a reasonable and persuasive fashion. If they use language which is designed to attack other members of the Board the public standing of the Board is damaged. It was not helpful that minutes and interviews by Board members displayed a degree of brusqueness uncharacteristic of normal public debate in Sweden. Compared with the early years of Monetary Policy Meetings, the minutes during much of the Review period became extremely long and contained mainly the views of dissenters, the majority view being expressed in the regular Report. The minutes no longer represented a to-and-fro between different viewpoints on the Board, and did not reflect the balance of discussion. It is not helpful for the majority and minority to express their views in differing formats. There needs to be a degree of collective discipline in how the minutes are produced. The minutes should cease to be a detailed and uneven record of submissions by individual members and should contain a more balanced explanation of the decision reached by the majority and the arguments against that put forward at the meeting by the dissenting minority.
The full list of our fifteen recommendations is contained in Chapter 2.
9
2015/16:RFR7
2 List of Recommendations
We list below our recommendations under four subject headings:
Monetary Policy:
1.The Riksdag, on a recommendation by the Finance Minister, should specify the inflation target, in terms both of its definition and its numerical value, and should delegate that objective to the Board of the Riksbank to achieve. At present, we recommend a target of 2% a year as measured by CPIF. The target should be reviewed every ten years unless the Riksdag legislates to change the target earlier than the next due review date.
2.The mandate given by the Riksdag to the Riksbank should state that the monetary policy objective of the Riksbank shall be to maintain price stability, as defined by the inflation target, with regard to the long run sustainability of the path for the level and composition of output and its implications for inflation. Where, in the opinion of the Executive Board, it is appropriate to deviate for a while from targeting inflation some two years ahead, the Riksbank shall explain its reasons and defend them in front of the Finance Committee of the Riksdag.
3.The Riksbank should re-examine its methods for producing forecasts for both the world economy and overseas interest rates to help the Executive Board focus on the big issues surrounding the outlook. The Monetary Policy Report should explain in more detail the basis for the assumptions about overseas growth and interest rates.
4.The Riksbank should conduct and publish (i) a review of its experience with the announcement of a future path for the repo rate, and (ii) a postmortem on the substantial deviation of market expectations from its published forecasts during the period covered by this Review.
5.As a matter of course the Riksbank should publish in its Monetary Policy Reports an analysis of why in its view there is a divergence between its published repo rate path and market expectations of the repo rate path, and what implications it believes any such divergence has for the setting of monetary policy.
6.The Sveriges Riksbank Act should be amended to make clear that the choice of exchange rate regime is a matter for government, and that the mandate to meet the inflation target is subject to the Government deciding that the exchange rate should float freely.
10
| 2 LIST OF RECOMMENDATION | 2015/16:RFR7 |
Financial Stability:
7.The Government should ensure without further delay that Finansinspektionen has the legal powers and range of macro-prudential instruments appropriate to its role in promoting financial stability.
8.That a joint Prudential Policy Committee (PPC) of the Riksbank and Finansinspektionen be established to meet quarterly to discuss the setting of the main macro-prudential policy instruments. The PPC should make recommendations to the Riksdag from time to time on whether the set of instruments delegated to Finansinspektionen should be expanded or contracted. The PPC should be the primary source of reports on financial stability and should appear before the Finance Committee at least once a year.
9.The Sveriges Riksbank Act should be amended to clarify the role of the Riksbank in financial stability, whether limited to participation in the proposed Prudential Policy Committee (see above) or more extensive if macro-prudential powers gravitate to it. The mandate of the Riksbank should include financial stability, and the Riksbank must have some formal powers to enable it to achieve its objective.
10.In 2020 the Government should ask a small group of experts to carry out a review of the allocation of responsibility for macro-prudential policy between Finansinspektionen and the Riksbank.
Accountability of the Riksbank:
11.The Finance Committee of the Riksdag should hold three sessions of evidence a year with the Riksbank Executive Board following publication of the Monetary Policy Reports. In addition to the Governor (each time), three deputy governors should appear so that each member of the Board would appear at least twice in any twelve-month period to explain and defend his/her votes on monetary policy decisions.
12.The minutes should attempt to record the differing points made at the meeting and not a sequence of individual formal presentations. Longer analyses by particular members should be made available publicly in speeches.
13.The Riksbank should augment the current minutes with minutes of the meetings where the Main Scenario is decided – at the First or Second Large Monetary Policy Group Meetings and also the Executive Board Forecast Meeting. Those minutes could then be released to the public together with the current minutes two weeks after the Monetary Policy Meeting.
11
| 2015/16:RFR7 | 2 LIST OF RECOMMENDATIONS |
Organisation of the Riksbank:
14.The Executive Board should become the Monetary Policy Board comprising three executive members of the Riksbank, the Governor and two deputy governors with responsibility for monetary policy and financial stability respectively, and three non-executive members.
15.The Finance Committee of the Riksdag should invite the General Council of the Riksbank to submit recommendations for amendments to the Sveriges Riksbank Act.
12
2015/16:RFR7
3 Introduction
In 2014 we were invited by the Committee on Finance of the Riksdag to conduct a Review of the performance of the Riksbank over the period 2010 through 2014. The terms of reference of our Review are set out in Annex 1. As the Review progressed, and we took evidence from a large number of witnesses, it became clear that we could not ignore developments in the period immediately prior to 2010, which included the global financial crisis, nor to overlook the significant developments in monetary policy during 2015. Our Review is wide-ranging, covering both monetary policy and financial stability, the structure, transparency and accountability of the Riksbank, and the relationship between the Riksbank and other official bodies concerned with economic policy, especially in the area of financial stability.
The Review started its work in January 2015 and was submitted to the Riksdag at the end of November 2015 for translation into Swedish. We are grateful to the Committee on Finance of the Riksdag, and to Pär Elvingsson of its Secretariat, for their help and cooperation in providing us with the facilities required to conduct this Review. We are particularly indebted to Christian Nilsson of the Riksbank who was seconded to work with us during 2015. His help in guiding us through the maze of documents relevant to our Review and in organising our visits to Stockholm in order to interview the relevant participants went beyond the call of duty. His wise guidance, good humour and counsel were immensely valuable, but he should not be held responsible for any of the observations and conclusions set out below.
We visited Stockholm three times for several days each in order to conduct interviews with all the relevant participants both at the Riksbank and elsewhere. We interviewed every member who served on the Board of the Riksbank during the period 2010-15. We also interviewed members of Finansinspektionen (the Swedish Financial Supervisory Authority), a number of independent economists, and others with views and experience of monetary policy in Sweden. A complete list of those whom we met is set out in Annex 4.
Following the global financial crisis in 2007-09, the Swedish economy started to recover rather quickly. Interest rates, having been cut sharply during the crisis, were raised slowly in 2010 and 2011. Subsequently, this tightening of monetary policy proved highly controversial. That debate is at the heart of our Review. When assessing the rights and wrongs of monetary policy decisions, it is important not to make judgements with the benefit of hindsight. Our Review sets out to analyse and discuss the decisions that were made in the light of the information available to participants at the time. In so doing, we discuss in detail the views of members of the Board of the Riksbank as they evolved from meeting to meeting in the light of the information available to them.
13
| 2015/16:RFR7 | 3 INTRODUCTION |
| The plan of the Review is as follows. In Chapter 4 we describe the main | |
| features of the Swedish economy, and its experience during the financial crisis, | |
| prior to the beginning of the period of the Review. We then turn in Chapter 5 | |
| to a description of monetary policy in Sweden as it evolved over the period | |
| 2010-14, with comments also on developments in 2015. Our real-time narra- | |
| tive lies at the heart of our evaluation. It pays careful attention to the Monetary | |
| Policy Reports (which serve as the basis for the policy options considered and | |
| the decisions undertaken at the Monetary Policy Meetings) and to the Minutes | |
| of the Executive Board’s Monetary Policy Meetings themselves which de- | |
| scribe the opinions of, and information available to, Executive Board members | |
| as this difficult period unfolded. As requested in the terms of reference, Chap- | |
| ter 6 contains an evaluation of the forecasting performance of the Riksbank. | |
| Chapter 7 contains our evaluation of Swedish monetary policy during the pe- | |
| riod covered by the Review. Chapter 8 discusses the mandate of the Riksbank | |
| and considers the case for change. | |
| A central feature of our Review is the need to appreciate that policy is not | |
| made with hindsight, using data available today, but in real time. Therefore, | |
| we place all the tables and figures after Chapter 8 so as not to distract the reader | |
| with data realized after the fact and undermine the experience that we want the | |
| reader to have in reading our text. | |
| Our recommendations are discussed and presented in the relevant chapters, | |
| and for ease of reference are also listed in Chapter 2. They contain a number | |
| of suggestions for the improvement of the conduct of monetary policy, the way | |
| in which the Riksbank is held accountable, and the division of responsibilities | |
| for monetary policy and financial stability. Those recommendations are di- | |
| rected not only at the Riksbank, but also at the Committee on Finance of the | |
| Riksdag itself, as well as the Government. We hope that they will be discussed | |
| widely before any decisions are taken. Our contribution is not to lay down a | |
| blueprint but to provide an independent and, we hope, objective basis for dis- | |
| cussion by all interested parties in Sweden. | |
| Our Review is the third such evaluation of the performance of the Riksbank. | |
| The first evaluation was made by Professors Francesco Giavazzi and Frederic | |
| Mishkin, and covered the period 1995-2005.1 The second was by Professors | |
| Charles Goodhart and Jean-Charles Rochet, and covered the period 2005- | |
| 2010.2 We comment on the relationship between those Reviews and our own | |
| in Chapter 4. | |
| Three impressions stand out from our experience of conducting this Re- | |
| view. First, since Sweden first adopted an inflation target in 1993, the eco- | |
| nomic performance has been good in comparison with other industrialised | |
| countries. Following the traumatic experiences of the early 1990s, with the | |
| banking collapse and sharp depreciation of the krona, the subsequent period | |
| of monetary policy has been one of remarkable success under at times difficult | |
| circumstances. The Riksbank was asked to achieve stable prices, and in large | |
| part it has done exactly that. It is clearly a success compared with most previ- |
14
| 3 INTRODUCTION | 2015/16:RFR7 |
ous policy regimes in Sweden. The fact that today small deviations of consumer price inflation from its 2% target are seen as a failure is testimony to earlier success and evidence of a misplaced degree of hubris in expectations of the ability of any central bank to control the economy.
Second, during the period covered by our Review, there were serious divisions among the Executive Board of the Riksbank. We comment below on the positions taken and their respective merits. The issues that divided the Board were major intellectual challenges thrown up by the global financial crisis and its aftermath, albeit it is fair to say that the Riksbank was confronted with even bigger challenges than were faced by other central banks. Around the world, central banks are debating the appropriate objective of monetary policy and no international consensus has yet been reached. The experience of Sweden is of importance to the rest of the world as well as to its own citizens.
Finally, in conducting our Review, we were at all times impressed by the quality of intellect, experience, seriousness and open-mindedness of the people with whom we spoke, both at the Riksbank itself and elsewhere. Sweden can be proud of its central bank and the quality of people who choose to work for it. The qualities we observed reflect well, not only on the Riksbank and other public bodies, but on the country itself.
Marvin Goodfriend
Mervyn King
15
2015/16:RFR7
4 The Swedish Economy and Monetary Policy Prior to 2010
Prior to the global financial crisis of 2007-09, the Swedish economy appeared in good shape.3 Growth and inflation were performing satisfactorily, there was a sound banking system, the fiscal position was strong, and in terms of conventional macroeconomic indicators there seemed no obvious problem on the horizon (see Table 1). But underneath this apparently calm surface, as with other major economies, tensions were growing. House prices and mortgage debt were rising rapidly at double digit rates, there was a growing maturity and currency mismatch in the banking system, and the trade surplus was unsustainably high. When the crisis intensified in the fall of 2008, Sweden was strongly affected. GDP fell by 6% from 2008/Q3 to 2009/Q3. But following the sharp downturn there was a strong rebound in 2010, more so in Sweden than in most other countries.
The history of the period before our review period is well covered in the two previous evaluations of the Riksbank’s performance by Giavazzi and Mishkin and by Goodhart and Rochet, but we provide a brief overview of macroeconomic developments in Sweden prior to 2010, previewing briefly how macroeconomic conditions ultimately developed to 2015. During the earlier period there were important reforms involving the implementation of monetary policy. In particular, in February 2007 the Riksbank began to publish at each policy meeting its own expected future path for its official interest rate (the repo rate). We summarize briefly how the publication of the repo rate path worked in practice from 2007 to 2009. We then briefly review the record from 2006 through 2009 of reservations (dissents) entered by members of the Executive Board against the Riksbank's policy actions to provide perspective on the degree of contentiousness of policy actions on the Board prior to the period of our evaluation.
4.1 Macroeconomic Developments in Sweden
GDP growth averaged around 3.5% per annum from 2005 through 2007 and the unemployment rate fell from nearly 8% to 6%, although annual CPIF inflation (excluding the direct effects, through mortgage rates, of the Riksbank’s repo adjustments on CPI) was below the Riksbank 2% inflation target, lying between 1% and 1.5% from 2005 through the first half-year of 2007 (see Figures 2 - 4). The Riksbank raised the repo rate (see Figure 1) steadily from 1.5% in June 2005 to 3.5% in June 2007, reaching 4.75% on the eve of the September 2008 crisis, as CPIF inflation rose from 1% in August 2007 to 3.5% one year later and higher inflation expectations threatened to take trend inflation above the 2% inflation target .
16
| 4 THE SWEDISH ECONOMY AND MONETARY POLICY PRIOR TO 2010 | 2015/16:RFR7 |
The September 2008 global financial crisis led to a sharp fall in the demand for Swedish exports. After growing at a 7% annual rate from 2005 through 2007 and early 2008, exports fell at a 24% annualised rate in the fourth quarter of 2008 and at a 30% annualised rate in the first quarter of 2009, and ultimately contracted by around 15% in 2009 over 2008. As a result, GDP fell by 0.6% in 2008 and at an astounding 14% annualised rate in the last quarter of 2008. In the first quarter of 2009, GDP continued to fall at a 10% annualised rate and contracted by 5% in 2009 over 2008. The consequence was that the unemployment rate rose from 6% in mid-2008 to nearly 9% by the end of 2009. Nevertheless, CPIF inflation averaged around 2% for 2009, in part due to the sharp depreciation in the exchange rate precipitated by the international crisis and the aggressive easing of monetary policy in Sweden. The krona had fallen some 30% against the euro by early 2009 before settling around 10 SEK/euro after mid-year and it depreciated by 50% against the US dollar. In terms of the trade-weighted (KIX) index, the krona depreciated by close to 20% between mid-2008 and March 2009 (see Figure 5).
The Riksbank cut the repo rate aggressively from 4.75% to 0.25% in a series of five steps starting with an 8 October 2008 intermeeting action (in concert with the Bank of Canada, the Bank of England, the European Central Bank, the Federal Reserve, and the Swiss National Bank), reaching 1% in February 2009, and concluding with a 0.25% cut to 0.25% in July 2009.
The Riksbank, other Swedish authorities and the Government, responded to help offset the negative effects of the financial crisis on liquidity and credit spreads in Sweden. The Riksbank offered loans in Swedish krona from three months to one year to facilitate banks’ longer-term funding. Swedish banks had become heavily dependent on short-term US dollar wholesale funding of longer-term assets. Private dollar funding contracted sharply in the wake of the crisis. The Riksbank responded by lending US dollars to the banks partly funded by the Riksbank's foreign currency reserves and more importantly by a US dollar loan facility unprecedented in breadth and scale offered by the Federal Reserve to the Riksbank and other central banks.
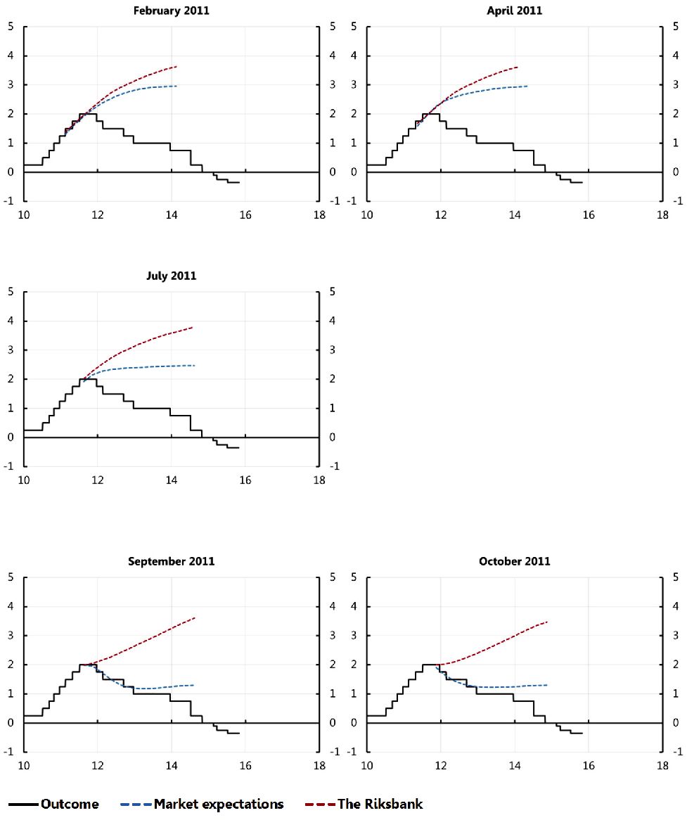
The demand for Swedish exports bounced back remarkably in 2010, growing by 12% due to the resurgence in global activity and world trade, and the effect of the krona depreciation. Stimulated by the strength in exports, Swedish GDP reversed its contraction in 2009, expanded by 6% in 2010, and pulled the unemployment rate down from 9% to 8%. CPIF inflation continued to run near the 2% inflation target in 2010. The strong recovery in conjunction with inflation at the target led the Riksbank to raise the repo rate in seven steps from 0.25% in June 2010 to 2% in July 2011.
During the summer and autumn of 2011 concerns over sovereign debt in the United States and particularly in the euro area caused trade and growth prospects to deteriorate in Sweden. Swedish GDP growth slowed to 2.7% in 2011 as growth of exports slowed to 6%. Unemployment bottomed out at 7.5%. And CPIF inflation fell sharply below the 2% target during 2011, to
17
| 2015/16:RFR7 | 4 THE SWEDISH ECONOMY AND MONETARY POLICY PRIOR TO 2010 |
| around 1% at year's end. Hence, the Riksbank in December 2011 reversed | |
| direction and began to cut the repo rate from its peak of 2% in July 2011. | |
| In 2012 annual Swedish GDP fell by 0.3% but then increased by 1.2% in | |
| 2013 as the unemployment rate hovered around 8% in 2012-13. Export | |
| growth recovered somewhat to around 3.5% in 2014 and helped Swedish GDP | |
| to grow in 2014 near its 2% average annual rate since 2000, while the unem- | |
| ployment rate remained close to 8%. However, CPIF inflation fell further in | |
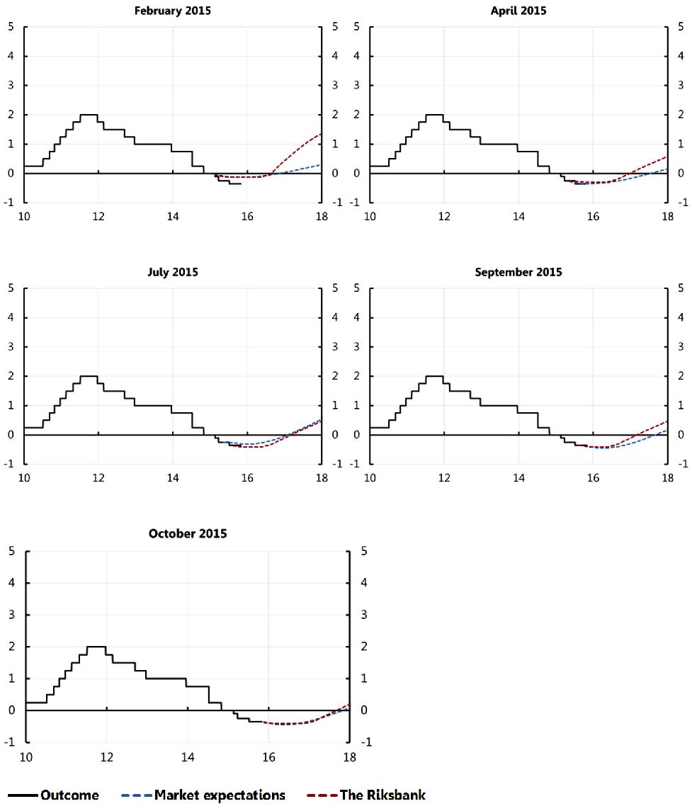
| 2013-14, eventually stabilizing at 0.5%, and the Riksbank continued to cut the | |
| repo rate, to zero in October 2014, and eventually to minus 0.35% in July 2015. |
4.2 Dissents by Members of the Executive Board
Disagreements among the Executive Board were common prior to the period covered by our review. Although there were no dissents in 2006, there were six in 2007, eight in 2008, and no fewer than fourteen in 2009.4 In 2007, one member of the Board dissented five times and another dissented once, both voting to tighten monetary policy more aggressively than the majority. From February to September 2008 two members dissented on three occasions each, and a third member dissented twice, all voting for easier monetary policy than the majority. The greatest challenge to the majority led by the Governor during the entire period from 2006 through 2009 was in July and September 2008 when three members of the Board voted for easier policy and the majority carried the day only because the Governor exercised his casting vote.
The Executive Board acted unanimously to ease monetary policy aggressively following the September 2008 crisis at the four meetings from October through February 2009. But the disagreements reappeared in April 2009. One member dissented for easier monetary policy at all five remaining meetings in 2009, wishing in April to cut the repo rate by 75 instead of 50 basis points and then to hold the repo rate at 25 basis points until mid-2011, and in July wishing to cut the repo rate to zero instead of 25 basis points and keep it there for one year. Another member dissented on four occasions in 2009 and a third member dissented on three of those occasions, both voting for the repo rate to be raised sooner than expected by the path described in the Monetary Policy Re- port. Even though 2009 saw 14 dissents against the Executive Board majority compared to only eight in 2008, the challenge to the majority was never as great as in 2008 because there were dissents for both easier and tighter monetary policy relative to the majority.
4.3 Previous Reviews
Giavazzi and Mishkin evaluated the first period of inflation targeting in Sweden, which began in January 1993 shortly after Sweden floated the krona in the fall of 1992. Fortunately for Sweden, underlying economic conditions were relatively benign during the initial period of inflation targeting, coming as it did after the Swedish banking crisis in the early 1990s and before the
18
| 4 THE SWEDISH ECONOMY AND MONETARY POLICY PRIOR TO 2010 | 2015/16:RFR7 |
global financial turmoil in 2007-09. Giavazzi and Mishkin assessed the implementation of inflation targeting in Sweden in large part from the perspective of the academic literature, in terms of its success in stabilizing inflation, and in light of the Riksbank Act of 1999 which gave the Riksbank the independence to maintain price stability.
Covering the period of the global financial collapse, the second evaluation by Goodhart and Rochet described in detail the nature of the financial crisis itself, Sweden’s vulnerability to the crisis, and the variety of extraordinary measures taken by the Riksbank to stabilize the Swedish economy in response to the crisis. Rochet and Goodhart assessed the capacity of the Riksbank and other government authorities in Sweden to maintain financial stability in light of the crisis. Their predominant concern was that the Riksbank’s responsibility for financial stability in the 1999 Act was unclear; and moreover, the Government had not authorized the Riksbank or other financial regulatory agencies to pursue macro-prudential policies needed to guarantee financial stability.
Our review differs from the earlier ones in that by 2010 the global financial crisis had passed and Swedish exports began to recover rapidly. Moreover, the Riksbank had accumulated two decades of experience with inflation targeting and with that a degree of confidence in its management of monetary policy. Nevertheless, a number of difficult underlying economic conditions would test severely the framework within which the Riksbank conducted monetary policy. First, Swedish housing prices and household indebtedness continued to rise throughout the period of our evaluation (see Figures 6 and 7), posing a threat to financial stability. And the Government failed to remedy deficiencies in the regulatory framework to secure financial stability. Second, sluggish growth in the United States and especially in Europe, slowed the expansion in Sweden and forced inflation significantly and persistently below the 2% target. Third, by the end of our evaluation period, the Riksbank was forced to deal with the zero lower bound constraint on its official short-term interest rate.
There was no road map for how the Riksbank should have handled these nearly unprecedented circumstances. The Executive Board and the Monetary Policy Department were learning by doing, so to speak. So we base our evaluation of the Riksbank’s monetary policy during the period on how the Executive Board handled these unexpected developments in real time as recorded in the Monetary Policy Reports and Minutes of the Monetary Policy Meetings.
19
2015/16:RFR7
5 The Evolution of Monetary Policy 2010-
2015
Chapter 4 described the performance of the Swedish economy during the crisis and in the run-up to the period of our Review. The combination of rising asset prices and debt, on the one hand, and the weakness of the world economy, on the other, posed major challenges to economic policy in general, and to monetary policy in particular. As we stressed in the introduction, it is sensible to judge policy not with the benefit of hindsight but in terms of the information that was available at the time. It is important not to be misled by any subsequent attempt to rewrite history. So now we turn to an analysis of what the Riksbank knew meeting by meeting and how the reasoning for its monetary policy actions evolved over time. Before that, however, we describe the monetary policy framework – both the strategy (section 5.1) and the process (section 5.2) – governing the Riksbank’s decisions on monetary policy.
5.1 Monetary Policy Strategy
The monetary policy strategy includes the objectives of policy and the judgements about the economy which determine decisions on official interest rates and other policy instruments. The Riksbank's publication Monetary Policy in Sweden (2010, pp. 5-6) summarizes its monetary policy strategy as follows (quotations taken from the document):
“According to the [1999] Sveriges Riksbank Act, the objective for monetary policy is to maintain price stability. The Riksbank has specified this as a target for inflation, according to which the annual change in the consumer price index (CPI) is to be 2 percent”. CPI inflation includes the impact of changes in interest rates on the imputed cost of owner-occupied housing. A measure of inflation excluding this impact of changes in interest rates is described as CPIF inflation. When interest rates rise to dampen demand and ultimately inflation, the initial impact is to push up CPI inflation. To counter this perverse effect, in its policy deliberations, the Executive Board consistently employs CPIF rather than CPI as the measure of inflation guiding policy.
Monetary policy also aims “to support the objectives of general economic policy with a view to achieving sustainable growth and high employment”. So in addition to stabilising inflation around the inflation target, the Riksbank also tries to “stabilise production and employment around long-term sustainable paths. The Riksbank therefore conducts what is generally referred to as flexible inflation targeting”.
To meet its objectives the Riksbank sets official interest rates at its regular monetary policy meetings (held six times a year). The official interest rate is known as the repo rate or “reporäntan”. The repo rate is the interest rate at which banks can borrow or deposit money for a period of 7 days with the
20
| 5 THE EVOLUTION OF MONETARY POLICY 2010-2015 | 2015/16:RFR7 |
Riksbank. By altering the level of the repo rate the Riksbank can exercise influence over the interest rates that banks apply to loans, mortgages and savings accounts, and so on the amount of money and credit in the economy. More recently, when the repo rate had fallen to zero, and in 2015 turned negative, the Riksbank has bought securities in financial markets in order to inject more money into the economy.
Because it takes time before monetary policy has its full impact on inflation, monetary policy is guided by forecasts for the economy and inflation. In addition, the Riksbank publishes, among other things, its own assessment of the likely future path for the repo rate and the degree of uncertainty surrounding that path. This interest rate path “is a forecast, not a promise”. In connection with every monetary policy decision, “the Executive Board makes an assessment of the repo-rate path needed for monetary policy to be well-balanced. A well-balanced monetary policy is normally a question of finding an appropriate balance between stabilising inflation around the inflation target and stabilising the real economy”.
The Riksbank began to publish after each monetary policy meeting its own expected repo rate path over a three-year forecast horizon in February 2007. It also began to prepare its forecasts on the basis of its own published expected repo rate path, rather than conditioning them on forward short-term interest rates derived from the money market yield curve. At the same time, it renamed its Inflation Report the Monetary Policy Report. In a 17 January 2007 speech, Deputy Governor Irma Rosenberg, explained that “…the primary reason for publishing one's own interest rate forecast is that it makes it easier for the central bank to steer expectations. With this assumption for the interest rate, the central bank can explain more clearly to the general public and the financial markets how it envisages future interest rate developments and how it reasons when making monetary policy”. As we discuss below, the question of how successfully the published repo rate path steered market expectations proved to be a highly problematic factor in making forecasts and setting interest rates.
A major challenge facing any central bank is how quickly it tries to correct any deviation of inflation from target. In Sweden, “[t]here is no general answer to the question of how quickly the Riksbank aims to bring the inflation rate back to 2 per cent if it deviates from the target. A rapid return may in some situations have undesirable effects on production and employment, while a slow return may have a negative effect on confidence in the inflation target. The Riksbank's ambition has generally been to adjust the repo rate and the repo rate path so that inflation is expected to be fairly close to the target in two years' time”.
According to the Sveriges Riksbank Act, the Riksbank tasks also include promoting a safe and efficient payment system. During the period covered by the Review, the Riksbank also became concerned about developments in house prices and household debt. Official responsibility for such matters lay primarily with the regulatory authorities and not the Riksbank. We describe below how such concerns affected monetary policy and comment in Chapters
21
| 2015/16:RFR7 | 5 THE EVOLUTION OF MONETARY POLICY 2010-2015 |
| 7 and 8 on the implications of financial stability policy for the setting of mon- | |
| etary policy in Sweden. | |
| The Riksbank “endeavours to ensure that its communication is open, fac- | |
| tual, comprehensible and up-to-date”. The objective is to make it easier for | |
| economic agents to make economic decisions by reducing the uncertainty as- | |
| sociated with the conduct of monetary policy. |
5.2 The Monetary Policy Decision-making Process
The Riksbank holds six “Monetary Policy Meetings of the Executive Board” each year at which it makes decisions regarding the repo rate. A Monetary Policy Report is prepared for the February, June/July, and October meetings, which includes a main scenario for monetary policy favoured by the majority of the Board and a variety of alternative scenarios; a Monetary Policy Update without alternative scenarios is produced for the other three meetings.5 The interest rate decision is announced at 9:30 am the following day, along with the votes of individual members of the Executive Board, and the Monetary Policy Report or Update is posted on line to provide more detail on the policy decision. The Governor also hosts a press conference. Minutes of the Monetary Policy Meetings with attribution (ascribing all statements and comments to individual members of the Board) are published about two weeks after each policy meeting.
According to Hallsten and Tägtström (2009), the material for each Monetary Policy Meeting of the Executive Board is produced in a series of premeetings that usually takes about six weeks (the time line of the process that culminates in the Monetary Policy Meeting is shown in Figure 8).6 Board members already participate in the first pre-meeting, which begins to develop alternative scenarios based on different views for economic growth abroad, productivity growth, oil prices, and/or other conditioning variables.
The initial pre-meeting is followed by a number of meetings at which new statistics and new events that have occurred since the previous Monetary Policy Meeting of the Executive Board are presented and discussed. Of particular importance for a small open economy such as Sweden, there is an international outlook meeting which develops preliminary forecasts of international variables such as economic growth and interest rates abroad upon which the forecast of developments in Sweden will be conditioned. Forecasts from bodies such as the Organization for Economic Cooperation and Development (OECD) and the International Monetary Fund (IMF) are also presented. There is also a financial market meeting and a meeting to ascertain the current state of the Swedish economy. Next, the Monetary Policy Department employs its structural “Ramses” model of the Swedish economy and statistical VAR methods to formulate its forecast of key macroeconomic variables in Sweden such as inflation, interest rates, GDP, unemployment, and exchange rates based on exogenous conditions such as the forecast for developments abroad.
22
| 5 THE EVOLUTION OF MONETARY POLICY 2010-2015 | 2015/16:RFR7 |
Following these introductory meetings, there is “the first large monetary policy group meeting,” whose purpose Hallsten and Tägtström describe as follows:
“The aim of the first large monetary policy group meeting is to attempt to clarify for the Executive Board what forecasts different models generate, how the models react to the new information that has become available and, not least, what assessments the management of the Monetary Policy Department made to arrive at the final forecast. At this meeting, the members of the Ex- ecutive Board also have the opportunity to ask the experts about details in the forecast” (p. 81).
The second half of the “second large monetary policy group meeting” held the next day is closed to all but the Executive Board, a small number of staff from the Monetary Policy Department, a few advisors, and representatives of the Communications Secretariat. As Hallsten and Tägtström put it:
“The reason for limiting participation in the second part of the meeting is to allow the members of the Executive Board to discuss the issues between themselves as thoroughly and as openly as possible. The members of the Ex- ecutive Board may now discuss and express opinions on the main scenario on the basis of their own assessments” (p. 82).
“…The various Board members present their views on the forecast. A member may, for example, express concern that the forecast for productivity is too high. If an alternative scenario for productivity has been drawn up the main scenario can be adjusted directly at the meeting by weighting the two scenarios for the growth of productivity together. The Board can then immediately see what impact this has on the forecasts for the repo rate path, inflation and, for example, the growth of GDP. Various repo rate paths that reflect different balances between inflation and the development of the real economy are also presented” (p. 82).
“On the basis of this material, the Executive Board attempts to arrive at a repo rate path that it seems likely that the majority of the Board members can support. At this point the Board members decide that they want to see additional alternative scenarios, or another repo rate path than the one that has served as the main scenario until this time. If so, these are produced by the next day when a follow-up meeting is held with the Executive Board and some of the personnel of the Monetary Policy Department” (p. 82-3).
Working closely with the Executive Board, the Monetary Policy Department then prepares the draft Monetary Policy Report which, in the assessment of the Monetary Policy Department, will gain the support of the majority of the members of the Executive Board. The Report contains the main scenario and alternative forecasts for consideration at the Monetary Policy Meeting of the Executive Board at which the repo rate and other monetary policy decisions are taken by majority vote.
The Monetary Policy Meeting begins with a brief update on how financial markets have developed, including market expectations of monetary policy
23
| 2015/16:RFR7 | 5 THE EVOLUTION OF MONETARY POLICY 2010-2015 |
| ahead of the meeting. This is followed by a brief summary of the main ele- | |
| ments of the Monetary Policy Report. Much of the material and reasoning | |
| underlying the decision-making process is already built into the Monetary Pol- | |
| icy Report. So the heart of the Monetary Policy Meeting is the presentation | |
| by members of the Executive Board of their individual views. Members pre- | |
| sent their individual views on the current stance of monetary policy and any | |
| proposals they choose to make for immediate repo policy action and its pub- | |
| lished intended future path, or other policy actions the Riksbank may take. | |
| The main scenario in the Monetary Policy Report--which includes the cur- | |
| rent repo action and the published intended repo rate path, as well as forecasts | |
| for the main macro variables in Sweden, and the domestic and global condi- | |
| tioning variables-- serves naturally as a basis against which individual mem- | |
| bers debate monetary policy. Members can productively express the reasoning | |
| underlying their own support of the main scenario or they can challenge the | |
| majority by entering reservations against elements of the main scenario and | |
| advancing their own proposals. | |
| Hallsten and Tägtström emphasize that: | |
| “The Executive Board has chosen to organize as an individualistic commit- | |
| tee. This means that the decisions are made jointly, but that each member has | |
| an individual responsibility. The interest rate decisions are made by means of | |
| a majority vote and the Chairperson of the Executive Board has the casting | |
| vote. The minutes that are published approximately two weeks after the mon- | |
| etary policy meetings provide a record of how each of the members reasoned | |
| and voted. Once the minutes have been published, the members may express | |
| their own views publicly, which highlights the members' individual responsi- | |
| bility and also makes it easier to evaluate monetary policy” (p. 70). |
5.3 Evolution of Monetary Policy in Sweden 2010- 2015: The Narrative in Real Time
We tell the story of how monetary policy in Sweden evolved from 2010 to late 2015 as it was experienced by the Executive Board and the Monetary Policy Department of the Riksbank in real time. The sources for this are the Monetary Policy Reports (or Updates) prepared for each Executive Board Monetary Policy Meeting and the record of each policy meeting transcribed in “Minutes of the Executive Board's Monetary Policy Meetings”. The Reports (prepared for the February, June/July, and October meetings) usually contain between 50 and 70 pages and include the main forecast scenario corresponding to the Board's policy decision, as well as alternative scenarios and occasionally special articles relevant for policy. Updates (prepared for the April, September, and December meetings) usually contain less than 20 pages and present only the main forecast scenario corresponding to the policy decision. Reports and Updates both include tables at the back with annual average forecasts of variables in the main scenario for the three-year forecast horizon. The documents
24
| 5 THE EVOLUTION OF MONETARY POLICY 2010-2015 | 2015/16:RFR7 |
also describe new information received since the previous Executive Board Monetary Policy Meeting.
There were 35 Executive Board Monetary Policy Meetings during the period from February 2010 to October 2015, 6 each year and 5 in 2015 at the time of writing. In other words, our narrative is based on some 1200 or so pages of Reports and Updates, and 800 or so pages of Minutes--around 2000 or so pages of real-time data, forecasts, analysis, discussion, and monetary policy decision-making (see also Table 2 and Annex 2).
Our narrative is necessarily highly selective, and we discuss only those elements of the history needed to evaluate how well monetary policy was carried out “meeting by meeting” taking into account the information available at the time. We take note of significant forecast revisions (conditioned on current policy actions in the main scenario) compared to the previous meeting's forecasts. We explain the policy action(s) taken. And we report the essence of the Executive Board's justification for its policy action. That justification comes primarily from the Monetary Policy Reports and Updates, which largely reflect the views of the majority of the Executive Board in favour of the current policy decision.
As emphasized in Section 5.2 above, Executive Board Monetary Policy Meetings provide a way for members to explain their individual perspectives on the policy decision and the Minutes provide individual members with a format as transparent and nearly as immediate as the Report or Update to explain their views. Dissenters have an especially strong incentive to express their views at the Monetary Policy Meetings for publication in the Minutes, since the majority point of view is already well represented in the Report or Update, and alternative scenarios and forecasts may not adequately capture concerns of dissenters and are not included in Updates at all. Often the most interesting commentary in the Minutes involves statements by dissenters that challenge the majority assessment and policy decision or question directly members of the majority about their individual policy positions. Dissenter commentary in the Minutes may seem excessive, repetitive, or strident at times. But, as emphasized in Section 5.2, the Riksbank asks Executive Board members to take individual responsibility for monetary-policy making, and provides members and especially dissenters with opportunity to do so at the Executive Board Meetings and through published Minutes with attribution. It is particularly important for our evaluation of monetary policy to report dissenting views at length in order to ascertain the extent to which monetary policy could have been improved had dissenting recommendations been adopted at the time.
We have characterised monetary policy during the Review period in six phases (see also Figure 9):
1.Recovery and tightening, February 2010-July 2011.
2.Pause for thought, September 2011-October 2011.
3.Disappointment and easing, December 2011-December 2012.
25
| 2015/16:RFR7 | 5 THE EVOLUTION OF MONETARY POLICY 2010-2015 | |
| 4. | Another pause for thought, February 2013-October 2013. | |
| 5. | Going to zero, December 2013-December 2014. | |
| 6. | Going negative, February 2015-October 2015. | |
Phase 1: Recovery and tightening, February 2010 – July 2011
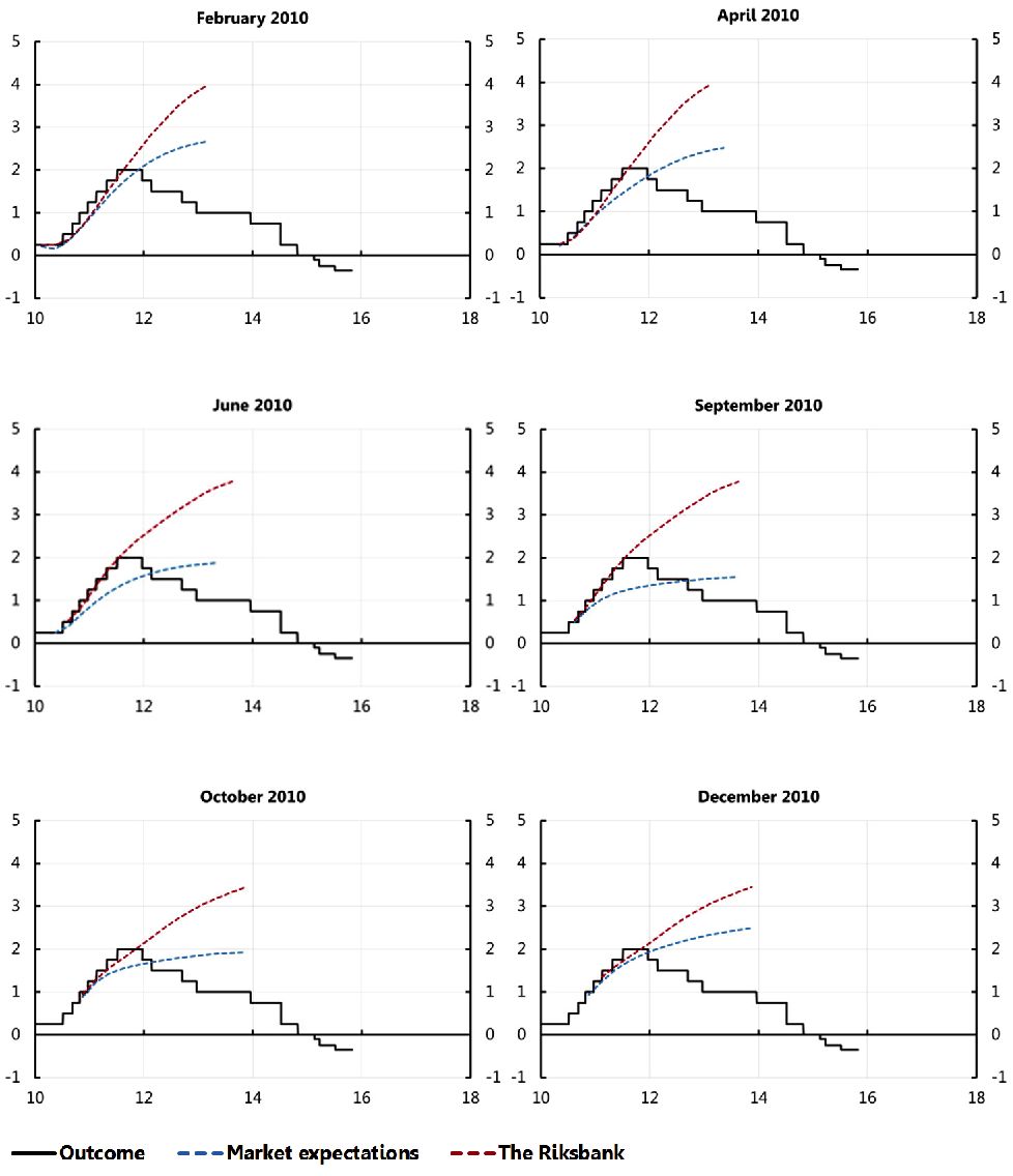
The beginning of 2010 saw an important change on monetary policy in Sweden, with the first steps to tighten policy after the extraordinarily monetary stimulus following the global financial crisis. Since July 2009 the Executive Board had left the repo rate at its 0.25% post-crisis low, and left unchanged its published expected future path of the repo rate which implied a lift-off in the second half of 2010, reaching a 2.5% repo rate in early 2012 and around 4% in early 2013. In the main scenario at its February 2010 Monetary Policy Meeting the forecast for unemployment in 2010 was revised down substantially from 10.1% to 9.4% compared to the forecast at the December 2009 meeting. It was expected to be around 9% in 2012, the last year of the threeyear forecast horizon. The forecast for CPIF inflation in 2010 was revised up from 1.2% to 1.9%, after running at 1.9% in 2009, and was forecast to be 1.8% in 2012.
The Executive Board voted in February 2010 for the first time since the September 2008 crisis to tighten monetary policy somewhat (see Table 2). The Board decided to keep the repo rate at 0.25% but to publish a future repo rate path with lift-off beginning in summer or early autumn of 2010.
The Executive Board justified the slight tightening of monetary policy saying:
“…the repo rate may need to be raised somewhat sooner than was assessed in December … This is due to new information taking the form of a slightly higher international growth rate, stronger employment and higher inflation, among other developments, but also due to the improved functioning of the financial markets” (Monetary Policy Report (MPR), pp. 20-21). Market expected repo rates conformed closely to the Riksbank repo rate path to mid- 2011, then rose more slowly to only 3% in early 2013 (MPR, p. 31).
Mr Svensson entered a reservation against the majority decision and advocated instead cutting the repo rate to 0% and the repo rate path by 0.25% below that in the main scenario until the end of the fourth quarter of 2010. In so doing, Mr Svensson extended his consecutive series of dissents for easier policy begun in April 2009. He had argued for cutting the repo rate by 0.75% instead of 0.50% in April 2009, and in July 2009 he wanted to cut the repo rate to 0% instead of 0.25%. Mr Svensson reasoned much as he had in previous meetings. Comparing the forecasts for inflation and resource utilization with the corresponding repo rate paths outlined at the end of Chapter 2 of the February 2010 MPR, he pointed out that “[i]t is clear from these figures that the lower repo rate path provides a much better outcome for both inflation and resource utilization” (Minutes, p. 9). As the majority moved to tighten policy
26
| 5 THE EVOLUTION OF MONETARY POLICY 2010-2015 | 2015/16:RFR7 |
somewhat, Svensson complained that “[o]ne might think that if one nevertheless does not choose the low repo rate path one must have very strong reasons for this…Unfortunately, it is not made clear in the draft Monetary Policy Re- port why it is right to prioritize something other than the inflation target and resource utilization in the current situation” (Minutes, pp. 9-10).
Mr Svensson proceeded to criticise the draft MPR for stating “Whether or not the repo rate levels set in these scenarios would lead to a better or worse development of the economy than that portrayed in the main scenario is not a simple question to answer”. According to Mr Svensson, “What it should say instead is: ‘Whether or not the repo rate levels set in these scenarios would lead to a better or worse development of the economy than that portrayed in the main scenario is a very simple question to answer. The lower repo rate path provides a better development, while the higher provides a worse’” (Minutes, p. 10).
Responding to the reasons given for such uncertainty in the MPR Mr Svensson argues in the following paragraphs in the Minutes that i) all measures of resource utilization give the same answer, ii) he doesn't know of any information pointing to economic agents acting differently or paradoxically when interest rates are low, iii) there are still no signs that low interest rates have entailed any problems with regard to financial stability or the functioning of financial markets, and iv) according to evidence in the Riksbank's recent Fi- nancial Stability Report and Finansinspektionen, the ”unequivocal and certain conclusion based on very detailed data, studies and stress tests is that the housing market and credit granting do not at present entail any problem for financial stability” (Minutes, p. 11).
Concluding that the draft MPR gives no good reasons for not choosing the lower repo rate path, Mr Svensson asks “Is there some unspoken motive? However, unspoken motives have no place in transparent monetary policy. Anything that cannot be expressed openly cannot be a good reason” (Minutes, p. 11).
Ms Ekholm criticized Mr Svensson's reasoning regarding the comparison between different repo rate paths in the MPR saying that “she considered the reasoning in the Report that there may be consequences of different interest rate paths that are not captured in the analysis to be good. Different Executive Board members may have different opinions regarding the probability of these consequences and the significance they have for the outcome, but ultimately it is a question of different assessments” (Minutes, p. 15).
Later, Ms Ekholm added that “the factors which the other Executive Board members believe affect the expected outcome in different alternative actions should be incorporated into the actual forecast…At the same time, the Executive Board must make decisions on monetary policy now, and then the members must be free to weigh in the factors they believe have relevance for the future developments, even if these cannot be explicitly considered in the forecast” (Minutes, p. 18).
27
| 2015/16:RFR7 | 5 THE EVOLUTION OF MONETARY POLICY 2010-2015 |
| Ms Ekholm was sympathetic with Mr Svensson's policy position, but she | |
| sided with the majority in thinking that “there is a risk that expectations could | |
| be affected over a period of time to come, if the central bank cuts the policy | |
| rate during an economic upturn, as this would be a clear breach of earlier pat- | |
| terns,” adding that “developments in the housing market, with high growth in | |
| household credit and higher house prices mean that it is inappropriate to cut | |
| the interest rate” (Minutes, p. 16). Mr Svensson’s argument that a lower repo | |
| rate path would yield a better balanced monetary policy than the one in the | |
| main scenario, since the lower repo rate path brings inflation closer to target | |
| and brings down unemployment relative to its sustainable level over the 3-year | |
| forecast horizon, had some plausibility. But the problem was that it was en- | |
| tirely based on simulations from the model. As Ms Ekholm pointed out, indi- | |
| vidual Board members are and should be free to base their choice of repo rate | |
| path on considerations other than those in the model forecast alone, bringing | |
| their own perspectives to the repo rate decision as independent Board mem- | |
| bers. | |
| Later in the meeting, Mr Svensson reminded the majority that “[t]he repo | |
| rate path had a very low credibility in April and July 2009, and market expec- | |
| tations were far above the announced repo rate path. However,… the Riks- | |
| bank has gradually succeeded in improving the credibility of the path. Repo | |
| rate expectations have gradually shifted downwards and come closer to the | |
| Riksbank's repo rate path. Mr Svensson feared that the upward shift at the | |
| beginning of the forecast interval could now be perceived as a fairly large | |
| change in monetary policy which increases the probability of future upward | |
| shifts in the repo rate path. This could result in a large upward shift in repo | |
| rate expectations, a loss of the credibility the Riksbank had struggled to attain | |
| and in reality a much more contractionary monetary policy than intended” | |
| (Minutes, p. 18). The relationship between the published repo rate path and | |
| market expectations was to become an important question over the years that | |
| followed. | |
| Compared with the February outlook, forecast revisions in the main sce- | |
| nario for Sweden and abroad were mixed at the April 2010 Monetary Policy | |
| Meeting. GDP growth in the euro area and in Sweden for 2010 was revised | |
| down slightly. But unemployment in Sweden in 2010 was also revised down | |
| to 9% and forecast to average 8.4% in 2012. | |
| In the light of that prospect, the Executive Board left the current repo rate | |
| and the forecast for the repo rate unchanged in April. | |
| Mr Svensson agreed with the majority to hold the repo rate at 0.25%. But | |
| instead of lifting off sometime between July and September as the majority | |
| expected, Mr Svensson insisted on a main scenario in which the first rate rise | |
| would come in December 2010. Although the immediate policy differences | |
| had narrowed at this meeting, many of the concerns and issues considered at | |
| the February meeting were taken up again. | |
| Mr Svensson's dissent was again based on a favourable comparison of his | |
| alternative with the main scenario. He presented his own charts of his preferred | |
| 28 |
| 5 THE EVOLUTION OF MONETARY POLICY 2010-2015 | 2015/16:RFR7 |
alternative path for repo rates at the meeting, since they were not contained in the Monetary Policy Update. He also argued for presenting alternative repo rate paths and accompanying scenarios in the Updates as well as in the Re- ports.
Ms Ekholm drew attention to the fact that the market's expected repo rate path was now below the Riksbank's repo rate path saying “there is a discrepancy between market pricing and the Riksbank's repo rate path,” with the former implying a more expansionary monetary policy than the forecast. “Ms Ekholm claimed that this could lead to an actual monetary policy that was clearly more expansionary and thus less well-balanced than that proposed in the draft Monetary Policy Update” (Minutes, p. 11).
“…Mr Svensson considered that Ms Ekholm's comments on the difference between market expectations and the repo rate path, where market expectations further ahead were much lower than the Riksbank's repo rate path, were interesting. This means that the market is expecting much more expansionary monetary policy than the Riksbank has announced. Mr Svensson felt that this difference should be processed and discussed properly prior to the next monetary policy meeting… But on this occasion he would not be surprised if a slower rise in the repo rate would prove to be more reasonable” (Minutes, p. 18).
Earlier in the meeting, Mr Svensson had acknowledged the problem for making and interpreting forecasts of inflation and the economy when the published repo rate path appeared to lack credibility because it diverged from market implicit forward rates. Ms Ekholm supported Mr Svensson's call “for a thorough analysis of what the outcome would be for different decisions, given the way that interest rate expectations are affected. She agreed that such an analysis would be very useful. However, the Executive Board must make a decision on the repo rate now, based on the material that is available now” (Minutes, p. 17).
GDP grew at a surprisingly strong 6% annualised rate in the first quarter of 2010, and at the June 2010 Monetary Policy Meeting Swedish GDP was expected to grow by 4% over 2010 as a whole, 1.5% more than forecast in the Monetary Policy Update in April. One reason was the strength of exports, now forecast to grow in 2010 by 7.2% up from 4% in April, stimulated by the recovery abroad. Unemployment was forecast to fall from 9% in 2010 to 8.1% in 2012. CPIF inflation was running at 2% in 2010, but continued underutilization of resources was expected to push CPIF inflation down to 1.6% by 2012.
The Executive Board decided to raise the repo rate for the first time since the September 2008 crisis by 0.25% to 0.5% and to steepen the near-term published repo rate path somewhat while normalizing the repo rate at 3.8% rather than 4%. Market expected repo rates now conformed to the Riksbank repo rate path only to early 2011 and then rose to about 2.25% in mid-2013.
The Board justified its policy tightening saying:
29
| 2015/16:RFR7 | 5 THE EVOLUTION OF MONETARY POLICY 2010-2015 |
| “Developments in the labour market and the high GDP growth indicate that | |
| the recovery is on solid ground. This, together with other indicators, points to | |
| resource utilization now being higher than was assumed in the April Monetary | |
| Policy Update. Moreover, house prices are rising relatively quickly and house- | |
| hold indebtedness has increased substantially in recent years” (MPR, p. 18). | |
| Ms Ekholm dissented against the decision, preferring instead to delay the | |
| repo rate increase until September 2010 and then to follow the profile for the | |
| repo rate in the main scenario, in view of the increased uncertainty prevailing | |
| as regards the problems in the euro area. | |
| Mr Svensson again dissented, preferring to keep the repo rate at 0.25% | |
| through the fourth quarter of 2010, and thereafter a gradual return to the repo | |
| rate path of the main scenario. | |
| During the discussion, Mr Öberg pointed out that the market expected repo | |
| rate five years ahead was only 2.7%, which he thought was unrealistically low. | |
| He pointed out that “[m]arket expectations are now lower than the repo rate | |
| path and the difference is moreover unusually large. This implies that mone- | |
| tary policy is in practice much more expansionary than is intended in the draft | |
| Monetary Policy Report. When the repo rate path expected by the market is | |
| used in the Riksbank's models, the results show that it leads to a very strong | |
| growth in GDP and to an underlying inflation rate that far overshoots the tar- | |
| get. This is not good, of course” (Minutes, p. 9). | |
| In arguing for his preferred alternative policy, Mr Svensson emphasized | |
| that the Executive Board had, after extensive discussions, agreed on a new | |
| version of the document “Monetary Policy in Sweden,” which would be sum- | |
| marized at the beginning of the Monetary Policy Reports. He emphasized the | |
| second point of the summary for how the Riksbank conducts “flexible inflation | |
| targeting ”. Arguing that a reasonable equilibrium unemployment rate can be | |
| assessed to be in the interval of 6 to 7 per cent, he then presented model fore- | |
| cast simulations showing that his preferred alternative repo rate path led to | |
| somewhat better outcomes for inflation and unemployment over the three-year | |
| forecast horizon. | |
| The problem for members of the Board other than Mr Svensson was this: | |
| CPIF inflation would according to the forecast undershoot the 2% inflation | |
| target by 0.5% or so for most of the forecast period, and unemployment was | |
| forecast to remain above the 6 to 7 per cent sustainable rate of unemployment. | |
| If one absolutely believed the forecasts in the main scenario, then Mr Svens- | |
| son's argument made sense. Yet, actual CPIF inflation had been running con- | |
| sistently at the 2% inflation target in 2010, and other Board members were all | |
| sensitive to the need to balance continued highly expansionary policy against | |
| the possibility that exceptionally low interest rates over a long period of time | |
| would lead to excessive indebtedness among households, abnormally high | |
| house prices, and financial fragility in the future. | |
| The draft Monetary Policy Report included an article “Effects of a Fall in | |
| House Prices,” pp. 49-52, that attempted to estimate how a fall in house prices | |
| could affect developments in the macroeconomy. Ms Ekholm pointed out that | |
| 30 |
| 5 THE EVOLUTION OF MONETARY POLICY 2010-2015 | 2015/16:RFR7 |
the example did not answer the question of how monetary policy would affect the likelihood of imbalances building up in the first place (Minutes, p. 16). Mr Svensson argued that monetary policy could counteract the effect on inflation and unemployment of the imagined 20% fall in housing prices by promising to hold the repo rate near zero for a sufficiently long period of time (Minutes, p. 22). Ms Ekholm countered by asking whether it would be credible for the Riksbank to hold such a policy rate for several years (Minutes, p. 24).
The growth of Swedish GDP, and especially exports, again surprised on the upside at the September 2010 Monetary Policy Meeting. Exports were now expected to grow in 2010 by 11.4% compared with 7.2% at the June meeting, stimulated by strength in the euro area, where GDP growth had been revised up for 2010 from 0.8% to 1.5%, despite the first signs of trouble in Greece and elsewhere. And expected Swedish unemployment for 2010 was revised down to 8.5% in September from 8.9% in June, and from 8.2% to 7.6% in 2012, respectively. The 2010 CPIF inflation forecast was unchanged at 2%, with inflation expected to be 1.7% in 2012.
The Executive Board voted to raise the repo rate from 0.5% to 0.75% and to leave the repo rate path decided at the June meeting unchanged.
The Executive Board justified its policy action saying:
“When resource utilization increases, the repo rate will gradually be increased to more normal levels. Another factor is that household indebtedness has increased in recent years” (MPU, p. 6).
Ms Ekholm dissented against the repo rate path in the majority decision, preferring a flatter path starting from 0.75% ending at 2.8% at the end of the three-year forecast horizon. She was concerned that weaker development abroad could be expected to reduce growth and inflation in Sweden too in the period ahead.
Mr Svensson dissented, preferring a repo rate of 0.50% and a low repo rate path that would rise gradually to only 1.75% by the end of the forecast period. He was concerned that the higher repo rate path in the main scenario would, if it became credible and was incorporated in market expectations, imply a considerable tightening of current actual monetary policy with a substantial increase in market interest rates of longer maturity and a substantial appreciation of the krona, which would lower the already low CPIF inflation and increase the already high unemployment during the forecast period.
Mr Per Jansson, head of the Monetary Policy Department, began the September policy meeting emphasizing that “monetary policy expectations expressed in the forward rates have also shifted down during the summer. Such shifts can be difficult to interpret. Historically the actual repo rate has often developed differently than expected by the market participants (according to forward rates)” (Minutes, p. 3). Specifically, market expectations now followed the Riksbank's repo rate path reasonably well until the end of 2010 but terminated at 1.75% at the end of the three-year forecast horizon compared to the Riksbank's 3.8% end point.
31
| 2015/16:RFR7 | 5 THE EVOLUTION OF MONETARY POLICY 2010-2015 |
| Ms Bul Ekici presented an analysis of the Monetary Policy Department | |
| suggesting that markets believed that i) uncertainty abroad and ii) recent sig- | |
| nals from central banks that they might postpone policy-rate increases would | |
| lead to a need for a more expansionary monetary policy in Sweden, presuma- | |
| bly to counteract an appreciation of the krona (Minutes, p. 2). In other words, | |
| the market believed that “exchange rate smoothing” was implicitly constrain- | |
| ing Riksbank monetary policy--implicitly creating a degree of “incredibility” | |
| in the Riksbank’s intention of raising the published repo rate path in circum- | |
| stances where it was not accompanied by a commensurate rise in policy rates | |
| abroad. | |
| Mr Svensson and Ms Ekholm both concurred in this view which became | |
| central to their perspectives and dissents on policy. | |
| Reasoning as above, Mr Svensson argued that “[t]he entire repo-path | |
| should be shifted downwards to a level that roughly corresponds to market | |
| expectations” (Minutes, p. 9). He “believed that the present good level of | |
| growth and recovery is due to the actual monetary policy, that is to market | |
| expectations and the current market rates for various maturities, rather than to | |
| the intended monetary policy, that is the repo-rate path” (Minutes, p. 12). In | |
| saying this, Mr Svensson was arguing implicitly that shifting down the Riks- | |
| bank's repo rate path to conform to market expectations would not have much | |
| effect on market expectations themselves. Commenting on Mr Svensson's | |
| worry about the Riksbank's path becoming credible, Ms Ekholm responded | |
| that “[i]t appears as though the Swedish forward rates follow when forward | |
| rates abroad change…it would be useful to investigate more closely how for- | |
| ward rates are affected by the repo rate path and by forward rates abroad” | |
| (Minutes, p. 15). | |
| Mr Nyberg challenged Mr Svensson's implicit argument that market repo | |
| expectations would be insensitive to the shifting down of the Riksbank repo | |
| rate path, saying that in his view doing so “would be regarded as clearly sig- | |
| nalling a more expansionary monetary policy and would thus also have [a] | |
| clear effect on both interest rates and exchange rates” (Minutes, p. 21). Ms | |
| Ekholm stated that the issue raised by Mr Nyberg was key. Like Mr Nyberg, | |
| she believed that “a major downward revision of the repo-rate path just now | |
| would influence market rates in a negative direction, making the ‘actual’ mon- | |
| etary policy more expansionary, rather than keeping it unchanged”. Ms | |
| Ekholm pointed out that this was, however, merely a hypothesis and that “a | |
| deeper examination of the question of how decisions concerning changes to | |
| the repo-rate path affect market rates would be beneficial. Not least, this | |
| would be important information to have as underlying data if the problems | |
| regarding the level of the repo-rate path, mentioned by Mr Svensson above, | |
| are to be addressed” (Minutes, pp. 22-23). | |
| The forecast for 2010 GDP growth in Sweden in the main scenario at the | |
| October 2010 Monetary Policy Meeting was revised up sharply from 4.1% | |
| to 4.8%, almost reversing the large 5.1% fall in Swedish GDP in 2009. And | |
| the main scenario now forecast the unemployment rate to fall to 6.8% by the | |
| 32 |
| 5 THE EVOLUTION OF MONETARY POLICY 2010-2015 | 2015/16:RFR7 |
end of the three-year forecast horizon. CPIF inflation was forecast to average 2% in 2010, and to fall to 1.3% in 2011 due to the appreciation of the krona, before rising to 1.9% in 2013.
The Executive Board decided to raise the repo rate by 0.25% to 1%, but it cut the published repo rate forecast from 2.4% to 2.0% in 2011 and from 3.8% to 3.4% at the end of the three-year forecast horizon. Market expected repo rates conformed to the Riksbank repo rate path to early 2011, but then rose less steeply to about 2.25% at the end of 2013 (MPR, p. 10 and Minutes, p.2).
The Board justified its policy action saying:
“GDP is now growing quickly and resource utilization is rising. Moreover, households' debts have increased substantially in recent years. If the increase in debts in relation to incomes continues over a long period of time, there is risk of imbalances building up in the Swedish economy” (MPR, p. 18).
This time, Ms Ekholm and Mr Svensson entered identical reservations against the decision, preferring instead to hold the repo rate at 0.75% and then gradually to increase it to 2.7% at the end of the three-year forecast horizon. If the Riksbank's repo rate path were to gain full credibility in the market, “[t]hey considered that the repo rate path of the main scenario entail[ed] a tighter monetary policy than presented in the MPR. It would lead to a further strengthening of the krona than in the report forecast and considerably higher long-term interest rates than at present. This would reduce inflation and raise unemployment. The expectation that the main scenario's interest rate path will lead to greater strengthening of the krona than in the forecast is based on the view that foreign policy rates will rise more slowly and that the exchange rate is affected by current low foreign long-term market rates” (Minutes, p. 33).
In the discussion Ms Ekholm “was sceptical towards the forecast for foreign policy rates as expressed in the draft MPR, even though it implie[d] a downward revision from the equivalent path in the September MPR” (Minutes, p. 2). The assumed path for foreign rates followed implied forward rates for four quarters but then rose steeply to around 2.75% by the end of 2013. Ms Ekholm pointed out that communications from the US central bank (Federal Reserve), the European Central Bank (ECB), and the Bank of England, indicated that, given their own forecasts, they saw a need to hold their policy rates unchanged longer than is implied by the Riksbank forecast. She “considered that the blue curve in Figure B11 in the draft MPR forms a more reasonable forecast for monetary policy outside Sweden” (Minutes, p. 4). The blue curve referred to was the Riksbank's measure of implied forward rates abroad which rose gradually to only 1.75% at the end of 2013 (MPR, p. 52).
Later, as part of an unusually long six pages of comments critical of the main scenario in the Minutes (pp. 15-21), Mr Svensson argued that the main scenario contained two problems. First, he argued that the Riksbank's repo rate path used in the main scenario was still much higher than market expectations. He worried that if it were to become credible, the policy stance would raise long-term interest rates in Sweden, strengthen the krona, stifle the recovery of exports and GDP, reduce inflation, and increase unemployment. Second, he
33
| 2015/16:RFR7 | 5 THE EVOLUTION OF MONETARY POLICY 2010-2015 |
| pointed out that the exchange rate depends on the difference between long- | |
| term domestic and foreign market interest rates, and he argued that the lack of | |
| a greater appreciation of the krona in the main scenario was due to the assump- | |
| tion that the paths for market interest rates abroad were higher than implied by | |
| actual current market rates. | |
| Ms Wickman-Parak “requested clarification from the staff as to whether | |
| the main scenario's forecast is really based on an assumption that interest rates | |
| in Sweden and the rest of the world differ from the actual observed interest | |
| rates, as Mr Svensson maintained” (Minutes, p. 21). Mr Jansson, head of the | |
| Monetary Policy Department, replied that | |
| “[t]he analysis in the main scenario naturally takes account of current ob- | |
| served interest rates. He also said that Mr Svensson's picture of deviations be- | |
| tween actual interest rates and those on which the forecast is based proceeds | |
| from specific assumptions for translation of forward pricing to policy rate ex- | |
| pectations and the translation of policy rate expectations to long-term market | |
| rates. In a model world with rational expectations it is difficult to take into | |
| account the fact that the monetary policy expectations of the market and of the | |
| Riksbank can differ. But the forecast in the main scenario is not a pure model | |
| forecast and it is possible there to use expert assessments in order to adjust for | |
| events that cannot be taken into account in models. The forecast of future in- | |
| terest rates use plenty of information apart from forward pricing, which led to | |
| an assessment that is close to the average for other forecasters' interest rate | |
| forecasts” (Minutes, p. 21). | |
| Mr Svensson immediately responded and “again explained that, as far as | |
| he could see, the main scenario is based on the credibility of both the repo rate | |
| path and the Riksbank's forecast of foreign policy rates--that is, that all market | |
| operators and other participants actually believe the Riksbank's forecasts for | |
| both the repo rate and foreign interest rates and that this belief is priced into | |
| market interest rates…However, these are questions that must be thoroughly | |
| sorted out ahead of the next monetary policy meeting” (Minutes, p. 21). Mr | |
| Svensson later proposed a basis for how monetary policy decisions could be | |
| improved by making forecasts based on implied forward rates and comparing | |
| the outcome with the proposed repo rate path (Minutes, pp. 29-30). | |
| At the December 2010 Monetary Policy Meeting, Swedish GDP growth | |
| in Q3 2010 was seen to be much stronger than thought at the October meeting. | |
| Once again, estimated GDP growth for all of 2010 was revised upwards, this | |
| time to 5.5% from 4.8%. Forecast GDP growth in 2011 was raised from 3.8% | |
| to 4.4%. Forecast unemployment rates fell slightly, and were now expected to | |
| average 6.6% in 2013. CPIF inflation for 2011 previously forecast as 1.3% | |
| was revised up to 1.7% but expected to fall back to 1.5% in 2012 when tem- | |
| porarily high electricity prices would fall back, and then return to 1.9% in | |
| 2013. The unemployment forecast was little changed from October and ex- | |
| pected to fall from 8.4% in 2010 to 6.6% in 2013 regarded as near the normal | |
| or long run sustainable unemployment rate. |
34
5 THE EVOLUTION OF MONETARY POLICY 2010-2015
The Executive Board decided to follow through on its October forecast to raise the repo rate from 1% to 1.25% and continue with the same repo rate path decided in October, which was to raise the repo rate to 3.4% by the end of 2013.
The Board decided to follow through with no more than the policy action expected in October, in spite of the surprise strength in GDP, saying
“…even with the increases included in the Riksbank forecast, the repo rate will be relatively low for some time to come. This is justified by underlying inflationary pressures currently being low and resource utilisation being lower than normal” (MPU, p. 5).
As they did in October, Ms Ekholm and Mr Svensson entered a common reservation against the majority decision. This time, however, they now accepted the October repo rate rise from 0.75% to 1%. But they argued against raising the repo rate further in December, and as before they advocated a repo rate path that rose more gradually to 2.7% over the forecast horizon.
The discussion at the December meeting largely followed the contours of the debate at the October meeting. Ms Ekholm and Mr Svensson implicitly acknowledged the surprising strength in the Swedish economy since October by agreeing to raise the repo rate to 1%. However, Mr Svensson worried that “if the main scenario's repo rate path were to become credible, all else being equal, Swedish long-term rates would increase by about 70 points for a 5-year rate … This would mean a strengthening of the krona that would entail a further tightening in addition to the increase in long-term interest rates. The overall tightening would lead to even lower inflation and even higher unemployment than in the main scenario” (Minutes, pp. 12-13).
After a full year of post-crisis tightening of Swedish monetary policy, it is worth quoting in full Governor Ingves’ case for continuing to withdraw monetary stimulus:
“The data that has come in shows that growth is higher and unemployment lower than in earlier forecasts, and that the current account surplus remains. GDP will shortly have reached the same level as before the crisis and resource utilization will normalise during the forecast period. Business tendency data indicate continued strength in the economy. Inflationary expectations are rising even though the forecast inflation will be quite close to the two per cent target. All in all, according to Mr Ingves this means that it is now appropriate to raise the interest rate and continue to do so in the future”.
“According to Mr Ingves, Sweden needs less expansionary monetary conditions. This can be achieved via two channels; via interest rate increases and/or via the exchange rate. Exchange rate assessments are genuinely difficult and it is hard to base monetary policy on an assumption that the low interest rate in the rest of the world will contribute to a strengthening of the exchange rate. The discussion of the role of the exchange rate in monetary policy is reminiscent of the discussion of a ‘monetary conditions index’ in the 1990s, which did not lead to any clear conclusions, but on the contrary led to the abandonment of this kind of index ”.
2015/16:RFR7
35
| 2015/16:RFR7 | 5 THE EVOLUTION OF MONETARY POLICY 2010-2015 |
| “The repo-rate path proposed in the Monetary Policy Update is a reasonable | |
| compromise, according to Mr Ingves. By gradually raising the interest rate | |
| monetary policy will be less expansive. If developments in the exchange rate | |
| should differ dramatically from those forecast, this must be dealt with when it | |
| happens”. | |
| Governor Ingves also remarked that “[h]ousehold debt continues to in- | |
| crease and it is too early to judge what effect Finansinspektionen's loan ceiling | |
| will have. To avoid problems in the future it is also appropriate in view of this | |
| to raise the interest rate and indicate interest rate increases in the future as | |
| specified by the repo-rate path. The monetary policy transmission works via | |
| expectations and the repo-rate path steers expectations” (Minutes, p. 15). | |
| By the end of 2010, the battle lines in the debate over the stance of monetary | |
| policy were drawn. One side worried about the surprisingly buoyant recovery | |
| of the Swedish economy, and also about the implications of rising house prices | |
| and indebtedness. The other had a narrower focus on forecasts of inflation and | |
| were concerned that current forecasts had overestimated the likely path of | |
| overseas interest rates and, as a result, had taken insufficient account of the | |
| impact of a stronger krona on pushing down inflation. | |
| Ongoing strength of the Swedish economy was confirmed again at the Feb- | |
| ruary 2011 Monetary Policy Meeting. In the main scenario, Swedish GDP | |
| was expected to grow by 4.4% in 2011 and slow to around 2.5% in 2012 and | |
| 2013. Unemployment was expected to average 7.3% in 2011 and to average | |
| 6.4% in 2013. CPIF inflation was expected to be 1.9% in 2011, 1.5% in 2012, | |
| and 2% in 2013. | |
| The Executive Board voted to raise the repo rate from 1.25% to 1.5% and | |
| to steepen the repo rate path slightly to 3.6% from 3.4% by early 2014. Market | |
| expected repo rates shifted upward from December 2010 and now conformed | |
| to the Riksbank repo rate path until early 2012. | |
| The Executive Board justified its policy action saying: | |
| “The real economic prospects for Sweden and abroad are roughly in line | |
| with the forecasts published in December. Resource utilization is currently | |
| slightly lower than normal, but it is estimated that it will be normal or slightly | |
| above normal towards the end of the forecast period … To stabilize inflation | |
| around the target of 2 per cent and to avoid a too high level of resource utili- | |
| zation in the period ahead, the Riksbank's assessment is that it is appropriate | |
| to continue the sequence of increases in the repo rate that was initiated last | |
| year” (MPR, p. 16). | |
| As they had done in October and December, Ms Ekholm and Mr Svensson | |
| entered a common reservation against the majority decision. Once more they | |
| accepted the 0.25% increase in the repo rate at the previous (December) mon- | |
| etary policy meeting; but they argued against raising the repo rate, now 1.25%, | |
| further to 1.5%. However, this time they revised upward the endpoint of the | |
| repo rate path from the 2.7% that they had favoured since October 2010 to | |
| 3.25% at the end of 2014. Their modest departure from the majority decision |
36
| 5 THE EVOLUTION OF MONETARY POLICY 2010-2015 | 2015/16:RFR7 |
implied a commensurate improvement in inflation relative to the 2% target and a faster reduction of unemployment towards its sustainable level.
In spite of the narrowing of difference among Board members evident above, there was nevertheless the usual extensive discussion in the monetary policy meeting. The following comments serve to capture the mood:
Mr Öberg observed that “[w]ith regard to the repo-rate path, however, his assessment still was that it will be necessary to increase the repo rate by 0.25 per cent at each of the year's six meetings. Öberg reminded the meeting that the repo rate is still very low. The market's repo rate expectations have shifted upwards and he noted that an increasing number of bank economists share the assessment that the Riksbank will need to increase the repo rate to 2.75 per cent by the turn of the year” (Minutes, p. 7). Mr Öberg was referring to the fact reported in Figure 3.4 of the MPR showing that since December, market expectations of future repo rates had largely converged on the Riksbank's published repo rate path.
During the meeting, Board members took some time to discuss and compare the reliability of alternative measures of resource utilization. Mr Svensson concluded that his “own preliminary assessment of the sustainable rate of unemployment is at 5.5 per cent after having read some papers on the subject and discussed it with several labour economists” (Minutes, p. 10). Later, he argued that the Riksbank's Ramses model might overstate the forecast of inflation at the end of the forecast period because it is “calculated using a standard assumption of a sustainable unemployment rate of 6.5 per cent, which he believes is too high” (Minutes, p. 12). Ms Ekholm noted that “[o]ne complicating factor in this recession is that reforms were implemented at the same time, which could be expected to lower what can be considered a sustainable rate of unemployment” (Minutes, p. 16).
Returning to familiar themes, Mr Nyberg pointed out that “[t]he forward rate curve has shifted upwards, and is now quite close to the Riksbank's reporate path, at least for the next 12 months or so. This seems to have taken place without any major inhibitory effect on the Swedish economy, via a rapid appreciation of the Swedish krona. This shift seems to reflect the international rise in forward rates” (Minutes, p. 15).
Mr Svensson (and Ms Ekholm separately) acknowledged during the meeting that “[t]his time there [were] no significant differences between … implied forward rates and the main scenario's assumptions about foreign policy rates in the first two years” (Minutes, p. 4).
At the April 2011 Monetary Policy Meeting, the recovery in the global economy was judged to be continuing at a good pace, the 4.3% forecast for 2011 global GDP was little changed from February despite a natural disaster in Japan, political unease in North Africa and the Middle East, and public finance problems in the euro area. Rising energy prices, in particular, pushed the 2011 forecast for global inflation slightly above 2%. In the main scenario Swedish GDP was forecast to grow by 4.6% in 2011 before falling back toward its 2.5% trend as the unemployment rate fell. The 2011 CPIF inflation
37
| 2015/16:RFR7 | 5 THE EVOLUTION OF MONETARY POLICY 2010-2015 |
| forecast was revised down from 1.9% to 1.6%, but still forecast to reach 2% | |
| in 2013. | |
| The Executive Board decided to follow its February repo rate forecast and | |
| raise the rate from 1.5% to 1.75%, leaving the remainder of the repo rate path | |
| unchanged from the February meeting to reach 3.6% in early 2014. | |
| The Monetary Policy Update reported that “[a]ccording to market pricing, | |
| monetary policy expectations in Sweden are more or less in line with the Riks- | |
| bank's forecast for the repo rate one year ahead…For longer horizons, how- | |
| ever, they are lower than the Riksbank's forecast. Expectations of the repo rate | |
| according to surveys are in line with the Riksbank's forecast in the long run, | |
| too. Both surveys and market pricing point to expectations of an increase in | |
| the repo rate in April, and three further increases this year” (MPU, p. 8). | |
| The Executive Board justified its policy action with much the same reason- | |
| ing as in February 2011. | |
| As they had done since October 2010, Ms Ekholm and Mr Svensson entered | |
| a common reservation against the majority decision. Again they accepted the | |
| 0.25% increase in the repo rate at the previous (February) monetary policy | |
| meeting; but they argued against raising the repo rate, now 1.5%, further to | |
| 1.75%. And again, they revised upward the endpoint of the repo rate path-- | |
| from the 3.25% that they favoured in February to 3.9% by early 2014, advo- | |
| cating a slower rate rise at first and a faster rise later on. Their relatively mod- | |
| est departure from the majority decision implied a commensurately faster in- | |
| crease of inflation toward the 2% target and a faster reduction of unemploy- | |
| ment towards its sustainable level. | |
| Among the main points made during the meeting were the following. Mr | |
| Öberg and Ms Ekholm assessed the increase in the ECB policy rate to 1.25% | |
| in April (and that the rate increase triggered an increase in forward interest | |
| rates in the euro area). Ms Ekholm thought the move was intended only as a | |
| signal to show that the ECB prioritizes keeping inflation in check, unlike Mr | |
| Öberg who thought it might mean higher policy rates in the future (Minutes, | |
| pp. 4-5). | |
| Mr Nyberg pointed out that two elements of uncertainty in European finan- | |
| cial markets had been removed. Portugal had requested and received assis- | |
| tance from the IMF and EU; and the new government in Ireland had moved to | |
| address the problems in its banking system. He added, however, that problems | |
| in Greece and Spain remain (Minutes, p. 6). | |
| Mr Svensson argued that two new estimates by the Ministry of Finance and | |
| the National Institute of Economic Research of the sustainable rate of unem- | |
| ployment supported his view that it was close to 5.5% instead of the Riks- | |
| bank’s 6.5% assumed in the main scenario. | |
| Mr Nyberg considered that there was one issue that did not require so much | |
| attention as previously, namely household debts. The growth rate in house- | |
| hold debt had clearly slowed and house prices had levelled off. Mr Nyberg | |
| was prepared to place this concern to one side, at least temporarily (Minutes, | |
| p. 15). | |
| 38 |
| 5 THE EVOLUTION OF MONETARY POLICY 2010-2015 | 2015/16:RFR7 |
Governor Ingves concluded his own view of the current situation saying: “Sweden currently has an expanding economy and we need to focus on balanced growth now that the recession is behind us. One risk with not raising the repo rate now, when the interest rate level is low in comparison to other economic upswings, is that the interest rate would have to be substantially increased later on. The current strategy of gradual increases is a safer choice, particularly when the starting position of these increases is far from the interest rate level to be expected under reasonably normal conditions” (Minutes, p.
16).
By the July 2011 Monetary Policy Meeting, the Swedish economy had continued to develop much as forecast in April. In the main scenario, GDP growth was forecast to slow from 4.4% in 2011 to 2.5% in 2013; the unemployment rate was forecast to fall from 7.4% in 2011 to 6.4% in 2013; and CPIF inflation was forecast to rise from 1.6% in 2011 to 2.1% in 2013. The Riksbank's forecast of policy rates abroad was revised down marginally from April. Despite intensified euro area concerns, evidence of a deceleration of the high rate of growth in emerging markets, and evidence that the expansion in the United States could be slower than expected, global GDP growth overall was forecast in the main scenario to be 4.2% in 2011.
The Executive Board voted again to follow through on its forecast and raise the repo rate from 1.75% to 2% and to leave unchanged the repo rate path from its April meeting so that the repo rate rose gradually to 3.8% by the third quarter of 2014.
In marked contrast to the last few policy meetings, expectations of future interest rates had shifted downwards by almost 50 basis points over horizons of one or two years since the previous policy meeting, ending up at 2.5% in 2014 (Minutes, p. 2). This development was highly significant. Riksbank monetary policy began to lose market credibility again, as it had in the first half of 2010. The fall in Swedish repo expectations mirrored similar declines in policy rate expectations in the euro area, the US, and in the UK. Global markets apparently took a more pessimistic view of the deterioration in future economic prospects than the main scenario of the Riksbank (MPR, p. 37).
The Executive Board justified its policy action much as it did in April 2011. As they had done since October 2010, Ms Ekholm and Mr Svensson entered a common reservation against the majority decision. Again they accepted the
0.25% increase in the repo rate at the previous (April) monetary policy meeting; but they argued against raising the repo rate, now 1.75%, further to 2%, instead favouring a gradual rise to the same 3.8% endpoint of the forecast horizon favoured by the majority of the Executive Board. It is notable that both dissenters accepted only a slightly lower current repo rate than the majority, and focused their difference of view on likely future rates.
During the discussion in the meeting, Ms Ekholm and Mr Svensson complained that although the Riksbank's forecast for overseas policy rates had been revised downwards in the draft Monetary Policy Report compared to the forecast in April, it was still well above the policy rates that appeared to be
39
| 2015/16:RFR7 | 5 THE EVOLUTION OF MONETARY POLICY 2010-2015 |
| expected in the market. Mr Svensson thought that “[i]f the forecast deviates | |
| from implied forward rates, then it is important to discuss and justify these | |
| deviations…There should be no ground for suspecting that the Riksbank pro- | |
| duces high forecasts for foreign interest rates in order to justify a high repo- | |
| rate path” (Minutes, p. 5). | |
| Governor Ingves responded by saying “with regard to whether the Riks- | |
| bank should produce its own forecasts for international policy rates or use for- | |
| ward market pricing…this issue had been discussed before and as far as he | |
| could see the majority had not changed its view and there was thus no need to | |
| discuss the issue further today…” (Minutes, p. 10). | |
| As he had done in April, Mr Svensson again presented extensive alternative | |
| simulations assuming his preferred 5.5% sustainable unemployment rate and | |
| foreign interest rates, showing the potential for disinflation and higher unem- | |
| ployment than in the main scenarios. And he called for more discussion of | |
| alternative repo rate paths in the Monetary Policy Report than the two pages | |
| of text out of seventy (Minutes, pp. 13-17). | |
| Later in the meeting, Governor Ingves credited the tightening of monetary | |
| policy in 2010 with the positive outcome for the Swedish economy since then | |
| (Minutes, p. 22-23). Mr Svensson responded with a different interpretation | |
| pointing out that “the majority of the Executive Board members began to raise | |
| the repo rate and tighten monetary policy, despite the CPIF forecast under- | |
| shooting the target and despite the forecasts for all measures of resource utili- | |
| sation falling below normal levels ... under these conditions one might expect | |
| that the real economy would show a rather poor development…[w]hat saved | |
| the Swedish economy may have been that the actual monetary policy was | |
| much more expansionary than intended” (Minutes, p. 23). | |
| According to Mr Svensson, it had more or less been the case since February | |
| 2010 that since the Riksbank's repo rate path lacked full credibility, the five- | |
| year rate that matters for economic activity was around 100 basis points lower | |
| than a five-year rate compatible with the Riksbank's repo rate path. Mr Svens- | |
| son believed that this could be a large part of the explanation as to why growth | |
| was unexpectedly high in 2010 (Minutes, p. 24). | |
| Referencing the looming pessimism about global developments, Ms Wick- | |
| man-Parak “noted that there was speculation in the monetary policy debate as | |
| to whether a lower repo-rate path would be likely at this meeting. In paren- | |
| thesis it can be noted that not so long ago the speculations were the reverse” | |
| (Minutes, p. 18). |
Phase 2: Pause for Thought, September 2011-October 2011
Market concern over sovereign debt in the euro area and in the United States, and concerns regarding global growth, intensified in the months before the
September 2011 Monetary Policy Meeting. Elevated risk aversion pushed down long-term bond rates and stock markets fell sharply in Sweden and abroad. The most important markets for Swedish exports were expected to
40
| 5 THE EVOLUTION OF MONETARY POLICY 2010-2015 | 2015/16:RFR7 |
slow down significantly. Consequently, 2012 Swedish GDP growth was revised down in the main scenario from 2.2% to 1.7%; and the forecast for Swedish unemployment in 2012 was revised up from 6.7% to 7.2% and from 6.4% to 6.9% in 2013. CPIF inflation was expected to be about a half percentage point lower in coming years than forecast in July. And various confidence indicators in Sweden, such as the purchasing managers' index and the National Institute of Economic Research's Economic Tendency Barometer, had fallen sharply.
The Executive Board decided to stop raising the repo rate for the first time since June 2010, to hold the repo rate at 2%, and to revise the repo rate path so it only reached 3.6% in Q3 2014.
As in July, monetary policy expectations - measured in implied forward rates - fell again across the entire forecast period. They showed that there was now some expectation that the repo rate would be cut by a half percentage point or so during 2012 (MPU, p. 10). The credibility gap between the Riksbank's repo rate path and market expectations had widened to around 1 percentage point by the end of 2012.
As they had done since October 2010, Ms Ekholm and Mr Svensson entered a common reservation against the majority decision. They accepted the 0.25% increase in the repo rate at the previous (July) monetary policy meeting and agreed to keep the repo rate at 2%, but they advocated a more gradual increase in the repo rate path to only 3% by the end of the forecast horizon. This time both dissenters accepted the majority’s 2% current repo rate and again focused their differences entirely on likely future rates.
During the policy meeting, Executive Board members noted that since July the sentiment in the financial markets and the media had deteriorated drastically. They noted the sensational downgrading from one of the credit rating agencies of United States Treasury debt. They debated the likely depth and persistence of the deterioration of economic conditions for the US and the euro area and Sweden. Mr Nyberg called these developments a “black August” (Minutes, p. 19). In July, Mr Öberg had “believed that the repo rate could need to be raised at all three meetings in the autumn, especially if it turned out that the sovereign debt problems in the euro area could be handled without tangibly negative effects on the financial markets. But developments since then had caused [him] to change his mind…the risks of higher inflation that [he] saw at the previous monetary policy meeting had not materialised…forecasts for inflation have been revised down” (Minutes, p. 22).
Mr Svensson complained again that the widened spread between implied foreign rates and the Riksbank’s forecast distorted the outlook for inflation: “it is as though the analysis is based on five-year interest rates abroad being 100 basis points higher than they actually are” (Minutes, p. 8). He also pointed out that the market's expected future repo rate path in Sweden had fallen sharply since July and now showed repo rates to fall to 1.5% by the end of 2012 and to remain there. By the fall of 2014, the Riksbank's repo rate path now exceeded the market's expected repo rate path by 2 percentage points, indicating
41
| 2015/16:RFR7 | 5 THE EVOLUTION OF MONETARY POLICY 2010-2015 |
| a huge credibility gap for Riksbank monetary policy that made actual policy | |
| much easier in fact than intended policy. Later in the meeting he argued that | |
| “[i]t would be devastating for the Swedish economy if the repo-rate path be- | |
| came credible and the five-year rate rose by 170 basis points” (Minutes, p. 25). | |
| With regard to the effect of international interest differentials on the krona, | |
| Ms Ekholm changed her mind and “agreed with Stefan Ingves and Lars | |
| Nyberg that the krona appears to belong to the group of currencies whose value | |
| is pushed down in periods of market turbulence…Periods of market turbulence | |
| are typically periods with low interest rates, like now. So Ekholm could imag- | |
| ine that increased interest differentials to other countries at present would be | |
| linked to weaker appreciation pressure on the krona than would be the case in | |
| a more normal situation” (Minutes, p. 21). | |
| At the October 2011 Monetary Policy Meeting, expectations of growth | |
| in the United States and in the euro area for 2012 were both revised down a | |
| little further. There was less turmoil and volatility in financial markets than in | |
| September. The main scenario now forecast slightly slower GDP growth for | |
| Sweden in 2012 than in September. CPIF inflation was running at 1.5% in | |
| 2011 and forecast to slow a little more to 1.3% in 2012. But the main scenario | |
| forecast still showed a return to 2% by Q3 2014. It was becoming increasingly | |
| clear that problems in the euro area would continue for some time to come. | |
| The Executive Board decided to keep the repo rate at 2% until the end of | |
| 2011, and to increase the repo rate path more slowly to only 3.5% by Q3 2014. | |
| Ms Ekholm and Mr Svensson dissented jointly again, this time preferring | |
| an immediate cut in the repo rate to 1.75%, and a lower path that kept the repo | |
| rate at 1.5% from Q1 2012 through Q1 2013 and then increased the rate to | |
| slightly above 3% by Q3 2014. They again objected to the Riksbank's assumed | |
| foreign policy rate path in the main scenario being much higher than market | |
| expectations based on implied forward rates. | |
| As usual there was extensive debate among Board members revisiting is- | |
| sues that had been brought up at earlier meetings. There was some sharpening | |
| of differences. For instance, as part of his six pages of analysis of the policy | |
| decision in the Minutes (pp. 12-17), Mr Svensson was highly critical of the | |
| analysis given in the Monetary Policy Report underlying the forecasts in the | |
| main scenario and thought the reasoning underlying the majority policy deci- | |
| sion to keep the repo rate constant was inadequate. To illustrate his argument, | |
| Mr Svensson introduced a diagrammatic presentation of his own alternative to | |
| the main scenario using i) foreign interest rates according to implied forward | |
| rates and ii) an assumed sustainable unemployment rate of 5.5%. A notable | |
| result was that the Executive Board's repo rate path in Mr Svensson's scenario | |
| caused CPIF inflation to fall to 0.5% in 2012 and return only to around 1% at | |
| the end of 2014 (Minutes, p. 17). |
42
| 5 THE EVOLUTION OF MONETARY POLICY 2010-2015 | 2015/16:RFR7 |
Phase 3: Disappointment and Easing, December 2011-December 2012
The most significant feature of the December 2011 Monetary Policy Meeting was the sharp downward revision of growth prospects. GDP growth in the euro area in 2012 was revised down from 0.7% to 0.2%. Consequently, in the main scenario the growth of Swedish exports in 2012 was now forecast to slow sharply from 3.9% to 1.9%; and 2012 GDP growth itself was revised down from 1.5% to 1.3%, with unemployment in 2012 now forecast to rise to 7.5% from 7.2%. Forecasts for CPIF inflation were revised down slightly to 1.4% for 2011, and 1.2% and 1.7% in 2012 and 2013, respectively, before rising to 2% in 2014.
The Executive Board decided to cut the repo rate to 1.75% and lowered the rising repo rate path by about 0.3 percentage points to end at 3.2% in Q4 2014. Implied forward rates indicated that the credibility gap continued to widen as markets now expected the repo rate to be cut in stages by just over 1% to summer 2012 (MPU, p. 9).
Ms Ekholm and Mr Svensson dissented jointly again. They preferred cutting the repo rate to 1.5% immediately, and a path that stayed at 1.25% from Q2 2012 through Q3 2013, and then rose to just below 3%. This was justified by their assessment that the Monetary Policy Update's forecasts of foreign policy rates and Swedish resource utilization were both too high.
Mr Svensson emphasized that the outlook for inflation and unemployment was much poorer now than at the meeting in October. Mr Öberg argued for the repo rate cut saying that “…inflationary pressures are low now and will remain low in the period ahead. Various measures of underlying inflation are clearly below 2 per cent according to the latest outcomes and according to the forecasts for next year in the draft Monetary Policy Update”. Mr Öberg pointed out that “[i]nflation expectations five years ahead are on the other hand stable at just over 2 per cent according to the Prospera survey in December, which indicates that there is confidence in the ability of the Riksbank to keep inflation close to the inflation target in the long run” (Minutes, p. 27).
At the February 2012 Monetary Policy Meeting, the forecast for 2012 GDP growth in the euro area was revised down again from 0.2% to -0.1% compared with December 2011. In the main scenario the growth of Swedish exports in 2012 was forecast to slow from 1.9% to 0.0%, and 2012 GDP growth was revised down sharply from 1.3% to 0.7%. Unemployment in 2012 was now forecast to rise to 7.7% from 7.5% and to fall to 7.0% by early 2015. Forecasts for CPIF inflation were revised down for 2012 slightly to 1.1%.
The Executive Board decided to cut the repo rate to 1.5%, to keep it there for one year, and then gradually raise it from mid-2013 to about 3% at the beginning of 2015.
Figure 3:13 in the Monetary Policy Report shows that market expected repo rates shifted up by about 50 basis points from December toward the Riksbank's repo rate path and were expected to fall only to 1% by mid-2012 and stay there
43
| 2015/16:RFR7 | 5 THE EVOLUTION OF MONETARY POLICY 2010-2015 |
| through mid-2014. The Prospera January survey conformed more closely to | |
| the Riksbank's published repo rate path. | |
| This time Ms Ekholm and Mr Svensson entered reservations separately. | |
| Both preferred to lower the repo rate to 1.25%. Ms Ekholm preferred a repo | |
| rate path that stayed at 1% from Q3 2012 through Q3 2013, and then rose to | |
| slightly above 2% by the end of the forecast period. Mr Svensson preferred a | |
| path that stayed at 0.75% from Q3 2012 through Q3 2013, and then rose to | |
| 2%. | |
| Board members expressed varying degrees of pessimism about develop- | |
| ments in the euro area. The Riksbank's forecast of policy rates abroad con- | |
| formed more closely to market expectations, but Mr Svensson and Ms Ekholm | |
| regretted that there had never been an adequate discussion of the relationship | |
| between the two in the monetary policy report. Mr Svensson again pointed to | |
| the large credibility gap between the Riksbank published repo rate path and | |
| market expectations commenting that “the Riksbank's policy-rate forecasts | |
| have lost contact with reality” (Minutes, p. 15). Market expectations had | |
| shifted upward toward the Riksbank repo rate path in December but they re- | |
| mained far below it. | |
| Mr Svensson considered the Riksbank’s repo rate path to be too high be- | |
| cause: i) the forecast of foreign policy rates was too high, ii) forecasts for the | |
| euro area and thus for Swedish exports were too optimistic, and iii) the Riks- | |
| bank assumed too high a sustainable unemployment rate (Minutes, p. 18). | |
| Mr Svensson had been arguing since September 2011 that in his view target | |
| fulfilment could be even better if the repo rate path was lowered much further | |
| than in the main scenario. However, his dissents proposed only modest depar- | |
| tures of policy from the main scenario because “it requires considerable re- | |
| sources and there are a number of technical difficulties that have not yet been | |
| resolved when it comes to making forecast calculations for repo-rate paths that | |
| are far from the main scenario and thereby determining more precisely which | |
| path is best” (October 2011 Minutes, p. 20). Mr Svensson explained that | |
| “a large and serious problem in the decision-making process is that, in prac- | |
| tice, there is no scope for a serious, in-depth discussion of different policy | |
| alternatives. There should be at least two alternative repo-rate paths with at- | |
| tendant carefully-analysed forecasts for inflation and resource utilization, to- | |
| gether with discussions of target fulfilment for the various alternatives. With- | |
| out this, the decision-making material is insufficient. How can the members of | |
| the Executive Board take reasonable decisions if the consequences of the al- | |
| ternative repo-rate paths have not been properly examined?” (Minutes, p. 21). | |
| Later in the meeting, Ms Ekholm supported Mr Svensson's proposal saying | |
| “[s]he sees it as important that the Executive Board analyses [alternative repo- | |
| rate paths] thoroughly in the future, preferably before the next decision, in a | |
| context in which the entire Executive Board is involved and discusses the rea- | |
| sonability of the analysis” (Minutes, p. 27). | |
| Elsewhere in the meeting, Ms Ekholm observed that the draft Monetary | |
| Policy Report indicated that the lower repo rate was associated with a rate of | |
| 44 |
| 5 THE EVOLUTION OF MONETARY POLICY 2010-2015 | 2015/16:RFR7 |
CPIF inflation just above 2% in 2014. This might argue against the path, she said, if it is believed that it entails a risk of inflation expectations drifting away from the 2 per cent target. However, she thought this risk was very low.
At the April 2012 Monetary Policy Meeting the main scenario again downgraded its forecast for euro area GDP growth to -0.3% in 2012. After contracting more than expected in 2011, Swedish exports were expected to grow by only 0.5% in 2012. Other aspects of the main scenario were little changed from February to April.
The Executive Board decided to keep the repo rate at 1.5%, remain there for one year, and then increase it towards 3% at the end of the forecast period.
Again Ms Ekholm and Mr Svensson dissented separately. They both preferred lowering the repo rate to 1% and a lower path than in the Monetary Policy Update. But Ms Ekholm preferred a repo rate at 1% through Q3 2013 rising to 2.25% by 2015. Mr Svensson preferred a repo rate that stayed at 0.75% from Q3 2012 through Q3 2013, and then rose to 2% by 2015.
The policy meeting again assessed the seriousness of developments in the euro area and revisited issues addressed in previous meetings. Some new concerns and views were advanced. Mr Svensson took up what he called three issues of principle: i) how monetary policy should be conducted and assessed, ii) that the policy process consists of two distinct steps, and iii) one should not forget the longer-run perspective. Among other things he argued that the process followed by the Riksbank lacked clarity associated with i) the use of CPI and CPIF inflation, ii) the use of measures of utilization other than unemployment, and iii) the use of target attainment at the end of the forecast period rather than over the entire period.
Mr Jansson, who had joined the Executive Board in January 2012, commented later that “he did not really understand the point of taking up these issues at the monetary policy meeting. These are questions that can be discussed at length, but there is not enough time available at a meeting of this nature. Mr Jansson said that Mr Svensson makes it sound as though the Ex- ecutive Board has never discussed these issues before, which he considers to be totally misleading…As a general comment on Mr Svensson's contribution regarding issues of principle, Mr Jansson said that he considers it important not to confuse what is right and what is wrong with different people having different opinions on difficult matters that do not have self-evident answers” (Minutes, p. 27-8).
Ms Ekholm raised a new concern about the monetary policy process. Her argument began by repeating that she, like Mr Svensson, “found it difficult to see any reasons why the repo rate and the repo-rate path should be held unchanged, inflationary pressures are low at present and, as pointed out in the draft Monetary Policy Update, are expected to remain so for a large part of the forecast period. CPIF inflation is not expected to reach 2% until late 2013”, and she wondered whether “the model analysis of alternative repo-rate paths discussed at the monetary policy meetings is based on a monetary policy response that is unrealistically rapid. If this is the case…there is a risk of failing
45
| 2015/16:RFR7 | 5 THE EVOLUTION OF MONETARY POLICY 2010-2015 |
| to bring CPIF inflation up to 2%...if the repo is not cut more substantially in | |
| the current situation” (Minutes, p. 22). | |
| Later, in a slightly different context, Ms Ekholm continued this line of rea- | |
| soning. Referencing a point made earlier by Mr Svensson that the Riksbank | |
| has a track record of inflation falling below its 2% target since 2000, Ms | |
| Ekholm noted that “there may be tendencies in the decision-making process | |
| itself that have led to such an outcome. Throughout her period on the Execu- | |
| tive Board there has been a tendency to be content with simply getting back to | |
| the target towards the end of the forecast period in situations when inflation | |
| has fallen below target” (Minutes, p. 35). | |
| Earlier in this meeting Governor Ingves had pointed out that the IMF's most | |
| recent World Economic Outlook showed that recessions preceded by a rapid | |
| increase in debt tended to be both deeper and more prolonged than recessions | |
| where there is a normal development in debt. He argued that “these risks | |
| should not be overlooked… [and that] it is therefore important to also consider | |
| debts among both households and companies when formulating monetary pol- | |
| icy. This is particularly important, [he pointed out] in a situation where Swe- | |
| den has not yet made it clear how questions of macro-prudential policy will be | |
| managed” (Minutes, p. 32). | |
| The euro area crisis flared up again in late spring with the spotlight on | |
| Greece and Spain. The main scenario at the July 2012 Monetary Policy | |
| Meeting assumed that the problems would be managed but nevertheless | |
| downgraded euro area GDP growth. However, the Swedish economy had | |
| done well in the first half of 2012; and the forecast of growth of private con- | |
| sumption for 2012 as a whole was revised from 1% to 1.5%. Forecasts for | |
| inflation and unemployment in the main scenario were little changed, 1% for | |
| inflation 2012 and 7.6% for unemployment, and still expected to reach 2.1% | |
| and 7% respectively in 2014. | |
| The Executive Board decided to continue April's policy decision -- to leave | |
| the repo rate at 1.5% through mid-2013 and then increase it to 3% by mid- | |
| 2014. However, markets expected repo rates to fall below 1% by late 2012, | |
| slightly lower than in April (MPR, p. 31). | |
| Ms Ekholm and Mr Svensson dissented advocating instead lowering the | |
| repo rate to 1%. Ms Ekholm preferred a repo rate path at 1% through Q3 2013 | |
| then rising to 2.6%. Mr Svensson preferred a repo rate at 0.75% from Q4 2012 | |
| through Q4 2013, then rising to 2%. Their reasoning was much as in earlier | |
| meetings. | |
| During the meeting Executive Board members debated how to balance de- | |
| teriorating conditions in Europe against apparent strength of the Swedish econ- | |
| omy itself. | |
| Mr Svensson argued that: | |
| “He could see no reason to set aside the mandate of price stability and high- | |
| est sustainable employment in order to conduct some form of ’leaning against | |
| the wind’ policy and thereby a tight monetary policy, in the belief that one will | |
| thereby improve financial stability, for example, by limiting mortgage growth. | |
| 46 |
| 5 THE EVOLUTION OF MONETARY POLICY 2010-2015 | 2015/16:RFR7 |
There is no theoretical or empirical support for the claim that a higher repo rate in Sweden under current conditions would have a significant impact on financial stability in Sweden and that this would be a reason for keeping inflation below the target and unemployment above a long-run sustainable rate” (Minutes, p. 16).
Nevertheless, reflecting the views of the majority of the Executive Board, Mr Jansson observed that:
“Household indebtedness, as in February and April, continues to be a factor on the margin that in his opinion weighs against making further cuts in the repo rate. He did not feel that the risk situation was now more serious than previously, but the high debt ratio of the households continues to make the Swedish economy more vulnerable and fragile than it would be if the level of indebtedness was lower. If household indebtedness began to increase significantly again for some reason, then those responsible for various policy areas in Sweden should discuss conceivable measures to limit risks in this area” (Minutes, p. 20).
The Swedish economy again showed surprising strength at the September 2012 Monetary Policy Meeting. GDP increased by nearly 6% at an annualized rate in the second quarter of 2012, fuelled by surprising strength in exports. Swedish GDP growth for 2012 was revised up since July from 0.6% to 1.5%; and exports were expected to grow 1.3% in 2012 instead of -0.3%. But such strength was not expected to last and inflation and unemployment forecasts in the main scenario were little changed from July. One surprise was the sharp appreciation of the exchange rate since July -- the krona rose as much as 5% both against the euro and in trade-weighted terms to its strongest level in over ten years. A second significant surprise was a fall from 3.1% to 1.9% in the forecast of unit labour cost inflation for 2012, due to the upward revision of productivity growth for 2012 from 0.4% to 1.5%. Developments in the euro area continued to deteriorate as expected.
The Executive Board decided to cut the repo rate to 1.25% and keep it there until mid-2013 before planning to raise it gradually to 3% at the end of the three-year forecast period. Swedish markets now expected the repo rate to be just over 1% at the end of 2012, much as in July.
The Executive Board justified the lower repo rate saying: “Developments in countries important to Sweden are currently expected to
be relatively weak. This means that GDP growth in Sweden will also be relatively weak in the coming year. It is therefore hardly likely that the very rapid growth during the first half of the year will push up inflation, particularly as the high GDP growth has gone hand in hand with an unexpectedly high productivity growth. This, together with a faster appreciation of the Swedish krona than expected, means that cost pressures and inflation will be lower than was assessed in July” (MPU, p. 7).
Mr Svensson entered reservations against the Monetary Policy Update, the decision about the repo rate, and the repo rate path. He advocated cutting the repo rate to 1%, and a repo rate path that stays at 0.75% from Q4 2012 through
47
| 2015/16:RFR7 | 5 THE EVOLUTION OF MONETARY POLICY 2010-2015 |
| Q4 2013 and then rises to 2% by Q4 2014. He thought the Update's forecasts | |
| of foreign rates further ahead and foreign growth were too high. | |
| Ms Ekholm entered a reservation against only the repo rate path in the Mon- | |
| etary Policy Update. She advocated lowering the repo rate to 1% during the | |
| autumn, keeping this level through Q3 2013, and then increasing the repo rate | |
| to 2.5% by Q4 2014. | |
| During the meeting, Mr Jansson explained why given the concerns he ex- | |
| pressed at the July meeting about the potential threat to financial stability that | |
| might arise from cutting the repo rate, he had now changed his mind. He rea- | |
| soned in terms of the inflation forecast in the main scenario: | |
| “…that the answer to the question of why he now thinks the repo rate should | |
| be cut, but did not think so earlier is quite simply that some deviation from the | |
| inflation target can be tolerated, but that one cannot aim for a future inflation | |
| that never quite reaches the target over the coming years. In Mr Jansson's view | |
| this could only be acceptable in very exceptional circumstances. And these | |
| circumstances did not exist” (Minutes, p. 21). | |
| Later, Mr Jansson asked why Mr Svensson did not advocate an even lower | |
| repo rate right now and an even lower repo rate path in the coming period, | |
| given that the policy Mr Svensson wished to conduct left inflation under his | |
| own judgement below the 2% target for the entire forecast period (Minutes, p. | |
| 22). Mr Svensson replied that Mr Jansson was correct and that “it would be | |
| better with a repo-rate path that gives a forecast for CPIF inflation that over- | |
| shoots the target in order to push down unemployment a little more” (Minutes, | |
| p. 24-5). Then, Mr Svensson reiterated a point he had emphasized at earlier | |
| policy meetings that “it is difficult and that there are unfortunately not suffi- | |
| cient resources at the Riksbank to perform a thorough analysis of repo-rate | |
| paths and forecasts that lie far away from the main scenario” (Minutes, p. 25; | |
| October 2011 Minutes, p. 20). | |
| Growth prospects in the United States and the euro area were little changed | |
| at the October 2012 Monetary Policy Meeting. The Riksbank still assumed | |
| that sufficient measures would be taken in the euro area so that the crisis did | |
| not worsen dramatically. Unemployment in Sweden was forecast to rise in | |
| 2013 to 7.9% from the September estimate of 7.6% because more people had | |
| entered the labour force than had found work and because it had been taking | |
| longer for job seekers to find vacant positions. The forecast for CPIF inflation | |
| for 2013 was revised down significantly from 1.6% in September to 1.1% on | |
| falling energy prices. The main scenario still showed inflation rising to 2.1% | |
| in 2015. | |
| The Executive Board decided to keep the repo rate at 1.25% and to lower | |
| the published repo rate path relative to September by about 50 basis points to | |
| 2.6% by late 2015, the end of the three-year forecast horizon. | |
| The Executive Board justified the policy action saying: | |
| “As monetary policy affects the economy with some time lag, an immediate | |
| repo-rate cut would probably have only minor effects on the low inflation rate |
48
| 5 THE EVOLUTION OF MONETARY POLICY 2010-2015 | 2015/16:RFR7 |
and economic activity in the coming year...[and] there is a risk that CPIF inflation would rise above 2 per cent in a few years' time. A lower repo rate could also further increase the risks linked to households' high indebtedness…[but a] lower repo-rate path means that household debts as a percentage of disposable income will not increase but remain at the current levels” (MPR, p. 19).
The market’s expected repo rate path changed little from September, with the repo rate going below 1% by early 2013 and staying there through 2015. On this basis, the lower published repo rate path appeared to have little actual effect on market expectations (MPR, p. 33).
Ms Ekholm dissented against the unchanged repo rate and the repo rate path, advocating instead a 1% repo rate and a repo rate path lowered further to 0.75% until the end of 2013, and then raised to 1.75%.
Mr Svensson dissented against the Monetary Policy Report, the unchanged repo rate, and the repo rate path, advocating a 0.75% repo rate, and a repo rate path lowered further to 0.5% from Q1 2013 to Q1 2014, and then raised to 1.5%. He thought the Report's forecasts of foreign policy rates further ahead and foreign growth were too high.
At the meeting, Board members debated the extent to which the euro area would work through its banking and other structural problems without significantly worsening its economic prospects. There was also much debate about the extent to which it was necessary, feasible, or desirable to take account of housing prices and household indebtedness in the monetary policy decision. According to Mr Jansson, the argument for doing so comes down to this:
“[He] found it hard to ignore the fact that so many countries had run into problems with excess indebtedness in one way or another, and that so many had previously been certain that this indebtedness would not be a problem. [He thought] this called for a precautionary principle to be applied” (Minutes, p. 31).
Mr Svensson argued that it was not necessary, feasible, or desirable for monetary policy to take household indebtedness into account at all. Ms Ekholm expressed some sympathy for doing so, but thought that under the circumstances it was more important according to model simulations to lower the repo rate path in order to bring inflation back to target faster and unemployment down to a sustainable rate more rapidly.
During the discussion Mr Jansson supported the majority decision saying that “[i]nflation being below the inflation target for a certain period of time is a ‘cost’ that can be accepted if it means that the risk of a really bad development of household debt can be reduced a little” (Minutes, p. 22).
Mr Jansson's comment is interesting for two reasons. First, it is implicitly an argument against choosing the repo rate path by looking solely at deviations of inflation and unemployment from target over a conventional forecast period of around two years, as Mr Svensson continually advocated. Second, both sides in the debate accept the veracity of the main scenario and alternative model forecast simulations presented in the Monetary Policy Report. Both
49
| 2015/16:RFR7 | 5 THE EVOLUTION OF MONETARY POLICY 2010-2015 |
| sides have confidence in the model forecast simulations and are willing to | |
| make their arguments in terms of the model forecast simulations. | |
| Of the three, only Ms Ekholm worried about the credibility of the inflation | |
| forecasts, observing that: | |
| “given the fact that average inflation has been below 2 per cent since the | |
| introduction of the inflation target…it is unfortunate that this tendency will | |
| now be reinforced in that inflation will be below the target [in the main sce- | |
| nario] until into 2014 [and] this may reduce confidence in the inflation target” | |
| (Minutes, p. 7). She was also sceptical of the assessment that the effect of a | |
| repo-rate cut would be delayed saying that “[m]uch probably depends on how | |
| the exchange rate is affected and on how much of an impact exchange rate | |
| fluctuations have on inflation -- and this impact can occur relatively rap- | |
| idly…[b]ut if the effect of repo rate changes is delayed, this would suggest | |
| that the repo rate should already have been lower today. Because then, a long | |
| period with inflation below target could have been avoided” (Minutes, p. 25). | |
| Growth prospects in 2013 were marked down again in the euro area from | |
| 0.2% to -0.1% at the December 2012 Monetary Policy Meeting. Weakening | |
| growth prospects in the euro area and the Federal Reserve's QE3 stimulus led | |
| monetary policy expectations in the long term in both economies to fall closer | |
| to zero. After showing strength throughout 2012, GDP growth in Sweden | |
| slowed in Q4 2012. Sentiment declined. Private consumption in 2013 was | |
| now forecast in the main scenario to grow by 1.5% instead of 2.2%; GDP | |
| growth in 2013 was revised down from 1.8% to 1.2%; unemployment was | |
| forecast to average 8.1% in 2013 revised up from 7.9%. CPIF inflation for | |
| 2013 was revised down from 1.1% to 0.9%, but still forecast to rise to 2% by | |
| 2015. | |
| The Executive Board cut the repo rate to 1% and published a 1% repo rate | |
| path through 2013 before raising it gradually to 2.5% at the end of 2015. Pric- | |
| ing on Swedish money markets indicated that the Riksbank was expected to | |
| cut the repo rate to 0.75% by the end of 2013. | |
| Explaining its policy action the Executive Board admitted that weak devel- | |
| opments abroad were now having a greater impact on growth in Sweden than | |
| was previously expected. It mentioned that households' debts as a percentage | |
| of their incomes were at a relatively high level, over 170%, and added that the | |
| debt ratio was expected to remain at approximately this level during the fore- | |
| cast period (MPU, p. 7). | |
| Ms Ekholm supported the decision to cut the repo rate to 1%, but she dis- | |
| sented against the repo rate path, advocating instead lowering the repo rate to | |
| 0.75% at the beginning of 2013 until Q1 2014, and then raising it to 1.75% by | |
| the end of 2015. | |
| Mr Svensson dissented against the Monetary Policy Update, the repo rate | |
| decision, and the repo rate path, advocating a 0.75% repo rate, and a repo rate | |
| path lowered further to 0.5% from Q2 2013 to Q1 2014, and then raised to | |
| 1.5% by the end of 2015. He thought the Update's forecasts of foreign policy | |
| rates further ahead, foreign growth, and Swedish inflation were too high. His | |
| 50 |
| 5 THE EVOLUTION OF MONETARY POLICY 2010-2015 | 2015/16:RFR7 |
assessment was that his lower repo rate path would not noticeably affect any risks associated with household indebtedness since monetary policy normally has very small short-run effects on household indebtedness and with low and stable inflation no long-run effects either.
A new element in the debate on the Board was a questioning of the inflation forecast in the main scenario. From 2010 onwards CPIF inflation forecasts had systematically overestimated CPIF inflation for 2012. The forecasts rose fairly quickly to 2 per cent while actual outcomes show a downward trend since 2010 from 2% to below 1%.
In light of this, Ms Ekholm asked
“whether it is worth missing bringing inflation up to around 2 per cent and bringing down unemployment to some form of sustainable long run level, to try to influence household debt with the repo rate. [She] did not think it was. She said that it entails considerable economic costs in exchange for something that is highly unlikely [to be] attained using the repo rate. All of the calculations made by the Riksbank so far imply that the repo rate has very little effect on households' indebtedness…At the same time, it has substantial effects on inflation and resource utilization”.
“…[I]t was in the years before the financial crisis that the growth rate in lending to households reached double figures. Then there really was a wind to lean against. Now, however, credit growth is below 5 per cent at an annual rate and has been so for most of this year. It appears that housing prices have been rather stable over the last two years. So why pursue such a leaning against the wind policy now?” (Minutes, p. 13).
Ms af Jochnick, who had joined the Executive Board in January 2012, thought that
“it was unfortunate that so much of the focus of today's discussion had been on household indebtedness. Now that Sweden is facing a serious downturn she believed that the international outlook and domestic demand were the most important issues to evaluate. It was important to keep the discussion focused on how different scenarios would affect the development of the economy and on what monetary policy alternatives are available … to attain credibility it is important that monetary policy is seen in the perspective of a focus on the inflation target” (Minutes, p. 23).
Phase 4: Another Pause for Thought, February 2013-October 2013
At the February 2013 Monetary Policy Meeting economic developments in Sweden and abroad were largely in line with the December 2012 assessment and the main scenario forecasts remained more or less unchanged. Swedish GDP contracted in Q4 2012, unemployment was still expected to exceed 8% in 2013, and a second consecutive year of 1% CPIF inflation was forecast for 2013.
51
| 2015/16:RFR7 | 5 THE EVOLUTION OF MONETARY POLICY 2010-2015 |
| The Executive Board decided to keep the repo rate at 1% until early 2014 | |
| and then expected to raise it gradually to 2.7%, much as expected in December | |
| 2012 (MPR, p.17). The repo rate path expected in money markets in early | |
| 2016 rose by about 50 basis points from December to around 1.3% (MPR, p. | |
| 30). | |
| The Executive Board explained its policy action as follows: | |
| “Since December 2011, the Riksbank has lowered its interest rate from 2 to | |
| 1 per cent. Monetary policy affects the economy with some time lag, which | |
| means that the effect of these cuts has not yet made a full impact on economic | |
| activity and inflation. Cutting the repo rate further in the present situation | |
| would probably have very minor effects on the low inflation and economic | |
| activity in the short run, but as monetary policy is already expansionary, there | |
| is a risk that CPIF inflation would be above 2 per cent towards the end of the | |
| forecast period. … With regard to the labour market, the relatively high un- | |
| employment rate is partly explained by structural factors. This means that it | |
| would be difficult, even with a more expansionary monetary policy, to attain | |
| a significantly lower rate of unemployment in coming years. Such monetary | |
| policy would also risk contributing to an even higher indebtedness and make | |
| households more vulnerable to shocks. The latter in turn entails greater risks | |
| of large fluctuations in resource utilization in the future” (MPR, p. 17). | |
| Ms Ekholm dissented against the decision to maintain the repo rate at 1% | |
| and also against the repo rate path, advocating a 0.75% repo rate and a repo | |
| rate path at 0.75% through Q1 2014 rising to around 2% by early 2016. | |
| Mr Svensson dissented against the Monetary Policy Report, the unchanged | |
| repo rate, and the repo rate path, advocating a 0.5% repo rate, and a repo rate | |
| path that would stay at 0.5% through Q1 2014 rising to 1.5% by early 2016. | |
| His reasoning was identical to his December 2012 dissent. | |
| The discussion at the meeting was again taken up with debate about house | |
| prices and household indebtedness in Sweden in relation to monetary policy. | |
| The following comments are of particular note. | |
| Ms Ekholm observed that it was “unclear what it is that will drive inflation | |
| up to 2 per cent given the weak situation on the labour market throughout the | |
| forecast period and the forecast that the exchange rate will remain largely un- | |
| changed” (Minutes, p. 12). Ekholm also expressed concern that the high rate | |
| of unemployment might become entrenched. And she reiterated that it was | |
| “important that inflation does not remain far below 2 per cent for too long in | |
| order to prevent a loss of confidence in the inflation target” (Minutes, p. 14). | |
| Asked by Ms Wickman-Parak to clarify which part of the inflation forecast | |
| she did not agree with, Ms Ekholm pointed out that “growth in unit labour | |
| costs is expected to fall from just over 2.2% per cent to below 2 per cent in | |
| 2014 and 2015. With falling growth unit labour costs and an in principle un- | |
| changed exchange rate, which means that there is no inflationary impulse from | |
| import prices, what is it that will make inflation rise?” (Minutes, p. 31). |
52
| 5 THE EVOLUTION OF MONETARY POLICY 2010-2015 | 2015/16:RFR7 |
Governor Ingves had earlier expressed concern about just the opposite risk, worrying that “[k]eeping the repo rate very low in this situation could contribute to inflation overshooting the target. There is a risk that the inflation target will lose its role as anchor. Nor can one disregard the significance of risk linked to low interest rates for over-indebtedness in various sectors” (Minutes, p. 26).
Forecasted 2013 GDP growth in the euro area was marked down slightly again to -0.4% at the April 2013 Monetary Policy Meeting compared with February. And forecasts in the main scenario were largely in line with those from February with two notable exceptions. First, after having levelled off in 2011, household debt as a percentage of disposable income was now forecast to grow from the current 174% to just over 177% at the beginning of 2016, revised upward from little expected growth in February (MPU, p. 5 and p. 20). Second, the CPIF inflation forecast for 2014 was revised down sharply from 1.8% to 1.4%; nevertheless, CPIF inflation in the main scenario was still forecast to average 2% in 2015 and CPIF inflation was still forecast at 1% for 2013.
The Monetary Policy Update explained the lower inflation forecast for 2014 as follows:
“Inflation in 2012 was lower than expected by the Riksbank and other forecasters. The Riksbank's interpretation of this, as presented in the report Ac- count of Monetary Policy 2012, is that it was mainly due to the international economic activity weakening to an extent that surprised both the Riksbank and other analysts. The unusually weak international economic activity probably had a direct effect on inflation, but may also have had an indirect effect. There are signs that companies raised their prices less than normal in relation to costs and demand. Over the past two years, unit labour costs have increased by around 2 per cent per year, at the same time as CPIF inflation has been around 1 per cent. This supports the assessment that companies now have more limited opportunities to pass on their higher costs to consumer prices”.
“Given this, the Riksbank now assess that prices will also be raised slightly more slowly in the coming years, in relation to costs. Other factors pointing to lower inflation are the forecast for the exchange rate, which is now stronger for the entire forecast period than it was in February. All in all, the forecast for inflation in 2014 has been revised down, despite domestic cost pressures remaining roughly unchanged since the assessment made in February” (MPU, pp. 7-8).
The Executive Board decided to keep the repo rate at 1%, and expected to begin increasing the repo rate in the second half of 2014, about one year later than in February, to 2.5% at the beginning of 2016.
The Executive Board justified the policy decision as follows:
“…Since December 2011, the Riksbank has halved the repo rate from 2 to 1 per cent and monetary policy is currently very expansionary. There are now signs of an improvement in economic activity, at the same time as housing
53
| 2015/16:RFR7 | 5 THE EVOLUTION OF MONETARY POLICY 2010-2015 |
| prices and debt are increasing more quickly. However, the Riksbank now as- | |
| sesses that it will take longer before inflation begins to rise and that CPIF in- | |
| flation will not reach 2 per cent until 2015. Although an even lower repo rate | |
| would mean that inflation approached the target more quickly during the fore- | |
| cast period, it would further increase the risk of imbalances building up. Such | |
| imbalances can become particularly difficult to manage if developments were | |
| to move towards a strong upwards trend in both housing prices and debt. It is | |
| important to prevent this from happening. A number of measures have been | |
| taken by various authorities in recent years, such as the introduction of a mort- | |
| gage cap. However, there is great uncertainty over the effects of these | |
| measures and whether they are sufficient. Swedish authorities and other par- | |
| ticipants should therefore consider carefully whether further measures are | |
| needed to ensure that developments in the Swedish economy are sustainable | |
| in the long run” (MPU, p. 9). | |
| Ms Ekholm again dissented against the decision to maintain the repo rate | |
| at 1% and against the repo rate path, as she had done in February, advocating | |
| a 0.75% repo rate and a repo rate path at 0.75% through Q3 2014 rising to only | |
| 1.75% by early 2016. | |
| Mr Svensson dissented against the Monetary Policy Update, the unchanged | |
| repo rate, and the repo rate path, advocating a 0.5% repo rate, and now a repo | |
| rate path that stayed at 0.25% from Q3 2013 through Q3 2014 rising to 1.5% | |
| by early 2016. He reiterated his reasoning from December and February, add- | |
| ing this time that the Update's CPIF forecast exaggerated inflation pressure, | |
| and that his lower repo rate path might increase the household debt ratio by a | |
| couple of percentage points within a couple of years, but not in the long term, | |
| and that it would not have any noticeable effect on any risks associated with | |
| household debt. | |
| The divisions between the majority and the minority on the Executive | |
| Board intensified considerably and became more evident at this policy meet- | |
| ing. Ms Ekholm and Mr Svensson explained at length why they thought taking | |
| household indebtedness into account was a mistake. For instance, Mr Svens- | |
| son said that the Riksbank had been holding back the recovery in Sweden fol- | |
| lowing the global financial and debt crisis in “an ineffectual and misguided | |
| attempt to limit household debt,” and that as such “monetary policy conducted | |
| in recent years was a clear and serious failure” (Minutes, p. 5). Later, Mr | |
| Svensson referred to the abovementioned reasoning given for the Executive | |
| Board policy decision in the Monetary Policy Update as “among the most con- | |
| fusing and vague pieces of reasoning that he had encountered during his almost | |
| six years at the Riksbank” (Minutes, p. 27). | |
| The following paragraphs summarize Ms Ekholm's views on the matter, | |
| and to a great extent reflect those of Mr Svensson as well: | |
| Ms Ekholm noted that the substantial downward revision of the inflation | |
| forecast put the Riksbank “more in line with other forecasters, who did not | |
| believe in a rapid rise in inflation to 2 per cent”. She asserted that “arguments |
54
| 5 THE EVOLUTION OF MONETARY POLICY 2010-2015 | 2015/16:RFR7 |
against cutting the repo rate in the near term were not tenable,” as “[t]he starting point was already that inflation is expected to be below the target level for most of the forecast period, and unemployment is expected to be fairly high above what can be considered a long-run sustainable level”. She added that “[w]hen making a substantial downward revision to the forecast for inflationary pressures, it ought to be fairly self-evident that the repo rate needs to be cut…” and that “failing to cut the repo rate in this situation…could make external analysts more convinced that the Riksbank has abandoned the inflation target as the basis for its monetary policy decisions” (Minutes, p. 8). She argued that “given the emphasis put on the potential increase in risks connected with household debt if the repo rate were cut, one would expect a thorough analysis of what these risks are and how monetary policy affects them. But in her opinion there were only fairly loose claims that a lower repo rate would increase the risk of imbalances building up, and that such imbalances would be difficult to manage if there was an upward trend in housing prices and debt. There is no explanation of what the imbalances consist of nor how monetary policy is expected to influence them. There is merely a claim that they would be difficult to manage if there was an upward trend in housing prices and debt. An upward trend has been noted for a fairly long time since the mid-1990s, and this does not appear to have been particularly strongly linked to the repo rate” (Minutes, pp. 8-9).
Ms Ekholm pointed out that “Sweden has a poorly functioning housing market, where rent regulations, tax deductions on mortgage interest and regulations regarding land-use planning create major distortions. Housing construction has been extremely low for 20 years and this has led to a significant housing shortage in most growth regions. Moreover, the percentage of households that own their own home has increased rather substantially, probably as a result of the strong incentives to convert rental properties to tenant-owned properties in metropolitan regions...[T]his development is not something monetary policy can influence.…Monetary policy risks losing credibility, at the same time as household debt merely continues to increase” (Minutes, p. 10).
Mr Jansson explained the concern at the heart of the majority Executive Board decision:
“A new feature in the forecast presented now is that housing prices are picking up again. A reasonable increase in housing prices is, of course, not a problem but what may be a cause for concern is if there is once again a bal- ance-sheet-build-up in which housing prices and household indebtedness increase in a mutually reinforcing process. Such a process would be particularly dangerous if it encompasses unrealistic expectations on the part of the households about the future development of interest rates or housing prices. It is therefore important to prevent this from happening…It is clear that the Riksbank and monetary policy have a role to play in this context, but that other Swedish authorities and agents also need to take responsibility” (Minutes, p. 18).
55
| 2015/16:RFR7 | 5 THE EVOLUTION OF MONETARY POLICY 2010-2015 |
| Ms Wickman-Parak sided with the majority, but she “pointed out that she | |
| would probably have reached a different conclusion if it were not the case that | |
| monetary policy was already very expansionary and the effects of earlier repo- | |
| rate cuts from 2 to 1 per cent could not be seen” (Minutes, p. 13). Mr Jansson | |
| also believed that the majority repo rate path represented a well-balanced com- | |
| promise. “By letting it take a little longer for inflation to reach 2 per cent, the | |
| Riksbank can continue to make a contribution towards dampening the risks | |
| associated with household indebtedness...The fundamental thing is that the | |
| monetary policy is highly expansionary at present and will remain so in the | |
| coming years. This underlines the fact that the Riksbank is giving priority to | |
| its inflation target and to attaining this target within a reasonable period of | |
| time” (Minutes, p. 19). | |
| Mr Svensson presented a counterfactual analysis of what would have hap- | |
| pened if the Riksbank had kept the repo rate at 0.25% since 2010, showing | |
| that CPIF inflation in April 2013 would have been 2% and unemployment 7% | |
| (Minutes, p. 4). Later Mr Jansson pointed out, correctly, that “none of the | |
| members of the Executive Board advocated this alternative when the decisions | |
| were actually made…” He noted that “the minority had also voted for gradual | |
| increases in the repo rate, although with a certain time lag in relation to the | |
| majority at the time” (Minutes, p. 21). | |
| At the July 2013 Monetary Policy Meeting, GDP growth in the euro area | |
| was forecast to slow a little more to -0.6% in 2013 and export growth in Swe- | |
| den was expected to slow in 2013 from 0.9% to -0.8%. But the forecast for | |
| private consumption in Sweden was revised up from 2.1% to 2.5% in 2013. | |
| The GDP growth forecast for 2013 was little changed at 1.5%. CPIF inflation | |
| was forecast to slow a little more to 0.9% in 2013 and rise to 1.9% in 2015; | |
| and unemployment was revised up to 8.1% in 2013 and was forecast to average | |
| 7.3% in 2015, revised up from 6.8% in April. Notably, household debt as a | |
| percentage of disposable income was 171 per cent in the first quarter of 2013, | |
| considerably lower than forecast in April, as disposable incomes grew faster | |
| and debts grew more slowly than expected. | |
| The Executive Board decided to retain the monetary policy decision from | |
| April -- it kept the repo rate at 1% and published essentially the same repo rate | |
| path as in April, keeping the repo rate at 1% for about a year and then increas- | |
| ing the rate gradually to 2.8% at the end of the three-year forecast horizon. | |
| Money markets expected the repo rate to be held at 1% in 2013 and then rise | |
| gradually to 1.5% in 2015, about 50 basis points higher than in April (MPR, | |
| pp. 32-33). | |
| The Executive Board's reasoning underlying the policy decision was | |
| largely the same as in April, although stated more clearly. | |
| Ms Ekholm again dissented against the decision to maintain the repo rate | |
| at 1% and against the repo rate path as she had done in April, advocating a | |
| 0.75% repo rate and a repo rate path at 0.75% through Q2 2014 rising now to | |
| 2.25% by mid-2016. |
56
| 5 THE EVOLUTION OF MONETARY POLICY 2010-2015 | 2015/16:RFR7 |
Mr Flodén, who joined the Executive Board in May, dissented against the decision to maintain the repo rate at 1% and against the path, advocating a 0.75% repo rate to be maintained until Q2 2014 after which it would follow the repo rate path in the policy decision.
The discussion and debate at the meeting followed largely along the lines of the previous meeting. There was one new notable concern.
Mr Flodén pointed out that there were signs that the credibility of the inflation target and monetary policy was beginning to be questioned. Mr Flodén observed that “[i]nflation expectations in the Prospera surveys and the surveys of the National Institute of Economic Research have fallen significantly in recent years, as shown in Figures 3:29 and 3:30 in the draft Monetary Policy Report”. He also noted that “in the Prospera survey of the inflation expectations of money-market players, the social partners and purchasing managers two years ahead, which was conducted in March this year, only 8 per cent of the over 200 respondents believed that the rate of inflation would be as high or higher than the level in the Riksbank's forecast. The average expectation was one percentage point below the Riksbank's forecast” (Minutes, p. 15).
At the September 2013 Monetary Policy Meeting euro area GDP growth in 2013 was revised up slightly to -0.4% compared to July. But Swedish export growth for 2013 was revised down from -0.8% to -2.2%, growth of private consumption in 2013 was revised down for 2013 from 2.5% to 2%, and Swedish GDP was expected to grow 1.2% in 2013, down from 1.5% in July. There was little change in inflation or unemployment projections relative to July.
The Executive Board decided to retain the monetary policy decision from April and July -- it kept the repo rate at 1% and published essentially the same repo rate path as in July, keeping the repo rate at 1% for about a year and then increasing the rate gradually to 2.8% at the end of the three-year forecast horizon.
The reasoning underlying the Executive Board's decision was much as in July except for the following paragraph welcoming the new framework presented by the Government for macro-prudential policy:
“The Riksbank has long called for a clearer framework and new tools to prevent and manage risks linked to financial imbalances, such as households' high indebtedness. The Riksbank therefore welcomes the Government's proposal, with new measures for a stricter framework to reinforce financial stability. Finansinspektionen will receive more tools, the foreign currency reserve will receive stronger funding, and a formal financial stability council will be established. This clarifies the allocation of responsibility and gives better conditions for taking further measures to reduce risks linked to households' high indebtedness” (MPU, p. 9).
Ms Ekholm again dissented against the decision to maintain the repo rate at 1% and against the repo rate path as she had done in April and July, advocating a 0.75% repo rate and a repo rate path at 0.75% through Q2 2014 rising now to 2.25% by mid-2016.
57
| 2015/16:RFR7 | 5 THE EVOLUTION OF MONETARY POLICY 2010-2015 |
| Mr Flodén dissented against the decision to maintain the repo rate at 1% | |
| and against the path, as he had done in July, advocating a 0.75% repo rate to | |
| be maintained until Q2 2014 after which it follows the repo rate path in the | |
| policy decision. | |
| Although there was a discussion of the Government's proposal on macro- | |
| prudential policy, Board members understood that further discussion would | |
| have to await a more concrete specification of the proposal and the powers that | |
| the new Financial Stability Council might be given. | |
| Few aspects of the main scenario were revised at the October 2013 Mon- | |
| etary Policy Meeting compared with September. GDP growth in Sweden for | |
| 2013 was revised down from 1.2% to 0.7% but with GDP still expected to | |
| grow at 2.6% and 3.5% in 2014 and 2015, respectively. CPIF inflation was | |
| expected to be 0.9% in 2013, forecast to be 1.3% in 2014, and still expected | |
| to attain 2% in 2016; unemployment was forecast to fall back from 8% in 2013 | |
| to 6.6% by 2016. Household debt was now 172% as a percentage of disposa- | |
| ble income, having fallen contrary to the April 2013 forecast mentioned above | |
| from 174%; but the ratio of household debt to disposable income was again | |
| forecast to rise, to 178% by the end of 2016 (MPR, p. 13). | |
| Once more, the Executive Board decided to retain the same monetary pol- | |
| icy decision from April, July, and September--it kept the repo rate at 1% and | |
| published essentially the same repo rate path as in July, keeping the repo rate | |
| at 1% until late 2014 and then increasing the rate gradually to just under 3% | |
| by 2016. Market expectations of the repo rate path followed a lower trajectory | |
| than the Riksbank's published path after early 2015, ending about one percent- | |
| age point lower by the end of 2016; although the Prospera survey to mid-2015 | |
| conformed more closely to the Riksbank's repo rate path. | |
| The reasons given in the Monetary Policy Report for the Executive Board's | |
| policy decision were essentially identical to those given in previous recent | |
| meetings. | |
| Ms Ekholm again dissented against the decision to maintain the repo rate | |
| at 1% and against the repo rate path as she had done in April, July, and Sep- | |
| tember, advocating a 0.75% repo rate and a repo rate path at 0.75% through | |
| Q3 2014 rising now to 2.4% by mid-2016. | |
| Mr Flodén dissented against the decision to maintain the repo rate at 1% | |
| and against the path, as he had done in July and September, advocating a | |
| 0.75% repo rate to be maintained until Q3 2014 with it rising rapidly thereafter | |
| to converge to the repo rate path in the main scenario. | |
| Monetary policy had essentially been in a holding pattern since April and | |
| the discussion at the monetary policy meeting covered much the same ground | |
| as previous meetings with more discussion of the Government's proposal on | |
| macro-prudential policy. Among the main points raised were the following. | |
| Ms Ekholm noted that in April “a rather significant downward revision of | |
| the inflation forecast was made but the repo rate was not lowered, only the | |
| repo-rate path further ahead. In July, a downward revision of the household |
58
| 5 THE EVOLUTION OF MONETARY POLICY 2010-2015 | 2015/16:RFR7 |
debt ratio was not followed by a lowering of the repo rate…A natural interpretation of the failure to lower the repo rate when forecast revisions are made that justify a marginally lower repo rate is that household indebtedness is perceived as a problem that lays a kind of floor for the repo rate…” (Minutes, p. 5).
Mr Flodén observed: “How much scope there is to allow monetary policy to take other factors into account depends on the credibility of the inflation target and of monetary policy…He was concerned about what will happen to this credibility in the period ahead if inflation does not soon rise towards the target” (Minutes, p. 6).
Governor Ingves “reached the conclusion that until these [macro-pruden- tial] measures are in place and are deemed to have started to have an effect, the repo rate will have to be higher than it would otherwise” (Minutes, p. 23). He thought “the interest rate path was well balanced given the Swedish economic and inflation forecasts. As he noted earlier, redundancy notices are down at levels usually prevailing in good times. Even so, unemployment is high, which largely seems to be due to structural factors. Matching between jobseekers and vacant jobs has deteriorated recently. The labour force also consists to greater degree of groups that are further from the labour market than previously. Against this background, he drew the conclusion that this is largely a matter of structural problems on the labour market that monetary policy cannot fix” (Minutes, p. 24).
Phase 5: Going to Zero, December 2013-December 2014
In the main scenario, forecasts of real variables in Sweden and abroad were little modified at the December 2013 Monetary Policy Meeting compared with October. However, 2014 inflation in the euro area was revised down from 1.5% to 1.1%; and the ECB increasingly communicated its intention to sustain monetary ease, if needed, with unconventional measures. More important, the CPIF inflation forecast in Sweden was revised down again--from 0.9% to 0.8% for 2013, from 1.3% to 1% for 2014, and from 1.9% to 1.8% for 2015 before rising to 2% in 2016. In particular, in the months immediately ahead, CPIF inflation was expected to be just over 0.5 per cent, well below the previous assessment. Household debt as a percentage of disposable income was still forecast to rise 6 percentage points to 178 by 2016.
The Executive Board decided to cut the repo rate to 0.75% until the beginning of 2015 and then raise it gradually to 2.6% by the end of 2016. The aggressive easing action -- amounting to a 25 basis point parallel downward shift of the repo rate and entire future repo rate path -- strongly signalled the Riksbank's intention to address the low inflation problem.
The Executive Board justified its policy action saying:
“The monetary policy considerations have for some time concerned balancing how quickly inflation will approach the target with a lower interest rate against the increased risks linked to households' high indebtedness. Inflation
59
| 2015/16:RFR7 | 5 THE EVOLUTION OF MONETARY POLICY 2010-2015 |
has been low for a long time, and the unexpectedly low outcomes in recent months regarding in particular services prices imply that it may take longer for inflation to rise. Without a more expansionary monetary policy, there is a risk that inflation would not reach 2 per cent in the coming years” (MPU, p. 8).
Remarkably, the Executive Board decision was unanimous for the first time since February 2009. The unanimity was another strong signal of the Riksbank's intention to address the low inflation problem. Mr Jansson admitted that “this was probably the most difficult repo-rate decision he had been involved in during his time as a member of the Riksbank's Executive Board,” which he joined in January 2012. He observed that “[w]ith regard to economic prospects and the risks associated with household debt, little has happened since the most recent monetary policy meeting on 23 October. This suggests that one should hold onto the monetary policy plan from October and thus leave the repo rate unchanged at today's meeting” Mr Jansson went on to explain why he had come to favour decisive policy action against low inflation:
“But at the same time, inflation has been much lower than expected for two months in a row, compared with the forecast in October. Of course, individual outcomes should not overthrow a monetary policy plan spanning over several years. But in the present situation, where inflation has already been below target for around two years and is not expected to reach the target until autumn 2015, the level of tolerance for further negative inflation surprises is very limited…it is simply the case that there has been a shift in the form of a higher price tag on taking into account the risks linked to household debt” (Minutes, p. 7).
Mr Jansson continued explaining why he was particularly concerned about the surprisingly low inflation outturns:
“One circumstance that increases concern over the unexpectedly low inflation is that the main cause of the forecasting error is a weak development in prices of services. This is worrying for several reasons. Firstly, developments in prices of services should have a stronger link to the domestic economic situation than developments in prices of goods. An unexpectedly weak development in prices of services can thus indicate that companies are finding it even more difficult to pass on domestic cost increases to prices than the Riksbank is assuming. It should be noted in this context that the difficulties in passing on cost increases to prices were an important reason for revising down the inflation forecast as early as April this year. Secondly, with this, total inflation is more dependent on developments in prices of goods. However these have shown a tendency towards a weak trend over a longer period of time, which makes it less probable that they can compensate for a continuing weak development in prices of services…[A]ll this indicates there is a risk of the unexpectedly low inflation in recent months becoming entrenched and worryingly delaying the expected rise in inflation towards the target” (Minutes, p. 7).
Governor Ingves showed little enthusiasm for the policy proposal in his comments, concluding flatly that his “overall assessment led him to support
60
| 5 THE EVOLUTION OF MONETARY POLICY 2010-2015 | 2015/16:RFR7 |
the proposal to cut the repo rate to 0.75 per cent and the proposed repo-rate path” (Minutes, p. 15).
Forecasts in the main scenario were revised relatively little at the February 2014 Monetary Policy Meeting compared to December 2013. The Executive Board decided to keep the repo rate at 0.75% until the beginning of 2015 and then raise it gradually to 2.7% by early 2017, essentially the same monetary policy stance as December 2013. Market repo-rate expectations changed little from December 2013.
The Executive Board justified the policy action saying:
“New information received since December confirms the picture that inflationary pressures are low, even though economic activity is now strengthening. The low inflationary pressures justify continued expansionary monetary policy. At the same time, household debt as a share of income is expected to rise somewhat more in this forecast than was expected in December” (MPR, pp. 17-18).
For the second consecutive Monetary Policy Meeting the Executive Board decision was unanimous.
The discussion at the meeting covered many of the same issues as at earlier meetings and broke little new ground.
Economic prospects abroad were little changed in the main scenario at the
April 2014 Monetary Policy Meeting compared with February. Average GDP growth in Sweden over the forecast horizon was little changed. Productivity growth for 2014 was revised up from 1.2% to 1.9%; the growth of unit labour costs in 2014 was revised down from 1.8% to 1%. Most notably, CPIF inflation was lower than expected for the months of January and February at only a 0.4% annual rate, and CPIF inflation for 2014 was revised down from 0.9% to 0.7%. CPIF inflation was still forecast to rise to 2% by 2016, as the unemployment rate was to fall from 7.9% in 2014 down to 6.7% in 2016. Household debt as a percentage of disposable income was still forecast to rise, from around 174% to 180% by 2016.
The Executive Board decided to keep the repo rate unchanged at 0.75% for about one year and then raise it gradually to 2.7% by 2016.
The Executive Board justified its policy action saying that “[i]n light of the weaker inflation forecasts, the Executive Board adjusted down the repo rate path to reflect the greater probability of a repo-rate cut in the near term compared with the assessment in February” (MPU, p. 9).
Ms Ekholm dissented against the decision to maintain the repo rate and against the repo rate path, advocating cutting the repo rate to 0.5% for about one year and then raising it gradually to 2.2% by 2016. Ms Ekholm justified her dissent saying her preferred policy was associated with a higher forecast of CPIF inflation and a lower forecast of unemployment over the forecast horizon and a better-balanced monetary policy.
Mr Flodén also dissented against the repo rate and the repo rate path, preferring instead to cut the repo rate to 0.5% for about one year and then raise it towards the policy path in the main scenario. Mr Flodén justified his dissent
61
| 2015/16:RFR7 | 5 THE EVOLUTION OF MONETARY POLICY 2010-2015 |
| saying his preferred repo rate path would entail a forecast that returns CPIF | |
| inflation to 2% more quickly. | |
| The discussion and debate at the meeting focused again on how much mon- | |
| etary policy should take account of the ratio of households' debt to disposable | |
| income when the inflation rate was far below the 2% target. | |
| Mr Jansson “felt that this meeting was the closest he had come to a repo- | |
| rate cut without actually voting for one. Another way of expressing it [he said] | |
| is that his own tolerance for further downward revisions of inflation prospects | |
| in the near term has now reached its lower bound” (Minutes, p. 11). | |
| Later, Mr Jansson responded to the fact pointed out by Ms Ekholm and Mr | |
| Flodén that the Riksbank's forecasts for inflation were slightly above the as- | |
| sessments made by other forecasters. Mr Jansson admitted that “although this | |
| appears to be the case in general, it was unclear to him what conclusions should | |
| be drawn from this”. Referencing the Account of Monetary Policy 2013 (chap- | |
| ter 4 and the appendix), Mr Jansson continued that “the Riksbank does not on | |
| average produce poorer forecasts of CPIF inflation than other forecasters and | |
| it is thus not necessarily the case that other forecasts provide a better guide | |
| than the Riksbank's own forecasts”. He “pointed out that the analyses of the | |
| relation between inflation on the one hand and import prices and unit labour | |
| costs on the other have shown that inflation has been unexpectedly low for | |
| some time now. It is therefore not unreasonable to believe that companies | |
| have accumulated a relatively substantial need to increase their prices in the | |
| period ahead…[he] did not consider that the argument that other forecasters | |
| make lower inflation forecasts than the Riksbank is a particularly strong reason | |
| for a further downward revision of the inflation assessment” (Minutes, p. 17). | |
| Ms Ekholm responded that the Riksbank's inflation forecast was partly | |
| based on the assumption that the high rate of productivity growth during Q4 | |
| 2013 would be temporary; and that an alternative hypothesis was that higher | |
| productivity growth was more persistent and would lead to more persistent | |
| downward pressure on unit labour costs and inflation. She argued that a repo | |
| rate path should deliver relatively well-balanced monetary policy under differ- | |
| ent assumptions about uncertain preconditions. Her repo rate path delivered | |
| expected inflation of about 2.5% at the end of the three-year forecast horizon | |
| with the Riksbank's productivity assumption, but nearly 2% inflation if the | |
| productivity growth persisted (Minutes, p. 18). | |
| A range of important forecasts in the main scenario were revised at the July | |
| 2014 Monetary Policy Meeting. In particular, euro area GDP growth for 2014 | |
| was revised down from 1.2% to 1% and euro area inflation for 2014 was re- | |
| vised down from 0.9% to 0.7%. Furthermore, the ECB had taken extraordinary | |
| steps, including cutting its deposit rate to -0.10% (meaning that banks would | |
| pay to deposit liquidity with the central bank), to support its declaration that | |
| policy rates would be exceptionally low for an extended period. And market | |
| expectations of euro policy rates fell by as much as 50 basis points to near zero | |
| in 2016 and mid-2017. Swedish GDP for 2014 was revised down somewhat | |
| from 2.7% to 2.2% but expected to bounce back to 3.3% growth in 2015. Most | |
| 62 |
| 5 THE EVOLUTION OF MONETARY POLICY 2010-2015 | 2015/16:RFR7 |
importantly, CPIF inflation was revised down again -- for 2014 from 0.7% to 0.6% and for 2015 from 1.7% to 1.6%, but still expected to reach 2% in 2016.
The Executive Board decided to cut the repo rate by 0.5 percentage points to 0.25%, to keep it there until the end of 2015, and then raise it gradually to around 2.25% in mid-2017. Market repo rate expectations fell sharply this time and conformed reasonably well to the published Riksbank repo rate path through the end of 2016, but rose to only 1% by mid-2017.
The Executive Board justified the aggressive easing of monetary policy in the Monetary Policy Report saying:
“As inflation has been low for some time, and as it is important that inflation expectations should remain anchored around the target of 2 per cent, it is particularly important that inflation should begin to rise towards the target level…A lower repo rate also contributes to counteracting the effects of a stronger krona and lower import prices, which could result from lower international policy rates…[t]he expansionary monetary policy can contribute to inflation expectations remaining anchored around 2 per cent by sending a clear signal that monetary policy will ensure that inflation approaches the inflation target within a reasonably near future” (MPR, pp. 12-13).
Governor Ingves and Ms af Jochnick dissented against the decision to cut the repo rate by 50 basis points and against the repo rate path, advocating instead cutting the repo rate to only 0.5%, keeping it there until 2016, and slowly raising it thereafter.
This meeting was extraordinary not only because monetary policy was eased so aggressively and credibly according to market repo rate expectations, but also because the Executive Board broke so decisively with its reluctance to cut rates sharply in the face of low inflation, and also because the Board majority broke with the Governor to do it.
The two pivotal Board members at the meeting were Ms Skingsley and Mr Jansson. Ms Skingsley, who joined the Board in May 2013, led-off the meeting declaring that since April 2014
“inflation has continued to be lower than expected. The Riksbank's forecasts for the development of interest rates abroad have also been lowered. Furthermore, the internal analysis work conducted at the Riksbank has led to a significant lowering of the forecast for inflationary pressures. These three circumstances are the main reasons for the substantial cut in the repo rate and the repo-rate path proposed today”.
“Given the current forecast for CPIF inflation, in which the target of two per cent will be reached in early 2016, we will have undershot the target for roughly five years. [I]t should be remembered that there is no specific time requirement for how quickly inflation should be returned to the target…[A] long period without attaining the target can lead to movements in inflation expectations. As well-anchored inflation expectations are a central element in price and wage formation in the economy, it is therefore justifiable today to support an additional clear easing of monetary policy” (Minutes, p. 3).
63
| 2015/16:RFR7 | 5 THE EVOLUTION OF MONETARY POLICY 2010-2015 |
| Mr Jansson recalled that “at the monetary policy meeting in April he de- | |
| clared that his tolerance of further downward revisions of the inflation outlook | |
| in the near term had reached its lower limit. As the inflation outcomes since | |
| then are once again forcing the Riksbank to revise its inflation forecasts down- | |
| wards he will now consequently vote for a repo-rate cut. The only question is | |
| by how much, 0.25 percentage points or 0.5 percentage points”. | |
| Mr Jansson noted two reasons favouring a smaller cut: 1) a larger cut would | |
| contribute more to a build-up of household debt and 2) the Financial Stability | |
| Council and Finansinspektionen had not yet taken sufficient measures to man- | |
| age the risks associated with household debt. | |
| Mr Jansson then noted four reasons favouring a larger cut: 1) since October | |
| of 2013 seven of the total of eight inflation outcomes had been below the Riks- | |
| bank's forecasts, 2) this related to short-term forecasts, which are normally | |
| fairly accurate, 3) these shortfalls had surprised other forecasters too, and 4) | |
| the fall in inflation was broadly based, which became apparent when one stud- | |
| ied the different components of the CPI. Given this background, Mr Jansson | |
| also noted that the extent of the forecast revision for CPIF inflation in the draft | |
| Monetary Policy Report was not effectively captured simply by comparing the | |
| new and the old inflation forecasts. The new forecast is part of the main sce- | |
| nario that is conditional on a much more expansionary monetary policy | |
| (Minutes, p. 12). | |
| Mr Jansson went on to declare in favour of the larger repo-rate cut, because | |
| he “quite simply believe[d] that a forceful monetary policy intervention is the | |
| right thing to do at this point, where inflation has been far below target level | |
| for a fairly long time and where the status of the inflation target has been ques- | |
| tioned repeatedly and by many people in the monetary policy debate…[and | |
| he] above all emphasized that the consequence must never be that the nominal | |
| anchor is put at risk...[and that] he also holds to his earlier promise not to vote | |
| in favour of an increase in the repo rate until CPIF inflation accelerates and | |
| exceeds 1.5 per cent” (Minutes, p. 13). | |
| Ms Ekholm earlier had explained that the policy easing was now so aggres- | |
| sive because | |
| “monetary policy abroad is expected to be more expansionary than previ- | |
| ously with lower interest rates in the period ahead … This is primarily because | |
| the ECB has clearly stated that it sees a period of more expansionary monetary | |
| policy ahead. If interest rates are lower abroad, then interest rates in Sweden | |
| will also need to be lower to avoid the krona strengthening in a way that makes | |
| inflation move further from the target” (Minutes, p. 5). | |
| The forecast for euro area GDP growth in the main scenario was revised | |
| down again from 1% to 0.7% for 2014 and from 1.7% to 1.2% for 2015 at the | |
| September 2014 Monetary Policy Meeting compared to July. And forecast | |
| euro area inflation was revised down from 0.7% to 0.5% for 2014 and from | |
| 1.4% to 1.2% for 2015. Forecast GDP growth in Sweden was revised down | |
| from 2.2% to 1.7% for 2014 on weaker export prospects. Other forecasts, in | |
| particular, the forecasts for inflation and unemployment were little changed. | |
| 64 |
| 5 THE EVOLUTION OF MONETARY POLICY 2010-2015 | 2015/16:RFR7 |
The Executive Board decided unanimously to keep the repo rate at 0.25% until the end of 2015 and raise it gradually to just above 2% by the end of the three-year forecast horizon. The decision essentially continued the policy stance from July.
The Executive Board's reasoning for the policy decision was largely as it had been in July. Importantly, however, the Board added a blunt warning to the Government and other authorities that
“[a] low repo rate makes it more urgent for other policy areas to manage the risks linked to household indebtedness and to developments on the housing market. The most important effect of the macro-prudential measures taken so far is considered to be that the resilience of the Swedish banking system will be strengthened, while the effect on household indebtedness is considered to be slight…measures need to be taken to influence household demand for credit. The responsibility for this type of measure lies with the Government and other authorities. Examples of measures that should be considered are a more stringent mortgage cap, amortisation requirements, a change in the right to tax deductions for interest expenditure and that sound minimum levels are introduced in the discretionary income calculations included in the banks' credit assessments. Moreover, it is important to introduce reforms, which will lead to the housing market functioning better. The Riksbank will, as before, monitor and analyse risks and resilience in the financial system and ascertain how these affect general economic development and thereby monetary policy” (MPU, p. 10).
Ms Ekholm began the meeting praising the change in the way inflation was forecast in the July Monetary Policy Report.
“In July, the Executive Board decided to attach more weight to models than to judgement-based assessments in the inflation forecast, as it has become apparent that the models provide relatively good forecasts according to forecast evaluations carried out at the Monetary Policy Department. This change may have eliminated the tendency towards systematic overestimations of future inflation that the forecasts have shown for a time…she viewed it as a positive development that the latest forecast errors have entailed an underestimation rather than yet another overestimation” (Minutes, p. 4).
Mr Jansson also commented on inflation developments since the early July policy meeting, pointing out that:
“The outcome for CPIF inflation in July was just over 0.6 per cent. This was almost 0.3 percentage points higher than expected. Inflation was somewhat above the forecast in the Monetary Policy Report already in June, but the outcome for July reinforced this tendency. One should of course not exaggerate the positive in such a short-term development. But after several months of systematic over-predictions of inflation it is naturally something of a relief…all else being equal, these positive inflation surprises mean that it has now become a little more likely that the forecast of a more lasting upturn will de facto happen” (Minutes, p. 8).
65
| 2015/16:RFR7 | 5 THE EVOLUTION OF MONETARY POLICY 2010-2015 |
| In her closing comments at her last Executive Board meeting, Ms Ekholm | |
| emphasized a point she had made at earlier policy meetings with regard to the | |
| inflation forecast in the main scenario: | |
| “…she considered that it could be worth clarifying that the overestimation | |
| of forecast inflation means that the real interest rate appears lower than it will | |
| be in reality. It is the real interest rate that determines how much stimulus | |
| monetary policy brings. If monetary policy decision-makers believe that the | |
| real interest rate will be lower than actually turns out to be the case, they will | |
| hold the nominal policy rate above what is actually required for the intended | |
| stance of monetary policy. For this reason, the inflation forecast is of crucial | |
| importance for interest rate decisions to really bring about the monetary policy | |
| stimulus considered appropriate by decision-makers” (Minutes, p. 18). | |
| The forecast for euro area GDP growth in the main scenario was revised | |
| down again at the October 2014 Monetary Policy Meeting compared to Sep- | |
| tember from 0.7% to 0.6% for 2014, from 1.2% to 0.9% for 2015, and from | |
| 1.9% to 1.7% for 2016. Nevertheless, forecast GDP growth in Sweden was | |
| revised up from 1.7% to 1.9% for 2014 on stronger private consumption which | |
| offset the drag from exports. More importantly, again the CPIF inflation fore- | |
| cast for 2014 was revised down from 0.6% to 0.5% for 2014 and down from | |
| 1.7% to 1.2% for 2015, though inflation was still predicted to average 2% in | |
| 2016 in the main scenario while unemployment, forecast to be 7.9% in 2014 | |
| was predicted to average 6.9% in 2016. | |
| The Executive Board decided unanimously to cut the repo rate by 0.25% to | |
| 0% through the first half of 2016 and then to raise it to 1.7% towards the end | |
| of 2017. Thus, interest rate policy reached the so-called “zero lower bound”. | |
| Expected repo rates in markets again conformed closely to the Riksbank pub- | |
| lished path to mid-2016 and thereafter rose more slowly to only 50 basis points | |
| by late 2017. | |
| The reasoning for the policy action in the Monetary Policy Report essen- | |
| tially carried over from previous meetings. | |
| Mr Jansson's comment on the inflation surprise reflected the feelings of | |
| other Board members. He observed that | |
| “[t]wo new inflation outcomes have been published since the Monetary | |
| Policy Update in September. The latest outcome for September was almost | |
| 0.4 percentage points lower than forecast in the Monetary Policy Update. | |
| [T]his was a real setback given that the outcome for September was supposed | |
| to represent the starting point of a trend towards a higher rate of inflation”. Mr | |
| Jansson went on to point out that “[t]he proposed forecast represents a signif- | |
| icant downward revision of inflationary pressures in the coming years, espe- | |
| cially when one considers that the new inflation assessment is conditional on | |
| a much more expansionary monetary policy. The reasons put forward in the | |
| draft Monetary Policy Report are that inflation has repeatedly been lower than | |
| expected in the recent past, that international price pressures are now expected | |
| to be lower and that it is predicted that the development of oil and fuel prices | |
| will be weaker. Moreover, the draft Monetary Policy Report also proposes a | |
| 66 |
| 5 THE EVOLUTION OF MONETARY POLICY 2010-2015 | 2015/16:RFR7 |
rather substantial downward revision of the growth forecast for the euro area and the weaker economic outlook now applies to the German economy too” (Minutes, p. 14).
Mr Jansson continued:
“[I]t is no exaggeration to say that it has been unusually difficult to make reasonably accurate inflation forecasts recently. Since the outcome for October last year, which can be said to mark the beginning of this period with particularly substantial negative inflation surprises, eight out of twelve monthly outcomes have been below the Riksbank's forecast. The results are no better for other forecasters. For them too, on average eight out of twelve outcomes have been lower than expected. This is particularly disheartening given that we are talking about forecasts for the short run…[and] it is most probably that the trend with unexpectedly low inflationary pressures has not yet come to a halt” (Minutes, p. 14).
Toward the end of the meeting, Mr Jansson asked the question that must have been on the mind of other Board members:
“[T]he question here was why the major stimulus measures in recent years have not had greater effects on economic activity and inflation. Structural problems may of course be an explanation in some countries, but it is more difficult to understand why this has been the case in countries with a monetary policy transmission mechanism that works, a relatively robust financial sector, and stable public finances” (Minutes, p. 17).
Governor Ingves closed the meeting by reflecting on whether it was possible to fine tune monetary policy in a small open economy, particularly one as open as the Swedish economy, with large exports, imports and no limits on capital flows. He thought it probable that inflation would continue to deviate periodically from the target (Minutes, p. 18).
Assessments and forecasts in the main scenario changed relatively little at the December 2014 Monetary Policy Meeting compared with October. A sharp fall in oil prices pulled inflation down. But CPIF inflation in Sweden was still expected to rise from 0.5% in 2014, to 1% in 2015, and to 2% in 2016 as a result of the monetary policy easing that had been put in place.
The Executive Board decided unanimously to extend its 0% repo rate path from the first half to the second half of 2016 and then raise the repo rate only to 1.45% instead of 1.7% towards the end of 2017. The Board justified its policy decision much as at previous meetings emphasizing this time that ”inflation expectations in the longer run have fallen slightly further and are below the inflation target of 2 per cent” (MPU, p. 9).
Governor Ingves noted that “the fall in oil prices is contributing to a slight downward revision of the forecast for inflationary pressures. Inflation expectations in the longer term have also fallen somewhat. This suggests that monetary policy needs to become somewhat more expansionary…” and he went on to say that “[it] is now time to prepare potential non-conventional measures which, if the need arises, could be presented at the next monetary policy meet-
67
| 2015/16:RFR7 | 5 THE EVOLUTION OF MONETARY POLICY 2010-2015 |
| ing. [He added] that among such measures he did not wish to exclude a neg- | |
| ative repo rate or foreign exchange intervention, although the latter would in | |
| no way be his first choice” (Minutes, pp. 6-7). | |
| Mr Jansson spoke at some length about inflation prospects. He began by | |
| noting that “[t]he outcome for CPIF inflation in November was approximately | |
| 0.6 per cent, which was marginally higher than expected”. He continued: | |
| “According to the latest Prospera survey, expectations of inflation five | |
| years ahead fell for all of the groups interviewed in December compared to the | |
| preceding survey in September. [And] the fall was largest in the case of the | |
| employer and employee organizations, where inflation is now expected to be | |
| around 1.7 per cent in five years' time rather than close to 2 per cent as ex- | |
| pected earlier” (Minutes, p. 7). Although Mr Jansson found the falling long- | |
| term inflation expectations worrying, he was optimistic, pointing out that | |
| “[s]ince December 2011, the repo rate has been cut by 200 basis points, | |
| from 2 per cent to zero per cent. At the same time, the date for the first repo- | |
| rate increases has been postponed by approximately four years. Moreover, the | |
| rate at the end of the forecast period has been lowered by approximately 200 | |
| basis points from around 3.5 per cent to 1.45 per cent. It is of course difficult | |
| to say precisely how long it will take for all these easing measures to have their | |
| full effect. But the effects will increase as time passes and the likelihood of | |
| inflation rising will thereby also increase” (Minutes, p. 8). | |
| Mr Jansson mentioned a list of measures that the Riksbank could take to | |
| ease monetary policy further if need be: negative interest rates, purchases of | |
| various securities, targeted loan facilities for companies and loans to banks. | |
| In addition he said “the Riksbank can intervene on the foreign-exchange mar- | |
| kets with the aim of weakening the krona exchange rate. This final measure | |
| is not really on the cards, however, as long as the krona exchange rate is rela- | |
| tively weak and the development of the real economy in Sweden is reasonably | |
| solid” (Minutes, p 9). | |
| Mr Flodén, offered a similar list of options pointing out that “[c]urrency | |
| interventions could probably entail a clear and fairly rapid upturn in inflation”. | |
| But like Mr Jansson, Mr Flodén thought that deliberate exchange rate depre- | |
| ciation was not a viable option “when monetary policy abroad is also limited | |
| by the policy rate's lower bound, [since] the positive effects of currency inter- | |
| ventions on inflation in Sweden would probably fully come from negative ef- | |
| fects on inflation abroad”. Mr Flodén therefore didn't see “currency interven- | |
| tion as appropriate in a situation where other countries are also struggling with | |
| low inflation and have problems in making their monetary policy more expan- | |
| sionary, and where the Swedish krona is also relatively weak” (Minutes, pp. | |
| 16-17). |
68
| 5 THE EVOLUTION OF MONETARY POLICY 2010-2015 | 2015/16:RFR7 |
Phase 6: Going Negative, February 2015-October 2015
Forecasts in the main scenario were relatively unchanged at the February 2015 Monetary Policy Meeting compared to December 2014 with the exception that another collapse in oil prices depressed inflation forecasts somewhat both abroad and in Sweden. The price of a barrel of oil had fallen from 115 dollars in June 2014 to around 60 dollars in February 2015.
The Executive Board decided unanimously to cut the repo rate to negative 10 basis points, to delay lift off until the second half of 2016, and to raise the repo rate only to 1.4% by early 2018. Market expected repo rates followed the Riksbank's negative repo rate path for 2015 and most of 2016 then turned up more slowly to only about 25 basis points.
The Board also announced that it would soon begin purchasing 10 billion SEK of government bonds. Mr Flodén dissented preferring to put the bond buying program on hold until it was really needed.
The Executive Board justified another easing of monetary policy as follows:
“The recent development of inflation has been roughly as expected, but there is a risk that lower oil prices will dampen inflation expectations, and thus inflation, more than is assumed in the forecast. To this can be added the increased uncertainty about developments abroad and on the financial markets. In order to support the upturn in underlying inflation so that CPIF inflation approaches 2 per cent and to ensure that long-term inflation expectations are compatible with the inflation target, a more expansionary monetary policy is needed… The measures that the Riksbank is now taking…underline the Riksbank's determination to safeguard the role of the inflation target as a nominal anchor for price setting and wage formation. In order to ensure that inflation rises toward the target, the Riksbank is prepared, should the need arise, to quickly make monetary policy more expansionary, even between meetings. This will entail further repo rate cuts, postponing the first repo-rate increase and increasing the purchases of government bonds” (MPR, p. 19).
In effect, the extraordinary package of monetary policy actions including bond purchases and especially the negative repo rate, and the promise to do more if needed outside of regular meetings, demonstrated that the Riksbank was fully focussed on the objective of getting inflation back up to 2% in a timely manner.
At the meeting, Mr Jansson noted that the outcome for CPIF inflation in December was 0.5%, the third month in a row that inflation rose faster than forecast. Nevertheless, he thought that a more expansionary monetary policy was needed because of a number of large risks that were difficult to quantify, but which if realized could significantly change the forecast for the worse. These involved i) Greece, ii) Russia and Ukraine, iii) the ECB's decision to make extensive purchases of financial assets, equivalent to almost three times Swedish GDP, and iv) the continued fall in long-term inflation expectations. The latest available survey data showed expectations of inflation five years
69
| 2015/16:RFR7 | 5 THE EVOLUTION OF MONETARY POLICY 2010-2015 |
| ahead among money market participants was now 1.65% compared to 1.73% | |
| in December (Minutes, p. 9-11). | |
| Mr Ohlsson, who joined the Executive Board in January 2015, was con- | |
| cerned about the negative repo rate causing problems with regard to existing | |
| laws, regulations, and contractual conditions. And he worried about the im- | |
| pact on the demand for currency, with its zero nominal return, that negative | |
| interest rates might create. | |
| To underline his absolute commitment to use these extraordinary policies | |
| to return inflation promptly to the 2% target, Governor Ingves made an un- | |
| characteristically long statement of enthusiastic support taking up nearly six | |
| pages in the Minutes (pp. 17-22). | |
| Governor Ingves was concerned in particular about the uncertain impact on | |
| Sweden from policy developments abroad. He observed: “The ECB has de- | |
| cided to conduct substantial asset purchases in order to make monetary policy | |
| more expansionary and to ensure that inflation rises…The Swiss central bank | |
| has abandoned its exchange-rate floor in relation to the euro and has cut its | |
| policy rate to -0.75 per cent. In Denmark, the central bank has intervened on | |
| the foreign exchange market and lowered the policy rate to -0.75 per cent to | |
| defend the fixed exchange rate in relation to the euro…[A]ll this means that it | |
| is extremely difficult to make mean value forecasts for the real economy and | |
| inflation, in both Sweden and abroad. It is particularly difficult to predict the | |
| development of exchange rates” (Minutes, page 18). Returning to this theme | |
| later, Governor Ingves observed: “Given the monetary policy conducted | |
| abroad, there is a risk that the krona will be stronger than in the draft Monetary | |
| Policy Report… The situation in Europe is uncertain. It is therefore important | |
| that the krona does not begin to strengthen too quickly…” (Minutes, page 20). | |
| He concluded that “measures now being proposed, which can be scaled up if | |
| necessary, can together be seen as a kind of insurance against … the back- | |
| ground of uncertain and diverging developments abroad that we have no con- | |
| trol over”. He added, “These actions will demonstrate our determination to | |
| safeguard the inflation target and the fact that we are ready to take further | |
| measures. We are essentially prepared to do all we can to uphold the inflation | |
| target as an anchor for price setting and wage formation in Sweden. This | |
| means that we must also be prepared to use our balance sheet to attain our | |
| target” (Minutes, page 21). | |
| On 18 March 2015 the Executive Board took an extraordinary repo rate | |
| policy action – the only one taken outside of regularly scheduled Monetary | |
| Policy Meetings during the period of our Review – the Executive Board de- | |
| cided to cut the repo rate from -0.10% to -0.25%, and to keep it there until the | |
| second half of 2016 and increase it more slowly than in February. | |
| The Executive Board also decided to buy government bonds for the sum of | |
| SEK 30 billion with maturities up to 25 years. | |
| The reasoning underlying the policy action taken on March 18 was as fol- | |
| lows. |
70
| 5 THE EVOLUTION OF MONETARY POLICY 2010-2015 | 2015/16:RFR7 |
At the end of February and the beginning of March, the foreign exchange markets fluctuated substantially and in the space of a few weeks there was a rapid appreciation of the krona mainly against the euro [linked to the ECB beginning its large scale asset purchases]. A continued rapid appreciation of the krona rate was expected to constitute a tangible risk to the inflation forecast that formed a base for the monetary policy decision in February (See the April MPR, pp. 6-7; Riksbank Press Release 18 March 2015, No. 6, p.1).
Forecasts in the main scenario for growth abroad and in Sweden were revised up slightly at the April 2015 Monetary Policy Meeting compared to February. Most importantly, CPIF inflation was revised up for 2015 from 0.9% to 1.1% and for 2016 from 2% to 2.3%; and CPIF inflation was forecast to be 2.2% in 2017.
The Executive Board unanimously decided to maintain the repo rate and repo rate path and to increase the repo rate to 0.8% by the second half of 2018. The Board decided to extend the purchases of government bonds with a further SEK 40-50 billion.
The April monetary policy decision was justified by adding:
“In an environment where monetary policy abroad is out of step, it is difficult to assess exchange rate developments. If the krona were to appreciate rapidly, there is a risk that it would stop the upturn in inflation” (April MPR, p. 7).
The discussion at the April meeting considered how much progress was being made against low inflation by the recent policy actions. Mr Flodén reminded the Board that “the Riksbank has long had a forecast in which it is assumed that the repo rate will be raised much faster than policy rates abroad at the end of the forecast period. In February, market forward pricing indicated that the repo rate would be around 0.2 percentage points lower than … policy rates abroad at the beginning of 2018 while the Riksbank's forecast entailed the repo rate being 0.7 percentage points higher than policy rates abroad at that time. Now that the repo-rate path has been revised down, almost the entire difference disappears. Both market forward pricing and the Riksbank's forecasts indicate that the repo rate will be marginally lower than policy rates abroad at the beginning of 2018. It now becomes clearer that monetary policy in Sweden must adapt to the expansionary monetary policy with low interest rates abroad, not just in the short run, but also in the longer term” (Minutes, p. 6).
Mr Flodén also expressed optimism about the effectiveness of monetary policy pointing out that:
“One indication that monetary policy is effective is that inflation has stopped falling and that various measures of underlying inflation have begun to rise. This is despite the continued downward pressure from abroad on inflation. A further indication that monetary policy is working is…that the reporate cuts [to negative] have had the expected impact on market rates. Above all, banks' lending rates have fallen roughly as they usually do when the repo rate is cut” (Minutes, pp. 6-7).
71
| 2015/16:RFR7 | 5 THE EVOLUTION OF MONETARY POLICY 2010-2015 |
| Mr Flodén also made known that even though he dissented against bond | |
| purchases in February, he supported bond purchases in March and April. | |
| Mr Jansson also expressed optimism noting that the three new monthly in- | |
| flation outcomes since February had in general been higher than the Riks- | |
| bank's forecast. He went on to describe promising survey evidence on infla- | |
| tion expectations. He reported that expectations of inflation five years ahead | |
| among participants in money markets were 1.65% in January, 1.72% in Feb- | |
| ruary, and about 1.86% in March and April (Minutes, p. 9). | |
| Governor Ingves pointed to the fact that the Swedish State actually gets | |
| paid for borrowing at maturities of just over five years as evidence of the ex- | |
| ceptionally expansionary stance of monetary policy (Minutes, p. 17). | |
| At the July 2015 Monetary Policy Meeting, GDP growth abroad largely | |
| developed as had been expected in April. The forecast of inflation abroad in | |
| 2015, dragged down by sharply lower oil prices earlier in the year, was also | |
| little changed from April at 0.3% in the euro area, and 0.2% in the United | |
| States. Swedish GDP growth in 2015 was revised down from 3.2% to 2.9% | |
| but was forecast to average around 3% in 2016 and 2017, slightly above its | |
| recent historical trend, with productivity expected to grow by around 1.6% in | |
| 2017, and unemployment expected to average 7.7% in 2015 and 7% in 2017. | |
| Although also dragged down by sharply lower oil prices, CPIF inflation in | |
| 2015 was forecast to be 1.1%, little changed from April and significantly | |
| higher than in the euro area or the United States. CPIF inflation was forecast | |
| to average 2.1% in 2016 and 2017. | |
| The Executive Board decided to cut the repo rate by 0.1 percentage points | |
| to -0.35% until the end of 2016 and then raise the repo rate to 0.8% by Q3 | |
| 2018. Market expected repo rates conformed closely to the Riksbank's pub- | |
| lished path until the end of 2016, and then turned up more slowly to only about | |
| 25 basis points in mid-2018. | |
| The Executive Board also decided to extend the purchase of government | |
| bonds by SEK 45 billion until the end of the year. The purchases decided upon | |
| in April were expected to be concluded in September, by which point the new | |
| purchases would be initiated. By the end of the year, the Riksbank was ex- | |
| pected to have carried out purchases of government bonds to a total value of | |
| SEK 135 billion. This corresponds to around 20 per cent of the outstanding | |
| stock of nominal government bonds and around 4 per cent of GDP. If the ECB | |
| continued to buy government bonds at the same pace, their purchases at the | |
| end of the year would correspond to around 7 per cent of the stock and 4 per | |
| cent of GDP. | |
| The Executive Board emphasised that it was prepared to lower the repo rate | |
| further and extend its bond purchases if inflation fell short of expectations. | |
| And among other options, the Board said it was prepared to intervene on the | |
| foreign exchange market if the upturn in inflation was threatened as the result | |
| of, for instance, a very problematic development of markets (MPR, pp. 8-9). | |
| The Executive Board justified the additional easing of policy as follows: |
72
| 5 THE EVOLUTION OF MONETARY POLICY 2010-2015 | 2015/16:RFR7 |
“There is still considerable uncertainty, even though developments are heading in the right direction. Economic activity is strengthening in the euro area, but several countries are still being held back by high indebtedness and as-yet unresolved structural problems. The recovery could weaken again if confidence among households and companies were to fall for some reason. In this sensitive situation, the course of events in Greece constitutes a tangible risk. If the situation deteriorates, unease may spread to other countries in the monetary union. Since the monetary policy meeting in April, the foreign exchange and fixed-rate markets have been characterised by continued high volatility. For example, interest rates and exchange rates are being influenced by the ECB's ongoing asset purchases and by uncertainty over the timing and pace of the approaching interest rate increases in the United States. The Swedish krona has appreciated against several currencies and the trade-weighted exchange rate is therefore stronger than in the forecast from April. Uncertainty and the relatively large fluctuations on the foreign exchange market are making it difficult to assess how the exchange rate will continue to develop. If the exchange rate were to become too strong in relation to the Riksbank's forecast, this would mean slower increase in prices of imported goods and lower demand in the Swedish economy” (MPR, pp. 7-8).
Mr Ohlsson dissented against cutting the repo rate; he thought it sufficient to extend and prolong the purchases of government bonds in the current economic situation.
At the policy meeting members considered evidence of the effectiveness of monetary policy in raising inflation, the risks to the forecast in the main scenario, and the feasibility and desirability of the various policy options available to ease monetary policy further if need be.
Three key concerns, in particular, were discussed at the policy meeting as determining whether monetary policy would soon return inflation to 2% and preserve the credibility of the inflation target. These concerns are summarized below.
First, after having been reasonably well-anchored throughout the period of inflation targeting, and above 2% since 2010, expectations of inflation fiveyears ahead in the Prospera survey had fallen below 2% since mid-2013 (MPR, p. 31). Mr Jansson cited the two new surveys of inflation expectations since April. He noted that five-year expectations of both employer and employee organizations had increased, from 1.76 to 1.89 per cent and from 1.72 to 1.81 per cent, respectively. For all groups in the June quarterly survey, five-year expectations rose from 1.73 to 1.78 per cent. But five-year expectations of money market participants remained stable at 1.85 per cent (Minutes, p. 13).
Second, the Monetary Policy Report pointed to the depreciation of the krona since the start of 2014 as an important factor contributing to the recent upturn in inflation. According to the trade-weighted (KIX) nominal exchange rate, the krona depreciated by a little more than 10 per cent since the start of 2014 to early 2015 as the repo rate was cut from 1% in December 2013 to below zero. But since early 2015 the KIX had given back around 3 per cent
73
| 2015/16:RFR7 | 5 THE EVOLUTION OF MONETARY POLICY 2010-2015 |
| of that depreciation (MPR, Figure 4:6, p. 26; see also Figure 5). With regard | |
| to the risk to the main scenario of an appreciating exchange rate, Mr Jansson | |
| noted that “[f]or a small, open economy like Sweden's the exchange rate chan- | |
| nel is always of major importance. Furthermore, in a situation where domestic | |
| and real economic conditions have not impacted inflation as expected, the ex- | |
| change rate channel is even more significant. Bearing this in mind, [he said it | |
| was important] that the krona exchange rate does not appreciate further in the | |
| months ahead but instead weakens somewhat from its current level, as is also | |
| predicted in the draft monetary policy report” (Minutes, p. 14). | |
| Third, the Monetary Policy Report noted that “collective agreements for | |
| almost 3 million employees expire in 2016, as early as the end of March 2016 | |
| for more than half of these including sectors such as manufacturing, construc- | |
| tion, and retail trade. Towards the end of 2015, negotiations between trade | |
| unions and employer organisations will begin within major parts of the indus- | |
| trial sector. Since the Industrial Agreement was first signed in 1997, wage | |
| formation in Sweden has been marked by a high degree of compliance between | |
| different contractual areas. The industrial sector has set the norm for the level | |
| of percentage wage increases in the collective agreements, and other contrac- | |
| tual areas have normally signed agreements with basically the same percent- | |
| age wage increases” (MPR, p. 31). | |
| Mr Jansson observed that judging by various statements put out by em- | |
| ployee organisations, there was now a risk of the inflation target not forming | |
| the basis of next year's wage negotiations, and that that would make it much | |
| more difficult to keep inflation on an upward curve. He blamed the problem, | |
| in part, on the fact that many continue to focus blindly on the current CPI | |
| inflation rate, which is forecast for 2015 to be an exceptionally low 0.2% | |
| largely because it takes account of the Riksbank's own repo rate cuts. He | |
| pointed out that CPIF inflation (which excludes the repo rate effect from CPI) | |
| is forecast to be about 1% in 2015, and that CPIF inflation excluding energy | |
| prices is forecast to be 1.5%, and that both are better measures of inflation in | |
| this context than CPI inflation (Minutes, p. 15). | |
| On the whole, the main scenario at the September 2015 Monetary Policy | |
| Meeting showed much the same forecast profile for growth abroad and in | |
| Sweden as in July, though great uncertainty still prevailed concerning devel- | |
| opments abroad, especially with regard to China. CPIF inflation in 2015 was | |
| revised down to 0.9% from 1.1% in July, but still was expected to reach 2% in | |
| 2016; and CPIF inflation excluding energy was forecast exactly as in July to | |
| be 1.4% in 2015 also rising to 2% in 2016. | |
| The Executive Board unanimously decided to hold the repo rate unchanged | |
| at -0.35%, to follow through on purchases of government bonds until the end | |
| of the year as decided in July, and not to start slowly raising the repo rate until | |
| the second half of 2016. | |
| The Executive Board justified continuing its highly expansionary monetary | |
| policy much as in July. |
74
| 5 THE EVOLUTION OF MONETARY POLICY 2010-2015 | 2015/16:RFR7 |
Ms Skingsley, who had joined the Board in May 2013, began the meeting by pointing out that “the underlying inflation rate measured as the CPIF excluding energy ha[d] risen from about 0.5 per cent in the spring of 2014 to 1.5 per cent in the latest outcome from July” (Minutes, p. 3).
Mr Jansson supported maintaining the monetary policy stance decided in July with the fact that the inflation outlook had improved. In particular, he announced that “recent outcomes for longer-term inflation expectations confirm that the downward trend in confidence that the Riksbank will meet its inflation target has been broken. After having shown a low-frequency downward trend for several years, longer-term inflation expectations turned upwards or stabilised over the spring and summer. Expectations are still a few tenths of a percentage point below 2 per cent but the important point is that the downward trend has now been stopped” (Minutes, p. 9). He credited the Riksbank’s highly expansionary policy as having a beneficial effect on the krona saying “the krona exchange rate has weakened since last year, which has contributed towards higher prices for imported goods and services. This provides an important explanation for the recent rise in inflation…” And he also mentioned that “[i]n recent years, unit labour costs--which are usually a good indicator of underlying inflationary pressures--have increased more or less at a historically normal rate” (Minutes, p. 10).
However, Mr Jansson also acknowledged that there were good reasons for making monetary policy more expansionary than in July. These were linked to international developments and risks, associated with the collapse of oil and commodity prices, which could further push down both actual and expected inflation. In particular, he worried that “the Chinese economy [is] slowing down and successively being readjusted away from the commodity-heavy industrial sector. This is one explanation for the fall in value of currencies in many emerging market and developing economies that are dependent on commodity exports to China. This development may also be significant for the Federal Reserve and the ECB. It cannot be ruled out that the Federal Reserve will react by postponing its policy-rate increases slightly and that the ECB will communicate an intention to further increase its purchase of securities. As current interest rates and exchange rates are determined by expectations of the future, this could rapidly lead to tighter monetary conditions in the Swedish economy” (Minutes, pp. 10-11).
Toward the end of the meeting, Mr Flodén chose to respond as he put it to an increasing number of commentators suggesting that the Riksbank should be satisfied with the current development, i.e., low inflation and reasonably good growth, and either reduce the inflation target or be more tolerant of an inflation rate that is lower than the target for a prolonged period. With the lower inflation target, he continued, it is argued that the Riksbank could immediately raise the repo rate back into positive territory and hence ensure that households and pension fund managers receive sufficient return on their investments, instead of enticing them to make riskier investments by having negative interest rates.
75
| 2015/16:RFR7 | 5 THE EVOLUTION OF MONETARY POLICY 2010-2015 |
| Mr Flodén continued: | |
| “The current development, with low inflation and reasonably healthy | |
| growth, is of course not independent of the monetary policy pursued by the | |
| Riksbank. With tighter monetary policy, inflation would be even lower and | |
| growth weaker. And if we also reduced the inflation target, either permanently | |
| or temporarily, inflation expectations would probably decrease. This would | |
| contribute to even lower inflation and could also lead to further falls in already | |
| low nominal long-term rates” (Minutes, p. 17). | |
| Later, Mr Flodén continued “It is also important to note that the negative | |
| interest rate and asset purchases thus far seem not to have given rise to any | |
| clear disruptions on markets…Households can read about negative rates in the | |
| newspaper but have, as before, zero interest on their bank accounts and posi- | |
| tive interest on their mortgages…For example, the demand for cash has not | |
| increased. And, according to the Riksbank’s assessment, the rather extensive | |
| purchases of government bonds have not led to poorer liquidity on the market. | |
| There are participants who are being negatively affected by low interest rates, | |
| for example pension fund managers who have pledged a certain minimum | |
| nominal return. But their main problem is the fact that long-term interest rates | |
| are low, something which can be explained by low expectations of future in- | |
| flation and growth. The aim of the pursued monetary policy is, of course, to | |
| push up inflation and inflation expectations, as well as to contribute to healthy | |
| growth, which will also lead to higher long-term rates. A lower inflation target | |
| or tighter monetary policy would in no way benefit these participants”. He | |
| added that the problem “with the low repo rate is the continuing rise in house- | |
| hold indebtedness and the fact that this may be happening with unreasonable | |
| expectations of future interest rate levels. Bearing in mind what Mr Ingves | |
| and Ms af Jochnick had just said, as well as a great many previous statements | |
| from the Riksbank, [he] emphasised that this is a problem that can and should | |
| be dealt with by the Government, the Riksdag and other authorities using | |
| macroprudential tools” (Minutes, pp. 17-18). | |
| Most notably, the main scenario at the October 2015 Monetary Policy | |
| Meeting showed 2016 US GDP growth slowing to 2.7% from 3% forecast in | |
| September, and US growth falling to 2.5% from 2.8% in 2017. CPIF inflation | |
| in Sweden was now expected to reach only 1.8% in 2016 instead of 2% fore- | |
| cast in September, and 2.1% in 2017 instead of 2.2%. CPIF inflation excluding | |
| energy in 2016 was also only forecast to reach 1.8% instead of the 2% forecast | |
| in September and to reach only 2% in 2017 instead of 2.1%. | |
| The Executive Board decided unanimously to extend the government bond | |
| purchasing program by an additional SEK 65 billion so that purchases will | |
| amount to SEK 200 billion by the end of June 2016. The repo rate was left | |
| unchanged at -0.35 per cent but an initial rise in the rate would be deferred by | |
| approximately six months to the first half of 2017. | |
| As it had done repeatedly since the February 2015 Monetary Policy Meet- | |
| ing, the Executive Board emphasized its readiness to do more expansionary | |
| monetary policy if need be. The October 2015 MPR reiterated that the Board | |
| 76 |
| 5 THE EVOLUTION OF MONETARY POLICY 2010-2015 | 2015/16:RFR7 |
was prepared “to quickly make monetary policy even more expansionary if inflation prospects should deteriorate, even between the ordinary monetary policy meetings. The repo rate can be cut further, which is reflected in the repo rate path, and the Riksbank can purchase more securities. The Riksbank also stands ready to intervene on the foreign exchange market if the upturn in inflation were to be threatened, for example, by a problematic development in the markets. In addition, there is scope to launch a lending programme to companies via the banks should this be necessary. The measures taken already and the readiness to do more underline the Riksbank’s aim to safeguard the role of the inflation target as a nominal anchor for price setting and wage formation” (MPR, p. 9).
The Riksbank again warned in the October MPR (pp. 12-13) that the risks associated with household indebtedness, especially in combination with the low level of interest rates, must be managed by the Government, the Riksdag, and Finansinspektionen, echoing reasoning and recommendations spelled out in detail in the Riksbank’s latest 2015:1 Financial Stability Report.
The Executive Board explained the further easing of monetary policy as follows:
“Financial markets interpreted the ECB’s most recent communication as a signal that the current asset purchasing program may be extended and continue past September 2016. In addition, the expectations of a first rate increase by the Federal Reserve have been put on hold. International interest rates are therefore expected to remain very low in the period ahead and Swedish monetary policy needs to take this into consideration. If this does not happen, the krona exchange rate risks appreciating earlier and at a faster rate than forecast. This would then lead to the prices of imported goods and services increasing more slowly and demand for Swedish exports would fall. Such a development would make it more difficult for the Riksbank to push up inflation and stabilise it around the target…Since the upturn in prices of more domestically produced goods and services is still relatively cautious, it is the Riksbank’s assessment that slightly stronger demand will be needed before inflation stabilises around 2 per cent” (MPR, pp. 8-9).
“In the short term, market expectations according to forward pricing are basically in line with the interest rate path and continue to indicate some likelihood of a lower repo rate (see Figure 2:1). In the longer term, the Riksbank’s new repo rate path will be lower than interest rate expectations according to forward pricing. According to the Riksbank’s forecast, an initial rise will take place in the first half of 2017, while forward pricing indicates an interest rate rise towards the end of 2016” (MPR, p. 15).
Mr Flodén reminded the meeting “of an important starting-point for today’s monetary policy decision, namely that inflation had been low for a long time. Over the last five years, CPI inflation has on average been 0.8 per cent, 1.0 per cent excluding the effects of lower mortgage rates and 1.0 per cent excluding mortgage rates and energy prices…One risk is that economic agents have assumed an inflation rate of two per cent when setting prices, concluding wage
77
| 2015/16:RFR7 | 5 THE EVOLUTION OF MONETARY POLICY 2010-2015 |
| agreements or taking out fixed-interest loans…A second related risk is | |
| that…pension funds and insurance companies, who guarantee a certain aver- | |
| age nominal return, or banks and other companies, whose owners expect a | |
| certain nominal return on equity…[will find it harder] to generate a high nom- | |
| inal return without taking on more risk...if the fall in inflation expectations | |
| pushes down long-term rates…A third risk is that persistent low inflation un- | |
| dermines the credibility of the inflation target...” (Minutes, pp. 3-4). | |
| Mr Jansson noted “that the trend increase in inflation that had been under- | |
| way since the start of 2014 had continued…We could then feel pleased that | |
| inflation in July, measured in terms of the CPIF and CPIF excluding energy | |
| prices, amounted to 0.94 and 1.54 per cent respectively. The most recent in- | |
| flation outcome for September shows that this development is continuing. For | |
| CPIF inflation, the outcome was 1.00 per cent. Excluding the volatile energy | |
| prices, the outcome was 1.81 percent. We have to go back to June 2010 to | |
| find such a high inflation figure…Jansson continued by pointing out that the | |
| Riksbank’s short-term inflation forecasts have demonstrated a high level of | |
| accuracy in recent months and have been better than the market’s forecasts. | |
| This is particularly noteworthy, he thinks, because the market constantly up- | |
| dates its short-term inflation forecasts, giving them a heavy informational ad- | |
| vantage over the Riksbank’s assessments…The development of inflation ex- | |
| pectations is also emphasising that monetary policy is having an effect, Mr | |
| Jansson pointed out. Expectations of inflation one and two years ahead have | |
| successively increased over the year for most groups included in the surveys. | |
| As regards more long-term inflation expectations, there is now a stronger im- | |
| pression that the downward trend has been stopped” (Minutes, pp. 9-10). | |
| Nevertheless, “one important purpose, according to Mr Jansson, for making | |
| monetary policy more expansionary at present is to counter an excessively | |
| rapid appreciation of the krona and to clearly demonstrate that the Riksbank | |
| has not thrown in the towel by any means as regards defending the inflation | |
| target, as some have speculated” (Minutes, pp. 11-12). | |
| Later in the meeting, Mr Jansson pointed out that “as the Riksbank increas- | |
| ingly lowers the repo rate and extends its purchases of government bonds even | |
| further, the likelihood that it will also become necessary to intervene on the | |
| foreign exchange market will obviously increase if there continues to be a need | |
| to make monetary policy more expansionary…[But] if anything, a decision by | |
| the Riksbank to intervene on the foreign exchange market is now considered | |
| to be less likely than earlier in the year. … [o]ne further possibility is, of | |
| course, that the market is not really taking the Riksbank seriously, but believes | |
| that we would rather give up the defence of the inflation target than resort to | |
| interventions on the foreign exchange market…If the latter is the case, we ob- | |
| viously have some lessons to learn as regards communication—because the | |
| point of writing in the Monetary Policy Report, for the fifth time in a row, that | |
| we are prepared to intervene on the foreign exchange market can hardly be | |
| that foreign exchange interventions should not be taken seriously as a conceiv- | |
| able monetary policy measure” (Minutes, pp. 19-20). | |
| 78 |
| 5 THE EVOLUTION OF MONETARY POLICY 2010-2015 | 2015/16:RFR7 |
Nevertheless, it is understandable that Riksbank foreign exchange interventions may lack credibility in the market in light of the discussion at the monetary policy meeting in December 2014. Mr Jansson and Mr Flodén both agreed then that foreign exchange intervention would be an effective means of returning inflation to the 2% target, but they were reluctant to use it.
Several members of the Executive Board again emphasized the urgent need for Sweden to adopt a variety of measures to manage problems in the Swedish housing market and to prevent further increases in household debt.
79
2015/16:RFR7
6 Analysis of the Riksbank's Forecasting
Performance
As we described in Chapter 5, members of the Executive Board placed considerable weight on the forecasts provided to them by the Riksbank staff. Sweden is a small, open economy so forecasts of the Swedish economy depend importantly on expectations of international economic activity and inflation, and also on policy rates abroad, particularly in Europe and the United States. Many of the discussions on the Board concerned the international forecast and assumptions made about overseas interest rates. In this chapter we focus on the international forecast before turning to the overall performance of the Riksbank in forecasting inflation and economic activity in Sweden.
In preparation for every monetary policy meeting, the Riksbank employs a macroeconomic model of the Swedish economy to make an assessment of the repo rate path needed for monetary policy to deliver forecasts for inflation, production, and employment that are judged to be “well-balanced”. As a rule, the Riksbank has tended to adjust the repo rate and the repo rate path so that inflation is forecast to be fairly close to the 2% target in two years’ time.
Given their central importance for the conduct of monetary policy, we review below the Riksbank’s international forecasts and its inflation forecasts both against actual outcomes and by comparing the Riksbank’s forecast errors to those of other forecasters. We also report on the Riksbank’s forecasts for GDP and unemployment. And we conclude with some observations on the Riksbank’s forecasting performance based in part on our narrative of the evolution of monetary policy during 2010-2015.
6.1 The Riksbank’s International Forecasts
A recent study by Aranki and Reslow evaluates the Riksbank’s forecasts for GDP growth, inflation, and policy rates abroad.7 The analysis employed tradeweights to take account of the relative importance of various countries for the Swedish economy. Until the end of 2012, the Riksbank employed “the total competitiveness weights” (TCW) produced by the IMF. Towards the end of 2012, the Riksbank switched to using the KIX (“krona index”) designed by the National Institute of Economic Research with weights that take better account of the importance of emerging market economies.
Figure 10 shows the weighted Riksbank forecasts of foreign GDP growth, inflation, and policy rates from 2005-2015. Most striking is the Riksbank’s consistent overestimation of the future path of policy rates abroad from 2009. With regard to GDP growth abroad, the Riksbank’s forecasts were not all onesided, but the Riksbank tended to overestimate GDP growth abroad more often than not. The Riksbank underestimated the collapse of global GDP growth in 2008-09 and then underestimated the strong international recovery in 2010,
80
| 6 ANALYSIS OF THE RIKSBANK'S FORECASTING PERFORMANCE | 2015/16:RFR7 |
but it missed the protracted slowdown in global GDP growth in 2011 and 2012, led in large part by the weak performance of the euro area. The Riksbank’s weighted international inflation forecasts were no better. The Riksbank first underestimated global inflation during the boom in 2007-08 and underestimated the sharp global disinflation during the collapse in 2009. Riksbank forecasts of global inflation then fell short consistently from 2010 until late 2012; and then the Riksbank failed to foresee the 2 percentage point decline in inflation abroad from early 2013 to 2015.
This was a highly volatile period for the global economy, with the severe financial crisis and collapse of 2007-09, the strong global recovery, then the surprisingly disinflationary sluggishness, and the long period during which policy rates in the developed world remained at the zero lower bound. Generally speaking, the Riksbank was not alone in the forecast mistakes it made about the global economy. Few other analysts forecast KIX-weighted global variables. However, a great many analysts publish forecasts for the euro area and the United States. Aranki and Reslow compute a KIX-2 index, consisting of just the euro area and the United States to compare this index of “international” GDP growth and inflation forecasts of the Riksbank with those of other forecasters. They report that the euro area’s weight is about 49 per cent of the original KIX index and the US weight about 9 percent; so the KIX-2 index captures 60 per cent of the broader KIX index that the Riksbank usually uses to forecast international developments.
Figure 11 compares the accuracy and bias in forecasts of GDP growth and inflation for the KIX-2 weighted “international” index by the Riksbank to comparable forecasts of 12 and 8 forecasting institutions, respectively, including the International Monetary Fund (IMF) and the Organization for Economic Cooperation and Development (OECD).8 As Aranki and Reslow explain, the mean error in the figure, or bias as it is known, describes the systematic overestimation or underestimation of a forecast, if any. This is computed as the mean value of the outcomes minus the forecasts during the whole evaluation period. For instance, a negative mean error indicates that the forecasts have on average overestimated the outcomes and a positive mean error indicates forecasts have underestimated outcomes. But the mean error can be a poor measure of accuracy because large positive and negative forecast errors can offset each other on average over the evaluation period. The mean absolute forecast error reported in the figure, computed as the average of the absolute value of the forecast errors, measures the accuracy of the forecasts. The dashed line in the chart, the variable’s own standard deviation over the evaluation period, is a kind of benchmark against which to judge forecast accuracy. It shows the accuracy of simply using the mean to forecast the variable over the whole evaluation period. Figure 11 shows relatively small differences in accuracy among the different institutional forecasters. The Riksbank’s accuracy, for both GDP and inflation, is close to the average for all forecasters. The IMF and the OECD are also close the average and have about as good
81
| 2015/16:RFR7 | 6 ANALYSIS OF THE RIKSBANK'S FORECASTING PERFORMANCE |
| accuracy as the Riksbank; although judged against the benchmark no fore- | |
| caster does particular well. | |
| The tendency for the Riksbank to over-predict GDP growth is reflected in | |
| the negative mean forecast error in the figure. But every other institution also | |
| over-predicted GDP growth on average during the period, some more so and | |
| some less so than the Riksbank. With regard to inflation, the Riksbank’s mean | |
| forecast error is small, and no clear bias is evident among the various institu- | |
| tions in predicting inflation. Forecast accuracy for inflation is about the same | |
| for all the forecasters in the chart, though again judged against the benchmark, | |
| the inflation forecasts are not particularly good. On balance, the Riksbank’s | |
| ability to make forecasts of the international economy is close to average for | |
| both GDP growth and inflation. |
6.2 Riksbank Forecasts of Inflation, GDP Growth, and Unemployment in Sweden
The Riksbank's deliberations on inflation focus primarily on the CPIF consumer price index with a fixed mortgage rate. Figure 12 shows CPIF inflation together with two other often discussed measures of inflation – overall CPI inflation and CPIF inflation excluding energy. The volatility of CPI inflation is due to its sensitivity to interest rates and the Riksbank's repo-rate policy, which is why the Riksbank prefers to monitor inflation via the CPIF index. As can be seen from the figure, the CPIF inflation rate and the CPIF inflation rate excluding energy track each other reasonably well over time. The figure shows that inflation as measured by the CPIF consumer price index was close to the 2 per cent inflation target in 2010. Inflation then fell below the target in 2011, dropped to 1 per cent in 2012 and 2013, and fell to around 0.5% in 2014. Figure 13 from an article by Mårten Löf shows CPIF inflation together with various short-term inflation forecasts one to three months ahead – the Riksbank’s inflation forecasts, the mean of the projections of other forecasters, and the difference between the lowest and highest projections of other forecasters.9 Few inflation outcomes ended up outside of the shaded area in 2011 and 2012. But in 2013 and 2014, CPIF inflation came in below the Riksbank’s forecasts and those of everyone else on four occasions – April 2013, October 2013, March 2014, and September 2014. Not only did inflation become more difficult to predict, but it was also apt to be over-predicted, too, and not only by the Riksbank.
Table 3 compares short-term Riksbank CPIF forecasts for horizons of one to three months to projections of 16 other forecasters from January 2013 to March 2015, the period that includes the surprisingly sharp drop in inflation. As pointed out by Löf, of those institutions that issued forecasts for most months in the evaluation period, the major Swedish banks fared the best. They had a lower root mean squared error (RMSE) than the Riksbank, and the Riksbank’s CPIF forecasts were biased upward.10 That said, the Riksbank was at
82
| 6 ANALYSIS OF THE RIKSBANK'S FORECASTING PERFORMANCE | 2015/16:RFR7 |
a disadvantage because it did not release a new inflation forecast every month and so had a longer forecast horizon than others in many cases.
Longer-term forecasts for inflation are assessed in the annual Account of Monetary Policy produced by the Riksbank. Figure 14 follows Riksbank forecasts for CPIF inflation in 2012 from January 2011 to the end of 2012 and shows comparable forecasts by other institutions over the same period. The Riksbank’s forecasts lie in the middle of the range of all forecasts as they advance from early 2011 to late 2012, and as they fall from the 1.75 per cent range to 1 percent.
Likewise, Figure 15 follows Riksbank forecasts and those of other forecasters for CPIF inflation in 2014, from January 2013 to the end of 2014. Again, the Riksbank’s forecasts lie in line with the forecasts of others as all the forecasts are gradually revised downward from around 1.4 per cent in early 2013 to 0.5 per cent in 2014.
On the whole, we see that these longer-term Riksbank forecast revisions were in line with those of other analysts as inflation unexpectedly drifted downwards. Most forecasts were close to one another and revised in a similar manner. There is some spread, especially early on, but none of the forecasters appears to foresee the outcome better than the others.
Turning again to the Account of Monetary Policy 2014, we compare the bias and accuracy of Riksbank forecasts to those of other institutions---for CPIF inflation, GDP growth, and unemployment in Figures 16 through 18. All forecasters systematically overestimated CPIF inflation, GDP growth, and unemployment during the period 2007-2014. The Riksbank was among the least biased forecasters of unemployment, it had a slightly worse bias than average forecasting GDP growth, and surprisingly it was among the most biased forecasters of CPIF inflation.
The accuracy for each forecaster in these figures is reported as a deviation from the mean value calculated for all the forecasters. So a negative value for an institution indicates that its forecast is better than the average forecaster and a positive value indicates that it is worse. For the most part, difference in forecast accuracy is relatively small among the institutions. That said, the Riksbank had the most accurate forecast of GDP growth, nearly the most accurate forecast of CPIF inflation, and was a slightly above average forecaster of unemployment. All in all, the Riksbank can be said to have made good forecasts, relative to other forecasters, of GDP growth, unemployment, and CPIF inflation in Sweden.
6.3 Concluding Observations on the Riksbank’s Forecasting Performance
It is not sensible to blame the central bank for unforeseeable changes of circumstances; but the central bank has some responsibility for making judgements about likely developments both at home and abroad. The two areas where forecasts went wrong seem to be: (1) being far too optimistic about the
83
| 2015/16:RFR7 | 6 ANALYSIS OF THE RIKSBANK'S FORECASTING PERFORMANCE |
| euro area from the spring of 2010 onwards when it became clear that there | |
| were serious problems with the monetary union; (2) using a far from obvious | |
| assumption about interest rates overseas, which was markedly out of line with | |
| implied market rates, and which had significant implications for the forecast | |
| judgements about the exchange rate of the krona which led to an over estimate | |
| of the likely inflation rate. These two issues were raised repeatedly at the | |
| monetary policy meetings, mainly as objections to the majority’s policy posi- | |
| tion, but with little evident debate. Was there adequate discussion of these two | |
| issues by the Executive Board at earlier pre-meetings in the policy-making | |
| process? From the available documents it is hard to tell. In any case, one of | |
| the problems with the present forecast process is that those two issues should | |
| have received much greater prominence in the Minutes of the relevant policy | |
| meeting because they were absolutely central to the forecast and policy deci- | |
| sion. | |
| What we saw instead in the Minutes was an extensive discussion of models | |
| in producing the forecast – they seemed to set the agenda rather than a discus- | |
| sion of the big issues, such as the slowdown in Europe, facing the Board. The | |
| models used by the Riksbank have the property that inflation always tends to | |
| revert to the target. But during the period under review it didn’t. The experi- | |
| ence teaches the danger of relying too heavily on models to the exclusion of | |
| good judgement. | |
| The models had rather little to say about rising house prices and household | |
| indebtedness. There was no discussion of the economics of falling real interest | |
| rates across the world, the fact that Sweden could not stand out from this, and | |
| the consequences for rising house prices in Sweden. Again, the models had | |
| nothing to say about these questions. One of the problems with the monetary | |
| policy discussion was that the majority apparently went along with the overly | |
| optimistic inflation forecasts that the model produced in the main scenarios | |
| because it suited their desire to raise interest rates to counter the potential con- | |
| sequences of rising house prices and household indebtedness, even if they | |
| hadn’t much faith in the inflation forecast when making their judgement about | |
| the repo rate. If so, they went along with a forecast which did not really rep- | |
| resent their own views. They should either have clarified that they were pur- | |
| suing an objective other than meeting a target for inflation, or pressed more | |
| strongly for a different forecast to be published. | |
| It is important that the forecast process allow sufficient time for members | |
| of the Board to raise major questions about the approach underlying the staff | |
| forecast. In particular, judgements about the likely outturns in the rest of the | |
| world should not simply be taken as a technical issue for staff to resolve. There | |
| needs to be a more systematic process for assessing and responding to forecast | |
| “errors,” in which the process is not one of apportioning blame but of learning | |
| from the outturns so that future forecasts can be adapted to the lessons. There | |
| also needs to be sufficient time at Board meetings to discuss the major assump- | |
| tions underlying the forecast. |
84
| 6 ANALYSIS OF THE RIKSBANK'S FORECASTING PERFORMANCE | 2015/16:RFR7 |
One of the unfortunate features of the focus on models when constructing the forecast is that relatively small changes in the assumed future path for the policy rate had an impact on the forecast inflation rate that was significant for the choice of the current repo rate. So seemingly arcane debates about whether the expected policy rate three years ahead was 50 basis points too high or low mattered for the immediate policy decision. That took time away from more important discussions about the forecast.
85
2015/16:RFR7
7 Evaluation of Monetary Policy in Sweden
2010-2015
The combination of an independent Riksbank and its pursuit of an inflation target has served Sweden well. No country could pretend to avoid the consequences of the global financial crisis, and none did. Nevertheless, monetary policy in Sweden proved to be highly controversial in recent years. Why was this the case? Were the differences of view within the Executive Board sufficiently far apart to justify the tensions evident among its members?
Since the start of our Review period in February 2010, monetary policy in Sweden has come full circle – from a repo rate of close to zero, rates were gradually raised as recovery took hold, and then were cut again as recovery disappointed until today the repo rate is actually negative.
Our evaluation of this journey and the monetary policy conducted by the Riksbank from 2010 onwards leads to six main conclusions:
First, the response of the Riksbank to the rapid recovery of the Swedish economy from the global financial crisis – which entailed raising official interest rates from 0.25% to 2% between June 2010 and July 2011 – was broadly accepted by all members of the Executive Board, and appears not unreasonable in the light of all the information available to the Riksbank at the time. Nevertheless, the need to accommodate the consequences for domestic prices of the sharp fall in the exchange rate could have justified a temporary overshooting of the inflation target (see Chapter 8). Some of the critical public commentary subsequent to this episode is wide of the mark. Although the downturn of the Swedish economy in 2008-09 was similar to that in other industrialised countries, the rebound in the Swedish economy, particularly marked in exports, was more rapid than elsewhere and led to a shared view that it was justified to begin the process of raising rates. It was quite sensible to start raising rates from their extraordinarily low level adopted during the crisis. Moreover, although there were differences of judgement on the Board
– and it would in the circumstances have been very surprising if there had not been – those differences were small. The dissenters on the Executive Board never voted for a level of the current repo rate more than one quarter of a percentage point below that actually set by the majority, and even the most extreme dissenter, Mr Svensson, having voted for a repo rate of 0.25% in April 2010, was voting one year later for a repo rate of 1.25% and then a few months after that for a rate of 2%. During 2010 and 2011, monetary policy was, therefore, responding to evidence of a recovery and was being set in what might be described as a normal fashion in terms of the outlook for inflation.
The individual nature of voting on policy which characterises the Riksbank, in contrast, for example, to the Federal Reserve in the United States, was at its best in 2010-11. The differences of view expressed in the minutes were well within the bounds of reasonable differences of judgement about the outlook
86
| 7 EVALUATION OF MONETARY POLICY IN SWEDEN 2010-2015 | 2015/16:RFR7 |
for the economy and for inflation, and the robust discussion helped to ensure that all possibilities were considered. Since members vote for a level of the repo rate, dissenters who believe that policy is some way off track must make that clear by voting for what they believe to be the appropriate rate. A vote for a slightly lower rate than that adopted by the majority cannot subsequently be used as evidence that a dissenter believed that a very different repo rate was appropriate. During this period, the minutes contain rather little expression of concern about household indebtedness and house prices which were to become so contentious later. Whether this was because those who were driven by such concerns felt it was awkward to admit them publicly, given the remit of the Riksbank to pursue the inflation target, or whether their concerns grew gradually over the period, is hard to judge.
Second, the situation started to change in late 2011 and 2012. During the second part of the period covered by our Review, the Riksbank was slow to realise the extent of the problems in the euro area and, especially during 2013, the majority was slow to cut interest rates. This problem was exacerbated not only by overoptimistic judgements about economic growth in the euro area but also by assumptions about the likely paths of interest rates overseas that were significantly out of line with expectations in financial markets. The result of those assumptions was that the forecasts for future inflation were much higher than actual outturns. By 2014, these problems had become sufficiently worrying that a majority of the Executive Board voted, against the Governor’s wishes, for an especially aggressive cut in interest rates.
From late 2011 onwards there was inadequate appreciation of the significance of the problems in the world economy, and especially in the euro area (see Chapter 6). This turned out to be the single largest source of forecast error. The construction of forecasts for the world economy made by staff inside a central bank typically, albeit understandably, gives too much weight to the forecasts of their counterparts overseas and the international organisations, both of which are likely to present a somewhat more rosy scenario for the economic outlook than is objectively justified. A central bank naturally spends more time and effort forecasting and modelling its own economy where it has a comparative advantage. To counteract this institutional bias, it is important for members of the Executive Board to raise the big questions about the outlook that will determine outturns in the world economy, and to challenge staff forecasts.
A second problem in the shared reliance on forecasts to set policy was the agreement of the majority of Board members to the assumption that interest rates in the rest of the world would follow a path markedly above that implied by the prices of financial futures contracts. The consequence of this assumption was that the path of the krona exchange rate was weaker relative to that implied by expectations in financial markets and, as a direct result, to raise the inflation forecast. Using a path for overseas interest rates closer to that implied by market rates would have led to a lower inflation forecast, and a faster response of policy to the deteriorating situation abroad. The minority on the
87
| 2015/16:RFR7 | 7 EVALUATION OF MONETARY POLICY IN SWEDEN 2010-2015 |
Board pointed out the problem on several occasions but had little impact on the methods used to produce the Riksbank forecast. Although the Riksbank is aware of the problem we therefore recommend:
Recommendation: the Riksbank should re-examine its methods for producing forecasts for both the world economy and overseas interest rates to help the Executive Board focus on the big issues surrounding the outlook. The Monetary Policy Report should explain in more detail the basis for the assumptions about overseas growth and interest rates.
By far the most serious problem, however, was the growing discrepancy between the future path for the repo rate forecast by the Riksbank itself and the future path implied by prices in financial markets (illustrated in Figure 9). We comment below on the practice of discussing monetary policy in terms of the path of interest rates over a three-year horizon. But what is surprising, given the emphasis placed on the path for the repo rate by the Riksbank, is how little weight markets attached to the Riksbank’s forecasts of its own actions. The path published by the Riksbank was rarely, if ever, decisive in steering market rates. For example, in July 2011 the Riksbank raised the repo rate and market interest rates over horizons of a year or so fell by almost 50 basis points.
The Goodhart and Rochet Review (pp. 78-93) of Riksbank monetary policy from 2005 to 2010 also examined the extent to which the market's implicit expected repo rate path corresponded to the Riksbank's published repo rate path around the 24 monetary policy meetings from February 2007 to December 2011. For the first seven policy meetings from February 2007 through July 2008, Goodhart and Rochet report that the intended repo rate path and market forward rates correspond reasonably closely with the former leading the latter, much as the Riksbank had hoped. The global financial crisis changed that pattern. The five meetings from September 2008 through February 2009 saw the market path falling consistently below the intended repo rate path as if the market expected the Riksbank to ease policy more aggressively against the downturn, perhaps because the markets were more pessimistic about rising unemployment, or they thought the Riksbank would be less worried about inflation. Then for the five meetings from April 2009 through December 2009 the market forecast a rapid normalization of the repo rate even as the Riksbank kept its published repo rate path low. During this period, the Riksbank seemed unable to steer the market's expected future repo rates lower.
As the Swedish economy bounced back strongly in 2010, the Riksbank steepened its published repo rate path for six meetings beginning in February 2010 through December 2010 and began in July a sequence of repo rate rises; but the market forecast a much slower normalization of the repo rate. The gap between the two paths actually widened as the published path reached 4% at the three-year horizon endpoint but the market revised its endpoint down from 3% to 2%.
This divergence created problems for both the majority and minority positions on the Board. For the majority, the problem was that it was advocating
88
| 7 EVALUATION OF MONETARY POLICY IN SWEDEN 2010-2015 | 2015/16:RFR7 |
a significant future rise in the repo rate and so a much tighter monetary stance than was actually being implemented, and yet inflation was falling below target. That led to a more open statement of the view that monetary policy had to be tighter than would be implied solely by reference to the outlook for inflation in order to respond to risks to financial stability – an issue we return to below. For the minority, there was a tension between the two different arguments that they deployed. On the one hand, their rather aggressive criticism of the majority position was based on forecast simulations using the assumption that monetary policy was actually described by the published desired repo rate path. On the other hand, the lack of market credibility in the Riksbank’s published repo rate path made it increasingly difficult to attribute bad outcomes to an overly tight monetary policy when market expectations were of a continuing lower repo rate. The one conclusion that can safely be drawn is that forecasts, and policy, should not be based solely on forecasts from a model that assumes full credibility in the stated policy path. There must be room for judgement about the credibility of the inflation target and the repo rate path – a point emphasised by Ms Ekholm. The key point is that markets, and households and businesses more generally, will form their own expectations of future interest rates and inflation which may differ from those of the Riksbank, and policy must take that into account. The models used by the Riksbank, and most other central banks, are silent on this point.
Recommendation: as a matter of course the Riksbank should publish in its Monetary Policy Reports an analysis of why in its view there is a divergence between its published repo rate path and market expectations of the repo rate path, and what implications it believes any such divergence has for the setting of monetary policy.
Third, it is striking that all members of the Executive Board devoted so much time to thinking about the future path of the repo rate and to providing guidance as to their views on how it should evolve over the following three years. There is something surreal about the precision of the guidance provided by individual board members as to the future path of the repo rate when contrasted with the sheer uncertainty about the future and the fact that markets took rather little notice of the published path in determining their own expectations. As an example, consider the Monetary Policy Meetings in July and September 2010. At the July meeting, the majority voted to raise the repo rate from 0.25% to 0.5%, and to publish a path for the repo rate that over the following three years rose to 3.8%. Two members dissented – Ms Ekholm who voted to defer the increase until September but then to follow the path for the repo rate agreed by the majority, and Mr Svensson who voted to leave the repo rate at 0.25% and then approach more gradually the rate of 3.8%. Market rates implied a repo rate of only 2.25% three years ahead. In September, the majority voted to raise the repo rate to 0.75%, with the repo rate continuing to rise to 3.8%. Ms Ekholm also voted to raise the repo rate to 0.75%, but wanted to see the rate climb to only 2.8%. Mr Svensson voted to hold the rate at 0.5% and for a
89
| 2015/16:RFR7 | 7 EVALUATION OF MONETARY POLICY IN SWEDEN 2010-2015 |
flatter profile of the repo rate which rose to 1.75%. Three years later the actual repo rate set by the Riksbank was only 1% and was about to start falling towards and then beyond zero. The point of this example is to illustrate that central banks cannot predict their own actions, not because they behave erratically, but because they cannot predict developments in the economy to which they must respond. Market expectations of such developments may well differ from those of the central bank.
Since 2007, the Riksbank has published forecasts of its own policy rate. It was encouraged to do so by the Review carried out by Giavazzi and Mishkin who recommended that the Riksbank “should base its forecasts on its own assessment of the policy path”. The experience has not been an entirely happy one. If the idea was to tighten policy by projecting future increases in the policy rate, then it could not be judged a success. Policy was looser throughout the period than was intended by almost everyone on the Board. The precision of the forecasts for the future rate belies the uncertainty surrounding the economy, and can lead to a temptation to resist modifying earlier judgements and to follow the previous forecast path. The wish to avoid changing one’s mind means that it is possible that policy reacts too slowly to changes in the economy. Moreover, the danger of publishing a future path for the repo rate is that the Board can be seduced into thinking that changes in monetary policy can be made solely by changing the slope and end-point of the future path, making it possible to defer changes in the current policy rate. There is some evidence from the minutes that differences in view were diverted into disagreements about the future path rather than confronting the need to change the current repo rate. And time was spent discussing and debating the merits of differences in the repo rate path two or even three years ahead that had little relevance to market expectations and so on actual monetary conditions. It became too easy to paper over major differences of view on the current stance of policy by expressing them in terms of differences of view about the likely future path of the policy rate.
Nevertheless, we were impressed by how many of our interlocutors, even when they disagreed with the policy set by the Riksbank, said that they felt the publication of the Riksbank’s own judgement about where the policy rate might go was useful. We feel this should be a matter left to the Board itself.
Recommendation: the Riksbank should conduct and publish (i) a review of its experience with the announcement of a future path for the repo rate, and (ii) a post-mortem on the substantial deviation of market expectations from its published forecasts during the period covered by this Review.
Fourth, there was heavy reliance, among both the majority of the Board and the dissenters alike, on forecasts produced by models developed by Riksbank staff. Although such models are useful in putting together consistent quantitative forecasts, inevitably they are based on strong assumptions and can act as no more than a starting point for a discussion of the challenges facing monetary policy at any particular juncture. They cannot be used mechanically. At
90
| 7 EVALUATION OF MONETARY POLICY IN SWEDEN 2010-2015 | 2015/16:RFR7 |
no time was this note of caution about the use of models more relevant than in the immediate aftermath of the global financial crisis. Models that not only didn’t, but couldn’t by their nature, predict the crisis were unlikely to tell the whole story of the difficulties facing economies during the recovery phase. A greater degree of humility about those models would have been appropriate. It is therefore surprising that it was thought sensible to rely so heavily on forecasts generated by models which were clearly capturing only part of the true picture. The minutes reveal remarkably little challenge to the results from model simulations from either the majority or minority members of the Board. The majority was clearly concerned about the risks to financial stability – factors that were missing from the models – but seemed unable to articulate their concerns in a way that challenged the relevance of the model simulations. The minority seemed wedded at times to a fixation on precise simulations that indicated how a different position and shape for the repo rate path could fine tune outturns for inflation and unemployment, despite the many important factors missing from the models.11 The two sides in the debate on monetary policy on the Executive Board were unable to engage in a conversation about what was happening in the economy, and retreated to fixed positions. Monetary policy cannot be reduced to the automatic application of one specific model. Choosing the so-called optimal policy in a misspecified model can lead to serious mistakes. Alternative “models” of the economy must be considered and judgement used.
One important failing of the models used was the assumption of complete credibility in the willingness and ability of the Riksbank to hit the 2% inflation target. The forecast of inflation always returned to 2% over the medium term. The presumed credibility of the inflation target gave the Executive Board a false sense of confidence in its own strategy which encouraged a belief that persistent departures of inflation below 2% could not undermine credibility in the target. By 2015 that confidence was being sorely tested.
The models that were being used by the Riksbank assumed that the inflation target had such credibility that small changes in current or expected future interest rates would enable the Riksbank to guide inflation back to the target in two years, irrespective of the underlying state of the world economy. An important role for members of the Executive Board is to challenge the assumptions of models used to generate quantitative forecasts so that there can be a full discussion of all relevant aspects of the outlook before members reach their policy judgements.
As described in Chapter 5, the Executive Board works closely with the Monetary Policy Department some weeks prior to the Monetary Policy Meeting to forecast international activity, inflation, and policy rates abroad upon which to condition monetary policy, and to decide the Riksbank's repo rate path that delivers forecasts of output, inflation, and unemployment in Sweden
– the Main Scenario core of the Monetary Policy Report – that the majority of the Executive Board deems to be “well-balanced ”. As things stand, the Monetary Policy Meeting of the Executive Board essentially ratifies after the fact
91
| 2015/16:RFR7 | 7 EVALUATION OF MONETARY POLICY IN SWEDEN 2010-2015 |
the Main Scenario, effectively decided at earlier meetings. An alternative procedure would be that at those earlier meetings three, say, different scenarios with different Riksbank repo rate paths be agreed and included in the Monetary Policy Report, with the Executive Board choosing among them at the Monetary Policy Meetings a couple of weeks later. Such a change would impose a considerably greater burden on the monetary policy department, and for that reason we are reluctant to recommend it. But some change in procedure is needed because the currently released Minutes of the Monetary Policy Meetings do not serve well their purpose of providing individual accountability for each Board member's contribution to the policy deliberations.
Recommendation: the Riksbank should augment the current minutes with minutes of the meetings where the Main Scenario is decided – at the First or Second Large Monetary Policy Group Meetings and also the Ex- ecutive Board Forecast Meeting. Those minutes could then be released to the public together with the current minutes two weeks after the Monetary Policy Meeting.
Fifth, tensions among members of the Executive Board, while not leading to significant differences in policy judgements in 2010 and 2011, grew in 2012 and spilled over in 2013 into disagreements not only about the setting of interest rates but also, and significantly, about the objectives of policy. The meeting of April 2013 was critical in this respect. The frustrations of the dissenters were clear. Despite evidence of the need for a loosening of monetary policy, the majority seemed unwilling to accept the logic of an inflation target. The problems were compounded by the fact that both sides, with the honourable exception of Ms Ekholm, appeared content to place weight on model simulations and forecasts. This led one side of the argument to believe that the need to cut interest rates was completely obvious, and the other to obfuscate about the reasons for being reluctant to cut rates. Underneath the surface was a major issue that was not discussed in a fully articulated way.
It is clear that by 2012 the majority on the Riksbank Board were sufficiently concerned about developments in house prices and the growth of household credit to set the repo rate at a level higher than was justified by a strict application of targeting inflation two years ahead. There were three problems with such a strategy. First, the concerns over financial stability held by the majority were never explained within a clear conceptual framework. Second, it was not easy to reconcile the objective of “leaning against the wind” with the official mandate of the Riksbank to pursue price stability. Third, no empirical evidence was produced on the magnitude of the costs and benefits of pursuing such a strategy.
On the first of these – the role of financial stability in monetary policy – one must have sympathy with the Riksbank. All central banks have struggled to reconcile the inflation targeting framework used before the crisis with the existence of economic and financial “imbalances” in the economy which both
92
| 7 EVALUATION OF MONETARY POLICY IN SWEDEN 2010-2015 | 2015/16:RFR7 |
contributed to the crisis and also affected the recovery from it. From our conversations it is clear that the majority on the Executive Board were concerned about the impact of rising asset prices and indebtedness on the economy and felt that if no-one else was going to do something about it then they should. They felt that they would be damned if they did and damned if they didn’t. The Riksbank, therefore, took it upon itself to allow concerns about financial stability to affect decisions on monetary policy. The dissenters on the Board took a much narrower view of the commitment to price stability which reflected a particular view of how the economy worked. They believed that policy should aim to set interest rates in order to meet the inflation target looking 18 months to 2 years ahead based on forecasts of inflation generated by a particular set of models. The problem for this group was that those models were based on past correlations which were assumed to represent causal relationships when in fact they had little to say about how and why the crisis came about. The focus on models by both sides in the debate played into the hands of the minority because the issues that worried the majority were absent from the models. As a result the two sides talked past each other. There was nothing particularly Swedish about this debate. At the international level, the two views represented in Sweden by the majority and minority on the Executive Board are reflected in the positions of the Bank for International Settlements (BIS) and the Federal Open Market Committee of the United States Federal Reserve, respectively. Neither side has a monopoly of wisdom.
Those on the Executive Board who believed in long run risks to output growth and price stability from the build-up of financial imbalances within the Swedish economy faced the problem that the Riksbank Act did not give the central bank a formal role in the area of financial stability. Moreover, the wind against which the majority wished to lean had dropped by 2012 to something closer to a breeze (even though it was to blow more strongly later).
One of the difficulties that beset policy at the time was the failure of the Government to decide which body should have the responsibility for financial stability. Final decisions on the allocation of responsibility in this area were announced only in 2013. For that, the Government must take responsibility. It was a mistake to allow conflicting objectives to persist within the Board. The Riksbank stepped in to fill a vacuum in policy, and made clear that in its view Finansinspektionen had taken insufficient action to deal with concerns from the housing market. And when by 2014 and 2015 those financial stability responsibilities had been clarified and given to Finansinspektionen, the Riksbank decided that inflation had fallen to a level at which the credibility of the 2% target was at risk, and adopted an extraordinarily expansionary monetary policy with negative repo rates and asset purchases in order to raise inflation to the 2% target. It seems as if those concerned with household indebtedness and asset prices had abandoned their earlier attempt to use monetary policy to influence such behaviour and had instead accepted that other authorities, presumably Finansinspektionen and the Government, should implement policies that would gradually reduce household indebtedness. Monetary policy again
93
| 2015/16:RFR7 | 7 EVALUATION OF MONETARY POLICY IN SWEDEN 2010-2015 |
became focused solely on re-anchoring inflation expectations on 2%. So began an extraordinary phase in monetary policy actions with official interest rates moving into negative territory, and asset purchases on a large scale.
The concerns of the Riksbank were reinforced when in the spring of 2015 Finansinspektionen withdrew proposals to make households amortise their mortgages because, although accepting that such proposals were necessary, they felt they should respect the statement of the Administrative Court of Ap- peal of Jönköping, among others, which found deficiencies in the legal basis for Finansinspektionen to implement such a requirement. The Riksbank’s task has been made much more difficult by the dithering of the Government in introducing a clear regime for macro-prudential policy.
Recommendation: the Government should ensure without further delay that Finansinspektionen has the legal powers and range of macro-pruden- tial instruments appropriate to its role in promoting financial stability.
The main lesson from this episode is that the question of which objective should be pursued by the Riksbank is not one that is sensibly left to the Executive Board itself without providing further accountability for decisions. The debate about monetary policy from 2011 onwards became very personal, in part because it reflected differences about the framework within which monetary policy was being conducted and not just the current state of the economy. It is, therefore, important to the governance of the Riksbank that the framework which disciplines the factors determining monetary policy is laid out clearly in the Riksbank Act. We return to the question of the mandate of the Riksbank in Chapter 8.
Sixth, the success of the decision-making process in the Riksbank is heavily dependent on the willingness of Board members to respect each other’s viewpoint and to use the Monetary Policy Meetings to further a collective understanding of developments in the economy and the appropriate response of monetary policy. Differences of view and judgement are an important part of this process, but they must be expressed in a manner conducive to the collective venture on which the Riksbank is embarked. A key part of the structure of the Board of the Riksbank is that each individual has one vote and is entitled, indeed required, to express clearly their own view on the stance of monetary policy. This is a strength of the process. A healthy debate benefits from such differences of view. Explanations of those differences are essential to the promotion of greater understanding among the wider public of the challenges facing monetary policy. It is evident from the minutes and public comments made by members of the Board that respect for others’ viewpoints was not always present during the period covered by our Review. The extent of divisions, and in particular the way they were expressed, was damaging to the reputation of the Riksbank. Members of the Board must remember that their role is to present coherent arguments in a reasonable and persuasive fashion. If they use language which is designed to attack other members of the Committee the public standing of the Board is damaged. It was not helpful that
94
| 7 EVALUATION OF MONETARY POLICY IN SWEDEN 2010-2015 | 2015/16:RFR7 |
minutes and interviews by Board members displayed a degree of brusqueness uncharacteristic of normal public debate in Sweden. Yet the essential problem was that the Riksbank had too much freedom to interpret its remit in ways that made it possible for different members of the Board to pursue different objectives.
Disagreements on policy decisions should be expressed openly in minutes but in a form that does not denigrate other members of the Board who may take a different view. We took sufficient evidence to be confident that the question of how members of the board behaved towards each other was an important consideration in affecting the ability of the Board to confront extraordinarily difficult challenges. Nevertheless, those intellectual challenges have proved difficult for all central banks, and differences of view about the appropriate objectives of monetary policy are not confined to Sweden.
Compared with the early years of Monetary Policy Meetings, the minutes during much of the Review period became extremely long and contained mainly the views of dissenters, the majority view being expressed in the regular Report. The minutes no longer represented a to-and-fro between different viewpoints on the Board, and did not reflect the balance of discussion. It is not helpful for the majority and minority to express their views in differing formats. There needs to be a degree of collective discipline in how the minutes are produced. The minutes should cease to be a detailed and uneven record of submissions by individual members and should contain a more balanced explanation of the decision reached by the majority and the arguments against that put forward at the meeting by the dissenting minority.
Recommendation: the minutes should attempt to record the differing points made at the meeting and not a sequence of individual formal presentations. Longer analyses by particular members should be made available publicly in speeches.
95
2015/16:RFR7
8 The Mandate and Governance of the
Riksbank
The Riksbank operates under a mandate determined by the Riksdag and set out in the Sveriges Riksbank Act. The Act is a comprehensive description of the powers and responsibilities of the Riksbank. In many ways, it is a model. Chapter 1 Article 2 sets out the two main policy responsibilities of the Riksbank:
“The objective of the Riksbank’s activities shall be to maintain price stability”.
“The Riksbank shall also promote a safe and efficient payments system”.
At one level these objectives are unobjectionable. But the interpretation of the phrase “price stability” is left to the Riksbank itself. In essence the Act mandates an inflation target but without specifying anything else. This begs a number of questions. What should the numerical target be? Should it be a range or a point? Who should set the target? What inflation rate should define the target? Should the objective of policy be modified to include real variables? The Riksbank defines price stability as an inflation rate of 2% a year as measured by the Consumer Price Index (CPI). As explained in Chapter 5, in practice the Executive Board consistently employs a different definition of inflation, CPIF, rather than CPI in its policy deliberations because the latter includes the direct effect of its own interest rate changes on the measure of inflation. In itself, that is a sensible approach. But it would be better if the inflation target itself were to be specified in terms of CPIF inflation. To overcome concerns that the Riksbank was able to set its own target, and to change it at will, it would be preferable, in our view, for the mandate for the inflation objective to be given to the Riksbank by the Riksdag.
Recommendation: the Riksdag, on a recommendation by the Finance Minister, should specify the inflation target, in terms both of its definition and its numerical value, and should delegate that objective to the Board of the Riksbank to achieve. At present, we recommend a target of 2% a year as measured by CPIF. The target should be reviewed every ten years unless the Riksdag legislates to change the target earlier than the next due review date.
We do not think it sensible to extend the objective of the central bank to include numerical targets for employment and output. The experience of forward guidance in both United States and United Kingdom suggest that attempts to use numerical values for these variables can crumble in the hands of policymakers within a short period of time. Nor do we recommend setting the objective for monetary policy in terms of nominal spending or GDP. Flexible inflation targeting offers a perfectly acceptable way of making the trade-off
96
| 8 THE MANDATE AND GOVERNANCE OF THE RIKSBANK | 2015/16:RFR7 |
between volatility in inflation and volatility in output, and avoids the problem of revisions in data for nominal GDP.
By far the biggest questions in the implementation of inflation targeting are the time horizon over which it is desirable to bring inflation back to target and the “model” of the economy which is being used to judge the future path of the economy. They reflect deep issues which became apparent to central banks during and after the global financial crisis. There may be times when monetary policy should also be concerned about a disequilibrium, or imbalance, in the economy that cannot easily be explained solely in terms of its effects on resource utilisation or the current inflation rate. It may then be appropriate to deviate from targeting inflation in order to correct “imbalances” in the economy that may stem from previous periods of excessive optimism, not necessarily in the housing market, in order to prevent major swings in output and employment later on. Such imbalances may not necessarily originate in the financial or any other particular sector (housing, for example) and so may not be easily amenable to macro-prudential policy which is directed to particular sectors. It is a mistake to think that all possible needs for policy intervention can be divided into two types – those which require the meeting of an inflation target two years ahead and those which require the adoption of macro-prudential policies. Monetary policy will have to take a broader view in order to correct the imbalances. The fact that most statistical models used by central banks, including the Riksbank, preclude such a possibility is no reason to ignore it. The Riksbank’s own description of its monetary policy strategy, as described in Chapter 5, states that “A well-balanced monetary policy is normally a question of finding an appropriate balance between stabilising inflation around the inflation target and stabilising the real economy”. This should be extended to say that if the Riksbank feels that an adjustment to the real equilibrium of the economy is necessary then it should be prepared to accept deviations of inflation from target for a period longer than the conventional two years which it uses in normal times.
Recommendation: the mandate given by the Riksdag to the Riksbank should state that the monetary policy objective of the Riksbank shall be to maintain price stability, as defined by the inflation target, with regard to the long run sustainability of the path for the level and composition of output and its implications for inflation. Where, in the opinion of the Ex- ecutive Board, it is appropriate to deviate for a while from targeting inflation some two years ahead, the Riksbank shall explain its reasons and defend them in front of the Finance Committee of the Riksdag.
In other words, if the Riksbank believes that circumstances justify deviating from targeting inflation two years ahead in order to prevent major swings in output and employment later on, then, rather than pretending otherwise, it should explain why it has chosen to deviate from the target, and be prepared to defend itself in front of the Finance Committee. It is precisely in circumstances where there is room for reasonable disagreement about the immediate
97
| 2015/16:RFR7 | 8 THE MANDATE AND GOVERNANCE OF THE RIKSBANK |
challenges facing monetary policy that it is important to expose the thinking of the Riksbank, as well as that of outside commentators, to regular and informed constructive criticism. It is in this area that transparency is so important. The Sveriges Riksbank Act also sets out responsibilities in terms of the transparency of the Riksbank. Chapter 6 article 4 states that “the Riksbank shall submit a written report on monetary policy to the Riksdag Committee on Finance at least twice a year”. There is no doubt that the Riksbank provides a great deal of information to the public on its understanding of the economy, its own internal deliberations, and its decisions. It is one of the most transparent central banks in the world. But the process of accountability could be improved, and we return to this below.
Most of the remaining articles in the Sveriges Riksbank Act describe in detail the operational framework within which the Riksbank should pursue its objectives.12
There are two areas in which (in the English translation) the Act is surprisingly vague: foreign exchange policy and financial stability. On the first, Chapter 6 article 2 states that “the Riksbank shall follow developments on the foreign exchange and credit markets and implement necessary monetary policy measures”. And Chapter 7 article 2 states that “in pursuance of its foreign exchange policy, the Riksbank is to hold assets in foreign currencies, foreign claims and gold”. There appears to be no definition of what is meant by the Riksbank’s “foreign exchange policy”. In practice, the choice of the exchange rate regime is a matter for government. After 1992, Sweden’s exchange-rate regime has been to adopt a floating exchange rate which permits the Riksbank to pursue its own monetary policy. It would be helpful for the Act to make clear the division of responsibility between the Government and the Riksbank on matters of exchange-rate policy, not least because there is some confusion about that division within the euro area and it would be sensible to avoid that in Sweden.
Recommendation: the Sveriges Riksbank Act should be amended to make clear that the choice of exchange rate regime is a matter for government, and that the mandate to meet the inflation target is subject to the Government deciding that the exchange rate should float freely.
During the period covered by our evaluation, the absence of any clear reference in the Act to either the role of the exchange rate or that of financial stability considerations for the pursuit of price stability turned out to be extremely important. Many of the controversial aspects of monetary policy during the period were the result of decisions to achieve price stability over a longer time horizon than hitherto because of concerns about either financial stability or the exchange rate. This is apparent from the narrative history of monetary policy in Chapter 5.
The advantages of an inflation target are two-fold: first, monetary policy geared to targeting inflation enables the exchange rate to fluctuate freely to insulate the domestic economy from external disturbances. Second, monetary
98
| 8 THE MANDATE AND GOVERNANCE OF THE RIKSBANK | 2015/16:RFR7 |
policy geared to targeting inflation frees interest rate policy to focus on stabilizing domestic inflation and employment regardless of the consequences for the exchange rate. Both advantages of the inflation targeting framework were very much in evidence in Sweden in 2008-09. The large depreciation of the krona (30% against the euro and 50% against the US dollar) by early 2009 – due in part to the crisis abroad and partly to the aggressive easing of monetary policy in Sweden that followed –helped to stabilise employment and inflation in Sweden. And CPIF inflation was stabilised around 2% in 2009-10.
But when the exchange rate changes markedly, it is not always sensible to keep inflation as a whole close to target. Sweden’s major export markets had weakened sharply, and Sweden was faced with a substantial one-time adverse adjustment to its terms of trade. How should that affect policy? As a result of the credibility of the Riksbank’s inflation target, nominal wage growth in Sweden was well anchored. So it might have been better to cope with the need for a one-time downward adjustment in real wages in Sweden by allowing the large depreciation of the krona to pass through to prices of consumer goods and services and letting CPIF inflation overshoot the 2% target for a few years while retaining stability in domestically generated inflation. Once higher foreign prices had passed through to the domestic price level, inflation would have returned to target. Such a policy, not dissimilar to that followed by the Bank of England, would have left inflation close to the 2% target once the adjustment had been achieved, rather than well below target as happened in practice. In the event, Swedish inflation never got much above 2% and soon began to fall below the target with adverse consequences, in part because the Riksbank began to tighten monetary policy in 2010 which more than reversed the depreciation of the krona that had occurred in 2008-09.
As regards financial stability, there is no explicit description of any responsibility for the Riksbank in the area of financial stability. Chapter 6 article 8 states that “in exceptional circumstances, the Riksbank may, with the aim of supporting liquidity, grant credits or provide guarantees on special terms to banking institutions and Swedish companies subject to the supervision of Fi- nansinspektionen”.
Although Sweden’s financial system weathered the storms of 2008 rather well, the size of the banking system relative to the economy as a whole – bank assets in 2014 were around 430% of annual GDP – means that the health and stability of the financial system is bound to be a matter of concern for the Riksbank as well as Finansinspektionen. Before the crisis, Swedish banks started to raise substantial funds in US wholesale markets, and now rely on over 60% of such external funding to finance their domestic loan portfolios. This created a substantial maturity and currency mismatch. This situation was important both for monetary policy and banking supervision during the crisis. As Goodhart and Rochet pointed out in their own Review, the saving grace for Sweden was the ability of the Riksbank to negotiate swap arrangements in US dollars with the Federal Reserve.
99
| 2015/16:RFR7 | 8 THE MANDATE AND GOVERNANCE OF THE RIKSBANK |
| Since the crisis, and during the period under review, there has been growing | |
| concern in Sweden about the buoyancy of house prices and the associated rise | |
| in household indebtedness. In its 2014 Article IV for Sweden, the IMF noted | |
| that much of the rising house prices could be attributed to constraints on the | |
| supply side resulting from inadequate building of apartments to meet the rising | |
| demand in cities and as a result of substantial immigration. There is no sign | |
| that these factors are likely to abate, and unless the Government take signifi- | |
| cant steps to improve the supply side of the housing market, the financial au- | |
| thorities are likely to be faced with considerable challenges resulting from the | |
| rise in household debt for some time to come. We urge the Government to | |
| take this problem extremely seriously. | |
| As we have shown in Chapter 5, concerns over financial stability played a | |
| growing role in the views of the majority to be cautious in the speed at which | |
| the policy repo rate was cut in 2012 and 2013. With little clarity about the | |
| respective roles of the Riksbank and Finansinspektionen, it was perhaps not | |
| surprising that tensions developed between the two institutions. The Riksbank | |
| wanted stronger and earlier action to deal with the rise in house prices. Fi- | |
| nansinspektionen was by no means inactive in dealing with concerns about | |
| household indebtedness and financial stability. In 2010, it introduced a ceiling | |
| on loan to value ratios for new mortgages of 85%. In the previous year, one | |
| third of new mortgages had been extended at higher loan to value ratios. The | |
| measure was controversial then, and attracted much criticism from the industry | |
| itself. Within a year, however, most commentators had come round to the | |
| view that the measure had been necessary. It appears to have had some effect | |
| in stabilising household debt to income ratios. Further measures were taken | |
| to raise the capital requirements on banks for mortgage lending (see Annex 3). | |
| But neither Finansinspektionen nor the Riksbank had been given powers to | |
| take any such measures for explicitly macro-prudential reasons. The Govern- | |
| ment was slow to resolve this question, resulting in an unfortunate period dur- | |
| ing which both Finansinspektionen and the Riksbank were campaigning to ac- | |
| quire such powers. Only in December 2013 was the formal decision taken to | |
| give macro-prudential powers to Finansinspektionen. Finansinspektionen is | |
| primarily a supervisory authority, and, as we have noted, has been more reluc- | |
| tant than the Riksbank to regard rising indebtedness is a matter for concern. | |
| In part, this may reflect the fact that it is directly responsible to Government. | |
| And when Finansinspektionen was given responsibility for macro-prudential | |
| powers, the relevant minister stated that the main advantage of making Fi- | |
| nansinspektionen the lead agency is that it answers directly to government thus | |
| improving democratic responsibility. But there is a difference between the | |
| democratic decision by an elected government about the set of macro-pruden- | |
| tial policy instruments which can be used, and the decisions of the authority to | |
| which those powers are delegated on the use of such instruments. There is a | |
| risk that present arrangements will lead to slow responses to future concerns | |
| about financial stability, and they should be reviewed periodically. |
100
| 8 THE MANDATE AND GOVERNANCE OF THE RIKSBANK | 2015/16:RFR7 |
Recommendation: in 2020 the Government should ask a small group of experts to carry out a review of the allocation of responsibility for macroprudential policy between Finansinspektionen and the Riksbank.
Whatever the merits of the current arrangements, it should at least enable the Riksbank to focus on its primary objective of meeting the inflation target. Nevertheless, as we have noted above, there may well be imbalances in the Swedish economy for which the sector-specific macro-prudential actions are inadequate to ensure an adjustment towards full employment with price stability. There will be times when it is appropriate for the Riksbank to deviate from the normal and rather narrow focus on meeting the inflation target two years ahead. It is to that possibility that the second recommendation of this chapter is directed. It is important, therefore, that the Riksbank plays an active role in discussions of policy towards financial stability. We see merit in separating the functions of the newly established Financial Stability Council between those relevant to an immediate crisis in which the use of public funds becomes a possibility and its role in monitoring financial stability outside a crisis. For the former situation, it is important that the finance ministry is involved because of the possible implications of any action for the use of public funds. But outside a crisis, it is important that decisions on macro-prudential responses be separated from day-to-day political pressures.
Recommendation: that a joint Prudential Policy Committee (PPC) of the Riksbank and Finansinspektionen be established to meet quarterly to discuss the setting of the main macro-prudential policy instruments. The PPC should make recommendations to the Riksdag from time to time on whether the set of instruments delegated to Finansinspektionen should be expanded or contracted. The PPC should be the primary source of reports on financial stability and should appear before the Finance Committee at least once a year.
Public attacks by the Riksbank and Finansinspektionen on each other are unhelpful, but almost certainly inevitable in a world in which one institution has responsibility for monetary policy and the other for macro-prudential policy.
Recommendation: the Sveriges Riksbank Act should be amended to clarify the role of the Riksbank in financial stability, whether limited to participation in the proposed Prudential Policy Committee (see above) or more extensive if macro-prudential powers gravitate to it. The mandate of the Riksbank should include financial stability, and the Riksbank must have some formal powers to enable it to achieve its objective.
In addition to our recommendations for amendments to the Sveriges Riksbank Act, we feel some improvement in the accountability of the Riksbank to the Riksdag merits consideration. The accountability of the Executive Board for monetary policy decisions is rightly not to the General Council but to the public and the Riksdag. We would encourage the Finance Committee to crossquestion all members of the Executive Board in somewhat greater depth than at present. If such sessions of evidence on the votes of individual members of
101
| 2015/16:RFR7 | 8 THE MANDATE AND GOVERNANCE OF THE RIKSBANK |
the Executive Board are to be productive and increase public understanding of the challenges to and decisions about monetary policy in Sweden, then there will need to be a degree of self-restraint on the part of members of the Finance Committee that is not entirely characteristic of politicians, at least outside Sweden. The Committee on Finance is conducting a review of “the modalities for the evaluation of Swedish monetary policy”. The current practice was introduced in 2007/2008. At present, the Committee holds three open hearings with the Governor and one Deputy Governor (who rotates) each year and the Committee publishes an annual evaluation based on a submission from the Riksbank. By inviting all members of the Executive Board to appear more regularly, the minutes of the Monetary Policy Meetings might play a more useful role in explaining the arguments for and against the actions that were taken.
Recommendation: the Finance Committee of the Riksdag should hold three sessions of evidence a year with the Riksbank Executive Board following publication of the Monetary Policy Reports. In addition to the Governor (each time), three deputy governors should appear so that each member of the Board would appear at least twice in any twelve-month period to explain and defend his/her votes on monetary policy decisions.
The Riksbank operates under the control of its General Council. In turn, the General Council reports annually to the Finance Committee. The General Council has the responsibility for controlling the way in which the Riksbank is managed and for appointing new members of the Executive Board. This is a unique arrangement in which the governance of the central bank is delegated by the Riksdag to a body with democratic legitimacy but which is separate from the Riksdag itself. We were impressed by the way in which the General Council sees its role as a buffer between the central bank, on the one hand, and politicians subject to the daily pressures of media and public opinion, on the other. In particular, the way in which the General Council manages the process of selecting new members of the Executive Board avoids the twin dangers of the existing Board recruiting its own successors and the immediate political pressures from the Finance Ministry and the Riksdag.
We believe that if consideration is given to amendment of the Sveriges Riksbank Act, then the General Council should play an important role in proposing suggested amendments.
Recommendation: the Finance Committee of the Riksdag should invite the General Council of the Riksbank to submit recommendations for amendments to the Sveriges Riksbank Act.
The General Council Chairman and Vice-chairman have the right to attend meetings of the Executive Board, and to speak but not vote. Our impression is that this power has been used wisely and sparingly. The General Council has not commented in public about monetary policy decisions. That is of critical importance if the role of the General Council in the management of the Riksbank is to retain the confidence of the executive members of the Bank.
102
| 8 THE MANDATE AND GOVERNANCE OF THE RIKSBANK | 2015/16:RFR7 |
The General Council assured us that the executive members of the Riksbank provided adequate and full disclosure of all actions taken both in the monetary policy area and in connection with the balance sheet of the Riksbank. We concluded that there was a sensible and effective relationship between the two that was well managed.
Chapter 1 article 4 of the Sveriges Riksbank Act determines that the Executive Board comprises six members, who are appointed by the General Council for a period of five or six years. More thought needs to be given to the role of the members of the Executive Board. Is there sufficient work to employ six full-time members? We recommend consideration be given to changing the structure of the Board. It makes little sense to have six people with equal responsibility for the executive management of the Riksbank. We suggest a better arrangement would be to have three members with explicit executive responsibilities: the Governor, one deputy governor with responsibility for monetary policy and managing the staff in that area, and a second deputy governor with responsibility for work and staff in the area of financial stability. The Board should also comprise three additional non-executive members, who could have other external part-time appointments provided those generated no conflict of interest.
Recommendation: the Executive Board should become the Monetary Policy Board comprising three executive members of the Riksbank, the Governor and two deputy governors with responsibility for monetary policy and financial stability respectively, and three non-executive members.
103
2015/16:RFR7
List of Tables and Figures
Table 1: Selected Economic Data, Sweden 2000-2015
Table 2: The Executive Board 2010-2015: Membership, Policy Decisions and
Votes
Table 3: Various Forecasts for CPIF Inflation, January 2013 to March 2015 Figure 1: Riksbank Repo Rate 2005-2015
Figure 2: GDP Growth, Sweden 2005-2015
Figure 3: CPIF Inflation, Sweden 2005-2015
Figure 4: Unemployment Rate, Sweden 2005-2015
Figure 5: Trade-weighted Nominal Exchange Rate (KIX) 2005-2015
Figure 6: Level of House Prices, Sweden 2005-2015
Figure 7: Household Debt/Disposable Income, Sweden 2005-2015
Figure 8: Riksbank Meeting Time Line
Figure 9: Riksbank Repo Rate Path and Market Expectations: 2010-2015
Figure 10: Riksbank’s Forecasts for Foreign Economies: 2005-2015
Figure 11: Accuracy and Bias in Various Forecasts for Foreign GDP and In- flation: 2007-2014
Figure 12: CPI, CPIF and CPIF excluding energy, 2005-2015
Figure 13: CPIF Forecasts and Outturns, January 2011 to March 2015
Figure 14: Successive Forecasts in 2011-2012 for CPIF Inflation in 2012
Figure 15: Successive Forecasts in 2013-2014 for CPIF Inflation in 2014
Figure 16: Accuracy and Bias in Forecasts of CPIF Inflation, Various Forecasters 2008-2014
Figure 17: Accuracy and Bias in Forecasts of GDP Growth, Various Forecasters 2007-2014
Figure 18: Accuracy and Bias in Forecasts of Unemployment, Various Forecasters 2007-2014
104
2015/16:RFR7
Tables and Figures
Table 1: Selected Economic Data, Sweden 2000-2015
Annual percentage change, except for trade surplus1
| Average | 2015b | |||||||||
| 2000-2006 2007 2008 2009 | 2010 | 2011 | 2012 | 2013 | 2014 | |||||
| GDP | 3.2 | 3.4 | -0.6 | -5.2 | 6.0 | 2.7 | -0.3 | 1.2 | 2.3 | 3.3 |
| CPI | 1.4 | 2.2 | 3.4 | -0.5 | 1.2 | 3.0 | 0.9 | 0.0 | -0.2 | 0.0 |
| CPIF | 1.7 | 1.5 | 2.7 | 1.7 | 2.0 | 1.4 | 1.0 | 0.9 | 0.5 | 0.9 |
| Trade surplus2 | 6.7 | 7.0 | 6.3 | 5.8 | 5.5 | 4.7 | 4.9 | 4.5 | 3.7 | |
| Exports | 6.3 | 4.5 | 2.0 | -14.5 | 11.9 | 6.1 | 1.0 | -0.8 | 3.5 | 4.0 |
| House prices3 | 12.1 a | 12.2 | -0.3 | 3.4 | 7.7 | -0.1 | 0.8 | 6.0 | 10.6 | |
| Monetary base | 3.2 | 2.8 | 46.7 | 170.5 | -0.9 | -50.3 | 7.0 | 6.4 | 3.2 | |
| Broad money | ||||||||||
| (M3) | 6.4 | 15.8 | 12.1 | 1.3 | 1.8 | 3.3 | 6.7 | 2.0 | 4.2 | |
| Total credit4 | 7.5 | 12.2 | 11.6 | 7.7 | 2.5 | 5.8 | 5.0 | 3.9 | 5.2 | |
| Mortgage credit | 14.4 a | 12.7 | 11.8 | 9.6 | 9.8 | 6.8 | 4.8 | 5.0 | 5.8 | |
Notes:
(1)GDP and exports are measured in real terms; other quantities are in nominal terms.
(2)Net exports of goods and services, per cent of GDP.
(3)Valueguard Housing Index, total, annual percentage change, annual average.
(4)Monetary Financial Institutions’ (MFI) lending to the private non-financial sector and the outstanding stock of commercial paper and bonds issued by the Swedish private non-financial sector, annual percentage change, annual average.
(a) Average 2006.
(b) Forecast, Monetary Policy Report October 2015.
Sources: Statistics Sweden, Valueguard (2) and the Riksbank (b).
105
| 2015/16:RFR7 | TABLES AND FIGURES |
Table 2: The Executive Board 2010-2015: Membership, Policy Decisions and Votes 2010-2012
| February | April | June/July | September | October | December | |||||||
| Repo rate | Repo rate | Repo rate | Repo rate | Repo rate | Repo rate | Repo rate | Repo rate | Repo rate | Repo rate | Repo rate | Repo rate | |
| change | path | change | path | change | path | change | path | change | path | change | path | |
| 2010 | ||||||||||||
| Stefan Ingves | 0 | Not present | 0.25 | 0.25 | 0.25 | 0.25 | ||||||
| Karolina Ekholm | 0 | 0 | 0 | Reservation | 0.25 | Reservation | 0 | Reservation | 0 | Reservation | ||
| Lars Nyberg | 0 | 0 | 0.25 | 0.25 | 0.25 | 0.25 | ||||||
| Barbro Wickman-Parak | 0 | 0 | 0.25 | 0.25 | 0.25 | 0.25 | ||||||
| Lars EO Svensson | -0.25 | Reservation | 0 | Reservation | 0 | Reservation | 0 | Reservation | 0 | Reservation | 0 | Reservation |
| Svante Öberg | 0 | 0 | 0.25 | 0.25 | 0.25 | 0.25 | ||||||
| Decision | 0 | 0 | 0.25 | 0.25 | 0.25 | 0.25 | ||||||
| 2011 | ||||||||||||
| Stefan Ingves | 0.25 | 0.25 | 0.25 | 0 | 0 | -0.25 | ||||||
| Karolina Ekholm | 0 | Reservation | 0 | Reservation | 0 | Reservation | 0 | Reservation | -0.25 | Reservation | -0.5 | Reservation |
| Lars Nyberg | 0.25 | 0.25 | 0.25 | 0 | 0 | -0.25 | ||||||
| Barbro Wickman-Parak | 0.25 | 0.25 | 0.25 | 0 | 0 | -0.25 | ||||||
| Lars EO Svensson | 0 | Reservation | 0 | Reservation | 0 | Reservation | 0 | Reservation | -0.25 | Reservation | -0.5 | Reservation |
| Svante Öberg | 0.25 | 0.25 | 0.25 | 0 | 0 | -0.25 | ||||||
| Decision | 0.25 | 0.25 | 0.25 | 0 | 0 | -0.25 | ||||||
| 2012 | ||||||||||||
| Stefan Ingves | -0.25 | 0 | 0 | -0.25 | 0 | -0.25 | ||||||
| Karolina Ekholm | -0.5 | Reservation | -0.5 | Reservation | -0.5 | Reservation | -0.25 | Reservation | -0.25 | Reservation | -0.25 | Reservation |
| Kerstin af Jochnick | -0.25 | 0 | 0 | -0.25 | 0 | -0.25 | ||||||
| Barbro Wickman-Parak | -0.25 | 0 | 0 | -0.25 | 0 | -0.25 | ||||||
| Lars EO Svensson | -0.5 | Reservation | -0.5 | Reservation | -0.5 | Reservation | -0.5 | Reservation | -0.5 | Reservation | -0.5 | Reservation |
| Per Jansson | -0.25 | 0 | 0 | -0.25 | 0 | -0.25 | ||||||
| Decision | -0.25 | 0 | 0 | -0.25 | 0 | -0.25 | ||||||
106
TABLES AND FIGURES 2015/16:RFR7
Table 2: The Executive Board 2010-2015: Membership, Policy Decisions and Votes (cont.) 2013-2015
| February | April | June/July | September | October | December | |||||||
| Repo rate | Repo rate | Repo rate | Repo rate | Repo rate | Repo rate | Repo rate | Repo rate | Repo rate | Repo rate | Repo rate | Repo rate | |
| change | path | change | path | change | path | change | path | change | path | change | path | |
| 2013 | ||||||||||||
| Stefan Ingves | 0 | 0 | 0 | 0 | 0 | -0.25 | ||||||
| Karolina Ekholm | -0.25 | Reservation | -0.25 | Reservation | -0.25 | Reservation | -0.25 | Reservation | -0.25 | Reservation | -0.25 | |
| Kerstin af Jochnick | 0 | 0 | 0 | 0 | 0 | -0.25 | ||||||
| Barbro Wickman-Parak | 0 | 0 | Resigned | Resigned | Resigned | Resigned | ||||||
| Lars EO Svensson | -0.5 | Reservation | -0.5 | Reservation | Resigned | Resigned | Resigned | Resigned | ||||
| Per Jansson | 0 | 0 | 0 | 0 | 0 | -0.25 | ||||||
| Martin Flodén | Not appointed | Not appointed | -0.25 | Reservation | -0.25 | Reservation | -0.25 | Reservation | -0.25 | |||
| Cecilia Skingsley | Not appointed | Not appointed | 0 | 0 | 0 | -0.25 | ||||||
| Decision | 0 | 0 | 0 | 0 | 0 | -0.25 | ||||||
| 2014 | ||||||||||||
| Stefan Ingves | 0 | 0 | -0.25 | Reservation | 0 | -0.25 | 0 | |||||
| Karolina Ekholm | 0 | -0.25 | Reservation | -0.5 | 0 | Resigned | Resigned | |||||
| Kerstin af Jochnick | 0 | 0 | -0.25 | Reservation | 0 | -0.25 | 0 | |||||
| Per Jansson | 0 | 0 | -0.5 | 0 | -0.25 | 0 | ||||||
| Martin Flodén | 0 | -0.25 | Reservation | -0.5 | 0 | -0.25 | 0 | |||||
| Cecilia Skingsley | 0 | 0 | -0.5 | 0 | -0.25 | 0 | ||||||
| Decision | 0 | 0 | -0.50 | 0 | -0.25 | 0 | ||||||
| 2015 | ||||||||||||
| February | March (non-scheduled) | April | July | September | October | |||||||
| Repo rate | Repo rate | Repo rate | Repo rate | Repo rate | Repo rate | Repo rate | Repo rate | Repo rate | Repo rate | Repo rate | Repo rate | |
| change | path | change | path | change | path | change | path | change | path | change | path | |
| Stefan Ingves | -0.1 | -0.15 | 0 | -0.1 | 0 | 0 | ||||||
| Kerstin af Jochnick | -0.1 | -0.15 | 0 | -0.1 | 0 | 0 | ||||||
| Martin Flodén | -0.1 | A | -0.15 | 0 | -0.1 | 0 | 0 | |||||
| Per Jansson | -0.1 | -0.15 | 0 | -0.1 | 0 | 0 | ||||||
| Henry Ohlsson | -0.1 | -0.15 | 0 | 0 | Reservation | 0 | 0 | |||||
| Cecilia Skingsley | -0.1 | -0.15 | 0 | -0.1 | 0 | 0 | ||||||
| Decision | -0.1 | -0.15 | 0 | -0.1 | 0 | 0 | ||||||
A) Reservation against the decision to buy government bonds.
Source: The Riksbank web page
107
| 2015/16:RFR7 | TABLES AND FIGURES |
Table 3: Various Forecasts for CPIF Inflation, January 2013 to March 2015
Forecasts with horizons of one to three months for the Riksbank
Source: Löf, Mårten, “Recent Inflation Outcomes and Forecasts,” Economic Commentaries, the Riksbank, No. 4, 2015, May 7, Table 1
Figure 1: Riksbank Repo Rate 2005-2015
Per cent, daily observations
| 5 | 5 | ||||||||
| 4 | 4 | ||||||||
| 3 | 3 | ||||||||
| 2 | 2 | ||||||||
| 1 | 1 | ||||||||
| 0 | 0 | ||||||||
| -1 | -1 | ||||||||
| 05 | 07 | 09 | 11 | 13 | 15 | ||||
Source: The Riksbank
108
| TABLES AND FIGURES | 2015/16:RFR7 |
Figure 2: GDP Growth, Sweden 2005-2015
Annual percentage change, seasonally adjusted quarterly data
| 9 | 9 | ||||
| 6 | 6 | ||||
| 3 | 3 | ||||
| 0 | 0 | ||||
| -3 | -3 | ||||
| -6 | -6 | ||||
| -9 | -9 | ||||
| 05 | 07 | 09 | 11 | 13 | 15 |
Source: Statistics Sweden
Figure 3: CPIF Inflation, Sweden 2005-2015
Annual percentage change, monthly data
| 4 | 4 | ||||
| 3 | 3 | ||||
| 2 | 2 | ||||
| 1 | 1 | ||||
| 0 | 0 | ||||
| -1 | -1 | ||||
| 05 | 07 | 09 | 11 | 13 | 15 |
Source: Statistics Sweden
109
| 2015/16:RFR7 | TABLES AND FIGURES |
Figure 4: Unemployment Rate, Sweden 2005-2015
Per cent, three-month moving average of seasonally adjusted data
| 9,5 | 9,5 | ||||
| 8,5 | 8,5 | ||||
| 7,5 | 7,5 | ||||
| 6,5 | 6,5 | ||||
| 5,5 | 5,5 | ||||
| 05 | 07 | 09 | 11 | 13 | 15 |
Sources: Statistics Sweden and the Riksbank
Figure 5: Trade-weighted Nominal Exchange Rate (KIX) 2005-2015
| Index, 1992-11-18 = 100, monthly averages of daily observations | |||||
| 140 | 140 | ||||
| 130 | 130 | ||||
| 120 | 120 | ||||
| 110 | 110 | ||||
| 100 | 100 | ||||
| 90 | 90 | ||||
| 05 | 07 | 09 | 11 | 13 | 15 |
Note. KIX refers to an aggregate of countries that are important for Sweden's international transactions. Sources: National sources and the Riksbank
110
| TABLES AND FIGURES | 2015/16:RFR7 |
Figure 6: Level of House Prices, Sweden 2005-2015
Index, January 2005 = 100, seasonally adjusted monthly data
| 250 | 250 | ||||
| 200 | 200 | ||||
| 150 | 150 | ||||
| 100 | 100 | ||||
| 05 | 07 | 09 | 11 | 13 | 15 |
Sources: Valueguard and the Riksbank
Figure 7: Household Debt/Disposable Income, Sweden 2005-2015
Per cent of disposable income, quarterly data
| 180 | 180 | ||||
| 170 | 170 | ||||
| 160 | 160 | ||||
| 150 | 150 | ||||
| 140 | 140 | ||||
| 130 | 130 | ||||
| 05 | 07 | 09 | 11 | 13 | 15 |
Note. Households' total debts as a share of their disposable incomes totalled over the past four quarters. Sources: Statistics Sweden and the Riksbank
111
| 2015/16:RFR7 | TABLES AND FIGURES |
| Figure 8: Riksbank Meeting Time Line |
112
| TABLES AND FIGURES | 2015/16:RFR7 |
Figure 9. Riksbank Repo Rate Path and Market Expectations 2010-2015
Phase 1 Recovery and Tightening
113
| 2015/16:RFR7 | TABLES AND FIGURES |
Figure 9. Riksbank Repo Rate Path and Market Expectations 2010-2015 (cont.)
Phase 2 Pause for Thought
114
| TABLES AND FIGURES | 2015/16:RFR7 |
Figure 9. Riksbank Repo Rate Path and Market Expectations 2010-2015 (cont.)
Phase 3 Disappointment and Easing
115
| 2015/16:RFR7 | TABLES AND FIGURES |
Figure 9. Riksbank Repo Rate Path and Market Expectations 2010-2015 (cont.)
Phase 4 Another Pause for Thought
116
| TABLES AND FIGURES | 2015/16:RFR7 |
Figure 9. Riksbank Repo Rate Path and Market Expectations 2010-2015 (cont.)
Phase 5 Going to Zero
117
| 2015/16:RFR7 | TABLES AND FIGURES |
Figure 9. Riksbank Repo Rate Path and Market Expectations 2010-2015 (cont.)
118
| TABLES AND FIGURES | 2015/16:RFR7 |
Figure 9. Riksbank Repo Rate Path and Market Expectations 2010-2015 (cont.)
Phase 6 Going Negative
Source: The Riksbank
119
| 2015/16:RFR7 | TABLES AND FIGURES |
| Figure 10: Riksbank’s Forecasts for Foreign Economies 2005-2015 |
(The notes for Figure 10 follow the third panel on the following page.)
120
| TABLES AND FIGURES | 2015/16:RFR7 |
Figure 10: Riksbank’s Forecasts for Foreign Economies 2005-2015 (cont.)
Note. Foreign GDP growth, inflation and policy rates are TCW-weighted for forecasts up until 2012 and KIX-weighted from 2013 onwards. Outcomes extend up to the end of the first quarter of 2015 for GDP and up to the end of the second quarter for inflation and policy rates.
Source: Aranki, Ted and André Reslow, “An Assessment of the Riksbank’s International Forecasts,” Economic Commentaries, the Riksbank, No. 14, 2015, November 4, Figure 2
Figure 11: Accuracy and Bias in Various Forecasts for Foreign GDP and In- flation 2007-2014
(The notes for Figure 11 follow the second panel on the following page.)
121
| 2015/16:RFR7 | TABLES AND FIGURES |
| Figure 11: Accuracy and Bias in Various Forecasts for Foreign GDP and In- | |
| flation 2007-2014 (cont.) |
Note. KIX-2 refers to KIX weighting of the euro area and United States. CE=Consensus Economics, FiD=Ministry of Finance, KI=National Institute of Economic Research, LO=Swedish Trade Union Confederation, NDA=Nordea, RB=The Riksbank, SHB=Svenska Handelsbanken, SN=Confederation of Swedish Enterprise and SWED=Swedbank.
Source: Aranki, Ted and André Reslow, “An Assessment of the Riksbank’s International Forecasts,” Economic Commentaries, the Riksbank, No. 14, 2015, November 4, Figure 5
122
| TABLES AND FIGURES | 2015/16:RFR7 |
Figure 12: CPI, CPIF and CPIF excluding energy, 2005-2015
Annual percentage change
Source: Statistics Sweden
Figure 13: CPIF Forecasts and Outturns, January 2011 to March 2015
Annual percentage change
Source: Löf, Mårten, “Recent Inflation Outcomes and Forecasts,” Economic Commentaries, the Riksbank, No. 4, 2015, May 7, Figure 2
123
| 2015/16:RFR7 | TABLES AND FIGURES |
Figure 14: Successive Forecasts in 2011-2012 for CPIF Inflation in 2012
Annual percentage change, annual averages
Note. Other analysts refers to the Swedish Ministry of Finance, the National Institute of Economic Re- search, the Swedish Trade Union Confederation (LO), Nordea, SEB, Svenska Handelsbanken, the Confederation of Swedish Enterprise and Swedbank. The CPIF is the CPI with a fixed mortgage rate.
Source: Account of Monetary Policy 2012, the Riksbank, Figure 4.2
Figure 15: Successive Forecasts in 2013-2014 for CPIF Inflation in 2014
Annual percentage change, annual averages
| 3 | 3 |
| CPIF 2014 | |
| Other analysts | |
| The Riksbank | |
| 2 | 2 |
| 1 | 1 |
0 0
| -1 | -1 | ||
| Jan 13 | Jul 13 | Jan 14 | Jul 14 |
Note. Other analysts refers to Swedish Ministry of Finance, the National Institute of Economic Research, Swedish Trade Union Confederation (LO), Nordea, SEB, Svenska Handelsbanken, the Confederation of Swedish Enterprise and Swedbank. The CPIF is the CPI with a fixed mortgage rate.
Source: Account of Monetary Policy 2014, the Riksbank, Figure 2.21
124
TABLES AND FIGURES 2015/16:RFR7
Figure 16: Accuracy and Bias in Forecasts of CPIF Inflation, Various Forecasters 2008-2014
| 0.1 | 0.1 |
| 0.0 | 0.0 | ||||||||
| -0.1 | -0.1 | ||||||||
| -0.2 | -0.2 | ||||||||
| -0.3 | -0.3 | ||||||||
| Accuracy (Adjusted mean absolute error) | |||||||||
| -0.4 | Systematic error (Mean error) | -0.4 | |||||||
| KI | LO | RB | FiD NORDEA SHB | SEB | SWED | SN | |||
Note. FiD = Swedish Ministry of Finance, HUI = HUI Research AB, KI = National Institute of Economic Research, LO = Swedish Trade Union Confederation, RB = the Riksbank, SHB = Svenska Handelsbanken, SN = Confederation of Swedish Enterprise and SWED = Swedbank.
Source: Account of Monetary Policy 2014, the Riksbank, Figure 4.2
Figure 17: Accuracy and Bias in Forecasts of GDP Growth, Various Forecasters 2007-2014
| 0.2 | 0.2 |
| 0.0 | 0.0 | |||||||||
| -0.2 | -0.2 | |||||||||
| -0.4 | -0.4 | |||||||||
| -0.6 | -0.6 | |||||||||
| Accuracy (Adjusted mean absolute error) | ||||||||||
| -0.8 | Systematic error (Mean error) | -0.8 | ||||||||
| RB | SEB | SN NORDEA SHB | SWED | KI | HUI | FiD | ||||
Note. See Figure 16 for an explanation of the abbreviations.
Source: Account of Monetary Policy 2014, the Riksbank, Figure 4.3
125
| 2015/16:RFR7 | TABLES AND FIGURES |
Figure 18: Accuracy and Bias in Forecasts of Unemployment, Various Forecasters 2007-2014
0.2
0.1
0.0
-0.1
-0.2
| -0.3 | Accuracy (Adjusted mean absolute error) |
Systematic error (Mean error)
-0.4
0.2
0.1
0.0
-0.1
-0.2
-0.3
-0.4
Note. See Figure 16 for an explanation of the abbreviations.
Source: Account of Monetary Policy 2014, the Riksbank, Figure 4.4
126
2015/16:RFR7
ANNEX 1
Terms of Reference of the Review
Background
An independent Riksbank with price stability objective and shared responsibility for financial stability
The Riksbank (Sweden's central bank) is an authority under the Riksdag with responsibility for the Swedish monetary policy. Since 1999, the Riksbank has had an independent status in relation to the Riksdag and the Government, and under the Riksbank Act (1988:1385), its objective is to maintain price stability. According to the preparatory materials, the Riksbank should also, without neglecting the objective of price stability, support the aims of general economic policy with the purpose of attaining sustainable economic growth and high levels of employment.
The Riksbank has formulated the operative target of the monetary policy itself. This is an inflation target, according to which the annual change in the consumer price index (CPI) is to be 2 per cent. This target started to apply from 1 January 1995.
The Riksbank has what is known as a flexible inflation target policy. In brief, this means that at the same time as it seeks to fulfil the inflation target with its monetary policy, it also aims to stabilise production and employment around long-term, sustainable development paths. When decisions are made, the Executive Board assesses what repo rate and what future interest rate path are necessary to ensure a well-balanced monetary policy, that is, a balance between stabilising inflation around the inflation target and stabilising the real economy.
Under the Riksbank Act, the Riksbank should also promote a safe and efficient system of payments. According to the preparatory materials to the Riksbank Act, this is a fundamental task of the Riksbank, but not actually one of the objectives of its activities. Neither the Act nor the preparatory materials provide a closer description of what is included in the task of promoting a secure and efficient system of payments.
According to the Riksbank´s own definition of the task it is responsible for promoting financial stability and that payment flows in society should function smoothly. The Riksbank’s practical work within the field includes issuing banknotes and coins, maintaining a central system of payments, analysing and monitoring the financial system, influencing regulatory frameworks and legislation, providing information about and warnings of risks and providing recommendations for measures. An important aspect of the stability efforts involves dealing with crises in the financial system. The Riksbank Act gives the Riksbank the opportunity to grant credits on special terms, i.e., of serving as a
127
| 2015/16:RFR7 | ANNEX 1 TERMS OF REFERENCE OF THE REVIEW |
| lender of last resort to institutes with liquidity problems and that pose a threat | |
| to financial stability. | |
| Together with the central banks in all the EU member states, the Riksbank | |
| is part of the European System of Central Banks (ESCB). Activities within the | |
| ESCB and the Eurosystem (the European Central Bank and the central banks | |
| in the countries that have adopted the euro) are regulated by means of the | |
| Treaty on European Union and a special statute which is annexed to the Treaty. | |
| The main objective of the central banks in the ESCB is to maintain price sta- | |
| bility. Without neglecting this goal, the ESCB is to support general financial | |
| policy in the Union with the purpose of implementing the Union's objectives. |
Previous evaluations
Since the Riksbank was granted independent status, the Riksdag’s Committee on Finance has conducted an annual evaluation of Sweden’s monetary policy. The Committee on Finance has also carried out two external and independent evaluations of the Riksbank and monetary policy. The first was undertaken by Professors Francesco Giavazzi and Frederic Miskin. This evaluation covered the period 1995–2006 and analysed, among other things, the monetary policy pursued during the period, the formulation of the inflation target and the Riksbank’s preparation and decision-making process (2006/07:RFR1). The second evaulation was carried out by Professors Charles Goodhart and Jean-Charles Rochet. This evaluation concerned the period 2005–2010 and analysed, among other things, the Riksbank’s actions during the financial crisis in 2007–2009 (2010/11:RFR5). In the spring of 2007, in connection with the Riksdag’s consideration of the first external evaluation, the Committee decided that an external and independent evaluation of Sweden's monetary policy would be conducted every four years.
New evaluation for the period 2010–2014
The current evaluation is to examine the Swedish monetary policy between the years 2010 and 2014. The period is characterised by the aftermath of the acute stage of the international financial crisis, a crisis in large parts of the European banking system and sizable fluctuations in the development of the real economy. The period is also characterised by extensive stability measures and an ensuing broad debate on the central banks’ goals, means and responsibility for financial stability. In Sweden the debate has, among other things, focused on how monetary policy can, or should be used to control high debts in the household sector.
In the wake of the financial crisis, a comprehensive review and amendment of the financial regulatory framework at all levels is taking place, both internationally and in the EU. The review also covers the field of financial stability. Among other things, it is about looking over preventive measures and the work
128
TERMS OF REFERENCE OF THE REVIEW ANNEX 1
with crisis management. A new policy area – known as macro-prudential supervision – is developing alongside traditional financial supervision, which focuses on the situation in individual institutes.
In the autumn of 2013, the Ministry of Finance announced that the Swedish Financial Supervisory Authority (FI) is to have an overall responsibility for macro-prudential supervision in Sweden, as well as for the various tools in this field. At the same time, a new authority was established, the Financial Stability Council. The Council consists of representatives of the Government, the Fi- nancial Supervisory Authority, the Riksbank and the National Debt Office. The Council is to meet on a regular basis and, when necessary, in order to discuss matters relating to financial stability and the need for measures, partly to counteract the development of financial unbalances, and partly to deal with potential financial crises. The information and discussions from the Council’s meetings are to be published no later than two weeks after the meetings.
Purpose
The purpose of the evaluation is to examine the implementation of the Swedish monetary policy and the outcome of the monetary policy during the period 2010–2014. Another purpose is to analyse the experiences for monetary policy that can be drawn from the financial crisis. The evaluation also aims, in the light of the financial crisis, to derive new knowledge, on a scientific basis, of the framework and formulation of Sweden’s monetary policy. The knowledge and evaluation are to be disseminated to a broader public.
Guidelines
The evaluation should be conducted according to the following guidelines:
Monetary policy 2010-2014
•The evaluators shall analyse whether Sweden’s monetary policy has been well-balanced and has achieved its objectives during the period 2010– 2014.
•The high levels of household debt and the risk of future financial instability has had a significant influence on the Executive Board’s decisions on the interest rate during the evaluation period. The evaluators shall assess the Executive Board’s decision to take into account the risk of high level of debt in its interest rate decisions. The evaluators shall also assess how well the Riksbank has succeeded in communicating to markets and the public why, and in what way, it has chosen to take the high level of debt into account in its interest rate decisions.
•On the basis of international experiences and topical academic research, the evaluators shall discuss whether, how and to what extent a central bank
2015/16:RFR7
129
| 2015/16:RFR7 | ANNEX 1 TERMS OF REFERENCE OF THE REVIEW |
should take financial stability and high levels of debt into account when determining its monetary policy.
•Since the autumn of 2013, the main operative responsibility for macroprudential supervision and macro-prudential supervision tools lies with the Swedish Financial Supervisory Authority, with regular consultations in the Financial Stability Council. The evaluators shall discuss the impact of this division of responsibilities on the Riksbank, and the role and formulation of the monetary policy.
•The Riksbank is one of Sweden’s most important public authorities. During much of the evaluation period, the Riksbank’s Executive Board has had differences of opinion regarding the formulation of Sweden’s monetary policy. The evaluators shall assess whether the discussions and the working climate in the Riksbank and its Executive Board have been open and constructive during this period.
Monetary policy objectives
•In the wake of the financial crisis, a debate has emerged, among other things, on inflation target policy and the scope for monetary policy. From this perspective, the evaluators shall examine and analyse the formulation of the Swedish inflation target.
•The Riksbank has what is known as a flexible inflation target policy. Ac- cording to the Riksbank, this means that it also seeks to stabilise production and employment in society around long-term, sustainable development paths, without neglecting the inflation target. The evaluators shall examine and analyse the formulation of these “secondary objectives”. Is there reason to further develop or give concrete form to the flexible inflation target policy in order to make Sweden’s monetary policy more effective and to increase the opportunities to evaluate the policy?
The Riksbank’s forecasts
•The evaluators shall examine the Riksbank’s forecast activities.
•In the examination, special emphasis shall be placed on the inflation forecasts. The evaluators shall examine the outcome of the inflation forecasts and shall analyse and assess the Riksbank’s methodology for forecasting inflation.
General guidelines
•The evaluators shall propose amendments and improvements within the evaluated areas. This also applies to possible suggestions for amendments to the Riksbank Act or other relevant legislation.
•The evaluation shall be presented in the form of a written report.
130
| TERMS OF REFERENCE OF THE REVIEW ANNEX 1 | 2015/16:RFR7 |
•Since the evaluation is intended for a broader public dissemination, the evaluators shall write the report in an easily comprehensible and structured way.
Working methods and reports
•The evaluation will start not later than in the beginning of 2015.
•The evaluators will have access to office assistance on a half-time basis. The resource will be placed at the Secretariat of the Committee on Finance and will assist the evaluators with shorter translations, information and background materials that the evaluators considers necessary for the evaluation.
•An interim report on the development of the assignment shall be sent to the Secretariat of the Committee on Finance in the middle of May 2015.
•The final evaluation shall be submitted in writing and electronically to the Committee on Finance not later than November 30 2015. It will then be translated and published in the form of a report for a broader public dissemination.
•The evaluation will be considered by the Committee on Finance and the Riksdag in 2016. After submitting the evaluation to the Committee on Fi- nance, the evaluators shall be prepared to participate in press conferences on the evaluation and at a public hearing on the findings of the evaluation.
131
2015/16:RFR7
ANNEX 2
Key Events in Swedish Monetary Policy 2010-2015
2010-01-27 In coordination with other central banks, the Riksbank confirms the expiration of its temporary liquidity swap line with the Federal Reserve on February 1, 2010.
2010-02-04 The Executive Board of the Riksbank decides to cease offering loans at a maturity of 12 months but continue to offer var- iable-rate loans at maturities of three and six months. These loans will be offered until the end of October 2010, at slightly higher interest rates than previously.
2010-02-09 The Executive Board of the Riksbank decides to appoint a commission of inquiry into the risks in the Swedish housing market.
2010-02-10 The Executive Board of the Riksbank decides to hold the repo rate unchanged at 0.25 per cent. The repo rate path is revised so that increases would begin slightly sooner than had been forecast earlier, while the forecast in the longer run is adjusted slightly downwards.
2010-04-19 The Executive Board of the Riksbank decides to keep the repo rate unchanged at 0.25 per cent and the repo rate path as in the February forecast.
2010-04-20 The Executive Board of the Riksbank decides to cease offering loans at maturities of both three and six months, but replaces these with variable-rate loans at a maturity of 28 days.
2010-06-03 The Executive Board of the Riksbank decides to remove the tolerance interval (+/-one percentage point) from the specification of the monetary policy objective. An update of the document ”Monetary Policy in Sweden”, which describes the Riksbank’s monetary policy objective and strategies, is published.
2010-06-30 The Executive Board of the Riksbank decides to raise the repo rate by 0.25 of a percentage point to 0.5 per cent. The repo rate path is adjusted downwards in the longer run.
2010-07-16 The Executive Board of the Riksbank decides to increase the price of 28-day loans in Swedish kronor. The supplement over and above the average repo rate during the maturity of the loans will be increased to 0.50 percentage points.
132
KEY EVENTS IN SWEDISH MONETARY POLICY 2010-2015 ANNEX 2
2010-09-01 The Executive Board of the Riksbank decides to raise the repo rate by 0.25 percentage points to 0.75 per cent. The repo rate path is the same as in July.
2010-10-25 The Executive Board of the Riksbank decides to raise the repo rate by 0.25 of a percentage point to 1.0 per cent. The repo rate path is adjusted downwards.
2010-11-12 The Riksbank holds a workshop on “Housing markets, monetary policy and financial stability” for invited participants and speakers, as part of the ongoing inquiry into risks in the Swedish housing market.
2010-12-14 The Executive Board of the Riksbank decides to raise the repo rate by 0.25 of a percentage point to 1.25 per cent. The repo rate path is left in principle unchanged.
2010-12-22 The Swedish Bankers’ Association issues guidelines concerning mortgages. According to the guidelines, new mortgage holders shall amortize their mortgages down to 75 per cent of the property’s market value.
2011-02-14 The Executive Board of the Riksbank decides to raise the repo rate by 0.25 percentage points to 1.5 per cent. The repo rate path is adjusted upwards.
2011-04-05 The findings of the Riksbank’s commission of inquiry into risks on the Swedish housing market (RUTH) are published.
2011-04-19 The Executive Board of the Riksbank decides to raise the repo rate by 0.25 percentage points to 1.75 per cent. The repo rate path is held unchanged.
2011-07-04 The Executive Board of the Riksbank decides to raise the repo rate by 0.25 percentage points to 2.0 per cent. The repo rate path is held unchanged.
2011-10-26 The Executive Board of the Riksbank decides to hold the repo rate unchanged at 2 per cent. The repo rate path is adjusted downwards.
2011-11-25 Finansinspektionen, the Ministry of Finance and the Riksbank advocate that the capital adequacy requirements for the four major Swedish banking groups shall be at least 10 per cent of their risk-weighted assets from 1 January 2013, and 12 per cent from 1 January 2015. These levels include a capital conservation buffer of 2.5 per cent, but no countercyclical buffer. The Swedish proposal goes further than Basel III, both with regard to the levels and when they are introduced.
2011-12-19 The Executive Board of the Riksbank decides to lower the repo rate by 0.25 percentage points to 1.75 per cent. The repo rate path is adjusted downwards.
2015/16:RFR7
133
| 2015/16:RFR7 | ANNEX 2 KEY EVENTS IN SWEDISH MONETARY POLICY 2010-2015 |
2012-01-18 The Riksbank and Finansinspektionen establish a council for cooperation on macro-prudential policy, as a forum where assessments of risk and questions regarding macro-prudential policy will be discussed jointly.
2012-02-15 The Executive Board of the Riksbank decides to lower the repo rate by 0.25 percentage points to 1.50 per cent. The repo rate path is adjusted downwards.
2012-02-21 The Executive Board of the Riksbank decides to borrow the equivalent of SEK 10 billion in foreign currency through the National Debt Office in order to restore the level of the foreign currency reserve.
2012-04-17 The Executive Board of the Riksbank decides to hold the repo rate unchanged at 1.50 per cent. The repo rate path is also unchanged.
2012-05-10 The Executive Board of the Riksbank decides to establish a securities portfolio to a value of SEK 10 billion, with the aim to ensure that the required systems, agreements and knowledge are in place if it becomes necessary to rapidly take extraordinary measures in the future.
2012-07-03 The Executive Board of the Riksbank decides to hold the repo rate unchanged at 1.50 per cent. The repo rate path is adjusted downwards.
2012-09-05 The Executive Board of the Riksbank decides to lower the repo rate by 0.25 percentage points, to 1.25 per cent. The repo rate path is adjusted downwards.
2012-10-05 The Executive Board of the Riksbank decides to restrict the types of collateral for loans provided by the Riksbank.
2012-10-24 The Executive Board of the Riksbank decides to hold the repo rate unchanged at 1.25 per cent. The repo rate path is adjusted downwards.
2012-11-28 The Riksbank publishes a report on the Swedish benchmark rate Stibor. Although there are no signs of any manipulation of Stibor, the Riksbank recommends that Stibor should be reformed to remedy some deficiencies in the framework.
2012-12-12 The Executive Board of the Riksbank decides to reinforce the foreign exchange reserve with the equivalent of SEK 100 billion.
2012-12-17 The Executive Board of the Riksbank decides to lower the repo rate by 0.25 percentage points to 1.0 per cent. The repo rate path is adjusted downwards.
134
KEY EVENTS IN SWEDISH MONETARY POLICY 2010-2015 ANNEX 2
2013-01-23 The Financial Crisis Committee presents its findings on part of its work. The report focuses on preventing financial crises and managing liquidity disruptions. The Committee proposes a macro-prudential council for developing expertise, analysis and policy discussion and a new description of the Riksbank's remit for its work on financial system stability.
2013-01-30 The Commission of inquiry into the Riksbank’s financial independence and balance sheet presents its proposals.
2013-02-12 The Executive Board of the Riksbank decides to hold the repo rate unchanged at 1.0 per cent. The repo rate path is adjusted marginally downwards.
2013-03-11 The Riksbank's payment system (RIX) encounters operational disruptions. The Riksbank decides to transfer to contingency routines, which will allow all payments made in the system during the day to be implemented.
2013-04-16 The Executive Board of the Riksbank decides to hold the repo rate unchanged at 1 per cent. The repo rate path is adjusted downwards.
2013-07-02 The Executive Board of the Riksbank decides to hold the repo rate unchanged at 1 per cent. The repo rate path is also held unchanged.
2013-08-26 The Swedish Government presents its proposal for the allocation of responsibility and work on macro-prudential policy in Sweden. A formalized financial stability council will be established. The FSC shall function as a forum where representatives of the government, Finansinspektionen (the Swedish Financial Supervisory Authority), the Swedish National Debt Office and the Riksbank meet regularly to discuss questions of financial stability, the need for measures to counteract the build-up of financial imbalances and, in the event of a financial crisis, the need for action to handle such a situation. Meetings of the Council will be chaired by the Minister for Financial Markets. Finansinspektionen (the Swedish financial supervisory authority) will be assigned the main responsibility for deciding on macro-prudential measures.
2013-09-04 The Executive Board of the Riksbank decides to hold the repo rate unchanged at 1 per cent. The repo rate path is also held unchanged.
2013-10-14 The Swedish Bankers’ Association sharpens its guidelines. New mortgage holders shall amortize their mortgages down to 75 per cent of the property’s market value within a 10-15 years span. Furthermore, an amortization plan shall specify amortization needs for loan-to-value ratios below 75 per cent.
2015/16:RFR7
135
| 2015/16:RFR7 | ANNEX 2 KEY EVENTS IN SWEDISH MONETARY POLICY 2010-2015 |
2013-10-23 The Executive Board of the Riksbank decides to hold the repo rate unchanged at 1 per cent. The reporate path is adjusted marginally downwards.
2013-12-04 The Riksbank revises its communication policy, which was adopted in 2008. Now with a greater focus on dialogue in order to better explain and clarify the Riksbank's tasks and operations.
2013-12-12 The Swedish Government decides that Finansinspektionen (the Swedish financial supervisory authority) is responsible for taking action to counteract financial imbalances in order to stabilize the credit market, but with regard to the effects on the economic development.
2013-12-16 The Executive Board of the Riksbank decides to lower the repo rate by 0.25 percentage points, to 0.75 per cent. The repo rate path is adjusted downwards.
2013-12-19 The Swedish Government decides to set up a committee for financial stability consisting of a council (the Financial Stability Council), a preparatory committee and a secretariat.
2014-02-12 The Executive Board of the Riksbank decides to hold the repo rate unchanged at 0.75 per cent. The repo rate path is also held unchanged.
2014-03-19 The Swedish Bankers’ Association sharpens its guidelines further. New mortgage holders shall amortize their mortgages down to 70 per cent of the property’s market value within a 10-15 years span. Furthermore, an amortization plan shall specify amortization needs for loan-to-value ratios below 70 per cent.
2014-04-09 The Executive Board of the Riksbank decides to hold the repo rate unchanged at 0.75 per cent. The repo rate path is adjusted downwards.
2014-07-03 The Executive Board of the Riksbank decides to lower the repo rate by 0.5 percentage points to 0.25 per cent. The repo rate path is adjusted markedly downwards.
2014-07-03 The Financial Crisis Committee presents its final report, which focuses on how banks in crisis should be managed.
2014-09-04 The Executive Board of the Riksbank decides to hold the repo rate unchanged at 0.25 per cent. The repo rate path is adjusted marginally downwards.
2014-10-07 The Swedish Bankers’ Association decides on new guidelines according to which new mortgage holders shall amortize their mortgages down to 50 per cent of the property’s market value.
136
KEY EVENTS IN SWEDISH MONETARY POLICY 2010-2015 ANNEX 2
2014-10-27 The Executive Board of the Riksbank decides to lower the repo rate by 0.25 percentage points to zero per cent. The repo rate path is adjusted markedly downwards. The interest-rate for fine-tuning transactions is changed to zero per cent from the previous setting of the repo rate +/- 10 basis points.
2014-11-07 The Swedish Bankers’ Association withdraws its proposal for tougher amortization guidelines after the Swedish Competition Authority decides to investigate whether such an agreement between mortgage lenders is illegal.
2014-12-15 The Executive Board of the Riksbank decides to hold the repo rate unchanged at zero per cent. The repo rate path is lowered. The interest rate for fine-tuning operations is held unchanged at zero per cent.
2015-02-11 The Executive Board of the Riksbank decides to cut the repo rate to -0.10 per cent and to adjust the repo-rate path downwards. The interest rates on the fine-tuning transactions in the Riksbank's operational framework for the implementation of monetary policy are restored to the repo rate +/- 0.10 percentage point. The Executive Board also decides to make purchases of nominal government bonds with maturities from 1 year up to around 5 years for a sum of SEK 10 billion.
2015-03-11 Finansinspektionen submits for consultation a proposal that all new mortgages with a loan-to-value ratio over 50 per cent shall be subject to amortisation requirements.
2015-03-18 The Executive Board of the Riksbank decides to cut the repo rate by 0.15 percentage points to – 0.25 per cent. The Executive Board also decides to increase the purchases of nominal government bonds by the sum of SEK 30 billion, with maturities of up to 25 years. A new forecast is not published, but the Executive Board expects the repo rate to rise at a slower pace than was forecast in the February Monetary Policy Re- port.
2015-04-23 Finansinspektionen decides not to progress with the amortisation requirement after the Administrative Court of Appeal in Jönköping in its consultation response questioned whether Finansinspektionen is entitled by law to introduce such rules
2015-04-28 The Executive Board of the Riksbank decides to leave the repo rate unchanged at – 0.25 per cent and to extend the purchases of nominal government bonds by a further SEK 40-50 billion, with maturities of up to 25 years. The repo-rate path is lowered significantly compared with the decision in February.
2015/16:RFR7
137
| 2015/16:RFR7 | ANNEX 2 KEY EVENTS IN SWEDISH MONETARY POLICY 2010-2015 |
2015-07-01 The Executive Board of the Riksbank decides to cut the repo rate by 0.10 percentage points to – 0.35 per cent and to extend the purchases of government bonds by a further SEK 45 billion until the end of the year. The repo rate path is adjusted downwards.
2015-09-02 The Executive Board of the Riksbank decides hold the repo rate unchanged at – 0.35 per cent, and to continue to purchase government bonds until the end of the year, according to the plan announced in July. The repo rate path is left unchanged.
2015-10-27 The Executive Board of the Riksbank decides hold the repo rate unchanged at – 0.35 per cent, and to extend the government bond purchasing programme by an additional SEK 65 billion. The repo rate path is adjusted downwards so that an initial raise in the repo rate will be deferred by approximately six months compared with the previous assessment.
Sources: Notices and press releases on web pages of the Swedish Government, the Swedish Bankers’ Association, Finansinspektionen and the Riksbank
138
2015/16:RFR7
ANNEX 3
Key Events in Swedish Financial Stability Policy 2010-2015
| Year of | Type of measure | Description of measure | Primary intermediate | Announcement | Decision | Implementation | Status | ||
| initiative | objective | ||||||||
| 2010 | Loan-to-value | Loan-to-value of new loans should not be more | Credit growth and leverage 5 May2010 (1) | 8 July 2010 | 1 Oct 2010 | Active | |||
| than 85%. | |||||||||
| 2012 | Discount rate for life | Temporary floor on discount rate to be applied | 11 | June 2012 (2) | 28 | June 2012 | 30 June 2012 | Deactivated (3) | |
| insurance companies | by life insurance companies. | ||||||||
| 2012 | Liquidity ratio | Liquidity Coverage Ratio > 100 % in USD, | Maturity mismatch and | 28 | June 2012 | 13 | Nov 2012 | 1 Jan 2013 | Active |
| EUR and total. | market illiquidity | ||||||||
| 2012 | Pillar II | Introduction of a risk weight floor of 15% for | Credit growth and leverage 26 | November | 21 | May 2013 | 21 May 2013 | Active | |
| Swedish mortgage loans by Internal Rating | 2012 | ||||||||
| Based banks. | |||||||||
| 2013 | Requirement on indi- | Individually tailored amortisation plans - Im- | Improve amortisation cul- | 14 | October 2013 | 14 | Oct 2013 | Oct 2013 | Active |
| vidually tailored | plemented by Swedish Bankers' Association as | ture and thereby promote | |||||||
| amortisation plans | a recommendation. | the soundness and stability | |||||||
| of financial markets | |||||||||
| 2013 | Discount rate for life | New regulation on a discount rate curve that is | 20 | May 2013 (4) | 13 | Nov 2013 | 31 Dec2013 | Active | |
| insurance companies | adapted to Solvency II. | ||||||||
| 2014 | Capital conservation | Shorter transitional period for the introduction | Credit growth and leverage 9 May 2014 | 26 | June 2014 | 2 Aug 2014 | Active | ||
| buffer | of a capital conservation buffer of 2.5%. | ||||||||
| 2014 | Countercyclical | Shorter transitional period for the introduction | Credit growth and leverage 9 May 2014 | 26 | June 2014 | 2 Aug 2014 | Active | ||
| capital buffer | of the countercyclical capital buffer. | ||||||||
| 2014 | Pillar II | The four largest banking groups are subject to a | Misaligned incentives | 8 May 2014 (5) | 8 Sep 2014 | 8 Sep 2014 | Active | ||
| Pillar II capital add-on of 2%. | |||||||||
139
2015/16:RFR7 ANNEX 3 KEY EVENTS IN SWEDISH FINANCIAL STABILITY POLICY 2010-2015
| Year of | Type of measure | Description of measure | Primary intermediate | Announcement | Decision | Implementation | Status |
| initiative | objective | ||||||
| 2014 | Pillar II | A risk weight floor of 25% (raised from previ- | Credit growth and leverage 8 May 2014 | 8 Sep 2014 | 8 Sep2014 | Active | |
| ously 15%) for Swedish mortgage loans by In- | |||||||
| ternal Rating Based banks. | |||||||
| 2014 | Pillar II | Reciprocation of tighter model requirements by | Credit growth and leverage 8 May 2014 | 8 Sep 2014 | 8 Sep 2014 | Active | |
| Norwegian Financial Supervisory Authority for | |||||||
| mortgage lending by Internal Rating Based | |||||||
| banks. | |||||||
| 2014 | Systemic risk buffer | The four largest banking groups are subject to a Misaligned incentives | 8 May 2014 (6) | 8 Sep 2014 | 1 Jan 2015 | Active | |
| Systemic Risk Buffer of 3%. Applied to all ex- | |||||||
| posures on a consolidated basis. | |||||||
| 2014 | Countercyclical | Activation and setting of a countercyclical capi- Credit growth and leverage 12 June 2014 | 8 Sep 2014 | 13 Sep 2015 | Not yet active | ||
| capital buffer | tal buffer rate at 1% from September 2015. | ||||||
| 2014 | Countercyclical | Keeping the countercyclical capital buffer rate | Credit growth and leverage | 8 Dec 2014 | 13 Dec2015 | Not yet active | |
| capital buffer | at 1%. | ||||||
| 2014 | Loan amortisation | New mortgage loans with Loan-to-value > | Credit growth and leverage 10 Mar 2015 (7) | On hold (8) | |||
| 70% need to be repaid down by a minimum of | |||||||
| 2% of the original loan each year. New mort- | |||||||
| gage loans with Loan-to-value < 70% need to | |||||||
| be paid down by a minimum of 1% annually | |||||||
| until the Loan-to-value has reached 50%. | |||||||
| 2015 | Countercyclical | Keeping the CCB rate at 1%. | Credit growth and leverage 20 January 2015 | 16 March 2015 | 17 March 2016 | Not yet active | |
| capital buffer (CCB) | |||||||
| 2015 | Countercyclical | Proposal to raise the CCB rate to 1.5% from June Credit growth and leverage 26 May 2015 | 22 June 2015 | 27 June 2016 | Not yet active | ||
| capital buffer (CCB) | 2016. | ||||||
140
KEY EVENTS IN SWEDISH FINANCIAL STABILITY POLICY 2010-2015 ANNEX 3 2015/16:RFR7
| Year of | Type of measure | Description of measure | Primary intermediate | Announcement | Decision | Implementation | Status |
| initiative | objective | ||||||
| 2015 | Identification of and | Nordea Bank is identified as a globally system- | Misaligned incentives | 23 June 2015 | 22 June 2015 | 1 Jan 2016 | Not yet active |
| decision on capital | ically important institution (G-SII). This identi- | ||||||
| buffers of globally | fication means that Nordea is required to hold a | ||||||
| systemically im- | capital buffer of 1 % as a globally systemically | ||||||
| portant institutions | important institution. Since Finansinspektionen | ||||||
| already has decided that Nordea is to hold a | |||||||
| systemic risk buffer of 3 %, the decision will | |||||||
| not affect the capital requirement of Nordea. | |||||||
| 2015 | Identification of and | The four large banking groups, (Nordea, Sven- | Misaligned incentives | 25 June 2015 | 12 Oct 2015 | 1 Jan 2016 | Not yet active |
| decision on capital | ska Handelsbanken, Skandinaviska Enskilda | ||||||
| buffers of other sys- | Banken (SEB) and Swedbank) are intended to | ||||||
| temically important | be identified as other systemically important in- | ||||||
| institutions (O-SIIs) | stitutions (O-SIIs).The capital buffer require- | ||||||
| ment that follows from this identification as O– | |||||||
| SIIs, which is to be held in the form of Com- | |||||||
| mon Equity Tier 1, is intended to amount to 2 | |||||||
| per cent at group level. Since Finansinspektio- |
nen already has decided that the banks are to hold a systemic risk buffer of 3 %, the decision will not affect the capital requirements of the banks.
Notes:
(1)Pre-announced 16 February 2010.
(2)Pre-announced 7 June 2012.
(3)Deactivated upon adaption of new regulation on a discount rate curve in December 2013.
(4)Pre-announced 18 February 2013 and updated 19 September 2013.
(5)Pre-announced 25 November 2011.
(6)Pre-announced 25 November 2011.
(7)Pre-announced 11 November 2014.
(8)Proposal stopped for the moment, pending clarification of the legal mandate of Finansinspektionen to impose the measure. Source: Finansinspektionen, unpublished compilation
141
2015/16:RFR7
ANNEX 4
Individuals and Organizations interviewed by the Evaluators
Meetings, March 5-6 2015
•Staff at the Riksbank
Marianne Nessén, Head of Monetary Policy Department Christina Nyman, Deputy Head of Monetary Policy Department Meredith Beechey, Deputy Head of Markets Department
Martin W. Johansson, Deputy Head of Financial Stability Department
•The Riksdag Committee on Finance Ulf Kristersson, Vice Chair
Jörgen Andersson, member Emil Källström, member Ingela Nylund Watz, member Håkan Svenneling, member
Mikael Åsell, Head of the Secretariat
Pär Elvingsson, Senior Secretary at the Secretariat
•Staff at the Riksbank
Heidi Elmér, Head of Markets Department
Kasper Roszbach, Head of Financial Stability Department Ulf Söderström, Deputy Head of Monetary Policy Department David Vestin, Deputy Head of Monetary Policy Department Anders Vredin, Head of the General Secretariat
•Johan Gernandt, Chair of the Riksbank General Council 2006-2014
•Private banks, trade unions and employers’ organizations Håkan Frisén, Head of Economic Forecasting, SEB Elisabet Kopelman, Head of Economic Research, SEB
Lena Hagman, Chief Economist, Employer and Trade Organization for the Swedish Service Sector (Almega)
Mats Kinnwall, Chief Economist, The Swedish Association of Industrial Employers
Ola Pettersson, Chief Economist, Swedish Trade Union Confederation (LO)
Lars Ernsäter, Economist, Swedish Trade Union Confederation (LO)
•Private banks, housing, trade unions and employers’ organizations Bengt Hansson, Analyst, National Board of Housing, Building and Planning
Annika Winsth, Chief Economist, Nordea Torbjörn Isaksson, Chief Analyst, Nordea
Göran Zettergren, Chief Economist, The Swedish Confederation for Professional Employees (TCO)
Fredrik Isaksson, Chief Economist, The Swedish Construction Federation Ted Lindqvist, Senior Analyst, Evidens
142
| INDIVIDUALS AND ORGANIZATIONS INTERVIEWED BY THE EVALUATORS ANNEX 4 | 2015/16:RFR7 |
•The Presidium of the Riksbank General Council Susanne Eberstein, Chair
Michael Lundholm, Vice Chair
Meetings, June 17-18 2015
•Kerstin af Jochnick, First Deputy Governor Henry Ohlsson, Deputy Governor
•Cecilia Skingsley, Deputy Governor Per Jansson, Deputy Governor
•Martin Noréus, Deputy Director General of Finansinspektionen Henrik Braconier, Chief Economist Finansinspektionen
•Karolina Ekholm, Deputy Governor from 2009-03-15 to 2014-10-05 Martin Flodén, Deputy Governor
•Lars E.O. Svensson, Deputy Governor from 2007-05-21 to 2013-05-20
•Svante Öberg, First Deputy Governor from 2006-01-01 to 2011-12-31
•Assar Lindbeck, Professor emeritus of Institute for International Economic Studies (IIES) Stockholm University
•Torsten Persson, Professor of Institute for International Economic Studies (IIES) Stockholm University
•Lars Calmfors, Professor emeritus of Institute for International Economic Studies (IIES) Stockholm University
Harry Flam, Professor emeritus of Institute for International Economic Studies (IIES) Stockholm University
Meetings, September 2-3 2015
•Stefan Ingves, Governor
•Lars Jonung, Professor emeritus Knut Wicksell Center for Financial Studies Lund University (video conference)
•Martin Andersson, Director General of Finansinspektionen from 2009-01- 15 to 2015-04-09
•Barbro Wickman-Parak, Deputy Governor from 2007-05-21 to 2013-05- 20
•Lars Nyberg, Deputy Governor from 1999-01-01 to 2011-12-31
•Jörgen Appelgren and Thomas Hagberg, Audit Directors at the National Audit Office
•Mikael Åsell and Pär Elvingsson, Secretariat of Committee on Finance
•Staff at the Riksbank
Mattias Erlandsson, Head of Forecast Division
Ulf Söderström, Deputy Head of Monetary Policy Department David Vestin, Research Division
143
2015/16:RFR7
Endnotes
1 The report may be viewed at http://www.riksdagen.se/Global/doku- ment/utskotteunamnd/201516/fiu/An-Evaluation-of-Swedish-Monetary-Pol- icy-between-1995-and-2005.pdf
2 The report may be viewed at http://www.riksdagen.se/Global/doku- ment/utskotteunamnd/201516/fiu/Evaluation-of-the-Riksbanks-monetary- policy-and-work-with-financial-stability-2005-2010.pdf.
3 The financial crisis can be said to have begun in 2007 with financial institutions experiencing a drying up of liquidity and difficulties in obtaining funding. In countries such as Sweden, it is more common to think of the crisis dating from September 2008, with the bankruptcy of Lehman Brothers making it obvious that a global financial crisis was under way.
4 The maximum number of dissents in any one meeting is 3 and so in a year with six meetings it is 18.
5 Since April 2015 a Monetary Policy Report (with a new format) is prepared for each scheduled meeting.
6 Kerstin Hallsten and Sara Tägtström, “The decision-making process – how the Executive Board of the Riksbank decides on the repo rate”, Economic Re- view, the Riksbank, No. 1, 2009.
7 Ted Aranki and André Reslow, “An Assessment of the Riksbank’s International Forecasts,” Economic Commentaries, the Riksbank, No. 14, 2015, No- vember 4.
8 The forecast comparison refers to full-year forecasts conducted up to two years ahead of the realized outcome, measured as an annual average of the annual percentage change, for the period 2007-2014. The full-year forecasts are evaluated against the first available outcomes.
9Mårten Löf, “Recent Inflation Outcomes and Forecasts,” Economic Commentaries, the Riksbank, No. 4, 2015, May 7.
10The biases in Table 3 are calculated from forecast errors defined as forecast less outcome, while the biases in Figure 11, and in Figures 16-18, are calculated from forecast errors defined as outcome less forecast. So the same upward bias will have different signs.
11A similar point was made in the Review by Goodhart and Rochet.
12For example, Chapter 4 article 6 states that “the General Council and the Executive Board may not convene in a region occupied by a foreign power”.
144
| RAPPORTER FRÅN RIKSDAGEN | 2013/14 |
| 2013/14:RFR1 | SOCIALUTSKOTTET |
| Etisk bedömning av nya metoder i vården | |
| – en uppföljning av landstingens och statens insatser | |
| 2013/14:RFR2 | KULTURUTSKOTTET |
| Uppföljning av regeringens resultatredovisning för utgiftsområde 17 | |
| Kultur, medier, trossamfund och fritid | |
| 2013/14:RFR3 | KULTURUTSKOTTET |
| En bok är en bok är en bok? | |
| – en fördjupningsstudie av e-böckerna i dag | |
| 2013/14:RFR4 | KULTURUTSKOTTET |
| Offentlig utfrågning om funktionshindersperspektiv i kulturarvet | |
| 2013/14:RFR5 | TRAFIKUTSKOTTET |
| Hela resan hela året! – En uppföljning av transportsystemets | |
| tillgänglighet för personer med funktionsnedsättning | |
| 2013/14:RFR6 | FINANSUTSKOTTET |
| Finansutskottets offentliga utfrågning om ändring av riksdagens be- | |
| slut om höjd nedre skiktgräns för statlig inkomstskatt | |
| 2013/14:RFR7 | SKATTEUTSKOTTET |
| Inventering av skatteforskare 2013 | |
| 2013/14:RFR8 | ARBETSMARKNADSUTSKOTTET |
| Ett förlängt arbetsliv – forskning om arbetstagarnas och | |
| arbetsmarknadens förutsättningar | |
| 2013/14:RFR9 | SOCIALFÖRSÄKRINGSUTSKOTTET |
| Offentlig utfrågning om vårdnadsbidrag och jämställdhetsbonus | |
| 2013/14:RFR10 | KONSTITUTIONSUTSKOTTET |
| Subsidiaritet i EU efter Lissabon | |
| 2013/14:RFR11 | SKATTEUTSKOTTET |
| Utvärdering av skattelättnader för utländska experter, specialister, | |
| forskare och andra nyckelpersoner | |
| 2013/14:RFR12 | UTBILDNINGSUTSKOTTET |
| Utbildningsutskottets offentliga utfrågning om PISA-undersökningen | |
| 2013/14:RFR13 | SOCIALUTSKOTTET |
| Socialutskottets öppna kunskapsseminarium om icke smittsamma | |
| sjukdomar | |
| – ett ökande hot globalt och i Sverige (onsdagen den 4 december 2013) | |
| 2013/14:RFR14 | KULTURUTSKOTTET |
| För, med och av | |
| – en uppföljning av tillgängligheten inom kulturen | |
| 2013/14:RFR15 | SKATTEUTSKOTTET |
| Skatteutskottets seminarium om OECD:s handlingsplan mot | |
| skattebaserodering och vinstförflyttning | |
| 2013/14:RFR16 | TRAFIKUTSKOTTET |
| Framtidens flyg |
| RAPPORTER FRÅN RIKSDAGEN | 2013/14 | |
| 2013/14:RFR17 | KONSTITUTIONSUTSKOTTET | |
| Översyn av ändringar i offentlighets- och sekretesslagstiftningen | ||
| 1995–2012 | ||
| 2013/14:RFR18 | SOCIALUTSKOTTET | |
| Socialutskottets öppna kunskapsseminarium om socialtjänstens ar- | ||
| bete med barn som far illa | ||
| 2013/14:RFR19 | UTBILDNINGSUTSKOTTET | |
| Utbildningsutskottets seminarium om utbildning för hållbar | ||
| utveckling inklusive entreprenöriellt lärande | ||
| 2013/14:RFR20 | KULTURUTSKOTTET | |
| Offentlig utfrågning | ||
| För, med och av – en uppföljning av tillgänglighet inom kulturen | ||
| 2013/14:RFR21 | UTBILDNINGSUTSKOTTET | |
| Autonomi och kvalitet – ett uppföljningsprojekt om implementering | ||
| och effekter av två högskolereformer i Sverige | ||
| Delredovisning 1: Skrivbordsstudie om autonomi- och | ||
| kvalitetsreformerna | ||
| 2013/14:RFR22 | UTBILDNINGSUTSKOTTET | |
| Autonomi och kvalitet – ett uppföljningsprojekt om implementering | ||
| och effekter av två högskolereformer i Sverige | ||
| Delredovisning 2: Intervjuundersökning med rektorer | ||
| 2013/14:RFR23 | TRAFIKUTSKOTTET | |
| Trafikutskottets hearing om framtidens luftfart – Har vi luft under | ||
| vingarna? | ||
| 2013/14:RFR24 | JUSTITIEUTSKOTTET | |
| Offentlig utfrågning med anledning av EU-domstolens dom om data- | ||
| lagringsdirektivet | ||
| RAPPORTER FRÅN RIKSDAGEN | 2014/15 | |
| 2014/15:RFR1 | MILJÖ- OCH JORDBRUKSUTSKOTTET | |
| Stöd till lokala åtgärder mot övergödning | ||
| 2014/15:RFR2 | TRAFIKUTSKOTTET | |
| Hållbara analyser? | ||
| Om samhällsekonomiska analyser inom transportsektorn med sär- | ||
| skild hänsyn till hållbar utveckling | ||
| 2014/15:RFR3 | TRAFIKUTSKOTTET | |
| Trafikutskottets offentliga utfrågning om järnvägens vägval | ||
| 2014/15:RFR4 | FÖRSVARSUTSKOTTET | |
| Blev det som vi tänkt oss? | ||
| En uppföljning av vissa frågor i det försvarspolitiska inriktningsbe- | ||
| slutet 2009 | ||
| 2014/15:RFR5 | UTBILDNINGSUTSKOTTET | |
| Autonomi och kvalitet – ett uppföljningsprojekt om implementering | ||
| och effekter av två högskolereformer i Sverige | ||
| Huvudrapport | ||
| 2014/15:RFR6 | UTBILDNINGSUTSKOTTET | |
| Autonomi och kvalitet – ett uppföljningsprojekt om implementering | ||
| och effekter av två högskolereformer i Sverige | ||
| Delredovisning 3: Enkätundersökning till studieansvariga | ||
| 2014/15:RFR7 | UTBILDNINGSUTSKOTTET | |
| Autonomi och kvalitet – ett uppföljningsprojekt om implementering | ||
| och effekter av två högskolereformer i Sverige | ||
| Delredovisning 4: Den fallstudiebaserade undersökningens första fas | ||
| 2014/15:RFR8 | TRAFIKUTSKOTTET | |
| Seminarium om samhällsekonomiska analyser | ||
| 2014/15:RFR9 | TRAFIKUTSKOTTET | |
| Sjöfartsnäringen och dess konkurrenskraft | ||
| 2014/15:RFR10 | SKATTEUTSKOTTET | |
| Skattebefriade bränslen i industriella processer, så kallade råvaru- | ||
| bränslen | ||
| 2014/15:RFR11 | UTBILDNINGSUTSKOTTET | |
| Utbildningsutskottets offentliga utfrågning om idrott och fysisk akti- | ||
| vitet i skolan – ett sätt att stärka inlärning och hälsa | ||
| 2014/15:RFR12 | KONSTITUTIONSUTSKOTTET | |
| Konstitutionsutskottets hearing om journalisters och medie-redakt- | ||
| ioners säkerhet och arbetsförutsättningar | ||
| 2014/15:RFR13 | SOCIALFÖRSÄKRINGSUTSKOTTET | |
| Finsam – en uppföljning av finansiell samordning av rehabilite- | ||
| ringsinsatser | ||
| 2014/15:RFR14 | SOCIALFÖRSÄKRINGSUTSKOTTET | |
| Socialförsäkringsutskottets offentliga utfrågning om Finsam | ||
| – finansiell samordning av rehabiliteringsinsatser | ||
| 2014/15:RFR15 | SKATTEUTSKOTTET | |
| Skatteutskottets seminarium om internationellt samarbete mot skat- | ||
| teflykt | ||
| RAPPORTER FRÅN RIKSDAGEN | 2014/15 | |
| 2014/15:RFR16 | NÄRINGSUTSKOTTET OCH UTRIKESUTSKOTTET | |
| Offentlig utfrågning om ett handelsavtal mellan EU och USA | ||
| (TTIP) | ||
| 2014/15:RFR17 | CIVILUTSKOTTET | |
| Civilutskottets offentliga utfrågning om unga vuxnas möjlighet att | ||
| finansiera ett eget boende | ||
| RAPPORTER FRÅN RIKSDAGEN | 2015/16 | |
| 2015/16:RFR1 | KONSTITUTIONSUTSKOTTET | |
| Statsråds medverkan i konstitutionsutskottets granskning | ||
| 2015/16:RFR2 | FINANSUTSKOTTET | |
| Finansutskottets offentliga utfrågning om den aktuella penningpolitiken | ||
| den 24 september 2015 | ||
| 2015/16:RFR3 | FÖRSVARSUTSKOTTET | |
| Om krisen eller kriget kommer – | ||
| En uppföljning av informationsinsatser till allmänheten om den enskil- | ||
| des ansvar och beredskap | ||
| Huvudrapport och Bilagor | ||
| 2015/16:RFR4 | KULTURUTSKOTTET | |
| Är samverkan modellen? | ||
| En uppföljning och utvärdering av kultursamverkansmodellen | ||
| 2015/16:RFR5 | FINANSUTSKOTTET | |
| Öppna utfrågning om den aktuella penningpolitiken | ||
| den 12 november 2015 | ||
| 2015/16:RFR6 | FINANSUTSKOTTET | |
| Utvärdering av Riksbankens penningpolitik 2010–2015 | ||